2026 Vol. 50, No. 2
Display Method: |
2026, 50(2): 022001. doi: 10.1088/1674-1137/ae1195
Abstract:
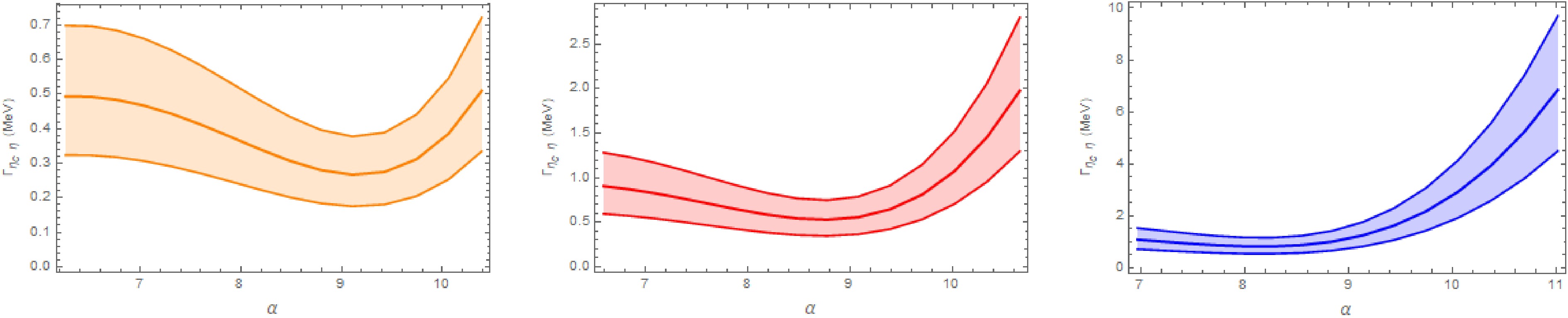
In this work, we investigate possible bound states in the\begin{document}$ D_s\bar{D}_s $\end{document} system using the Bethe-Salpeter (BS) formalism within both the ladder and instantaneous approximations. By numerically solving the Bethe-Salpeter equation with a kernel that incorporates contributions from ϕ and \begin{document}$ J/\psi $\end{document} meson exchanges, we confirm the existence of a loosely bound state. Furthermore, we explore the partial decay widths of the \begin{document}$ D_s\bar{D}_s $\end{document} bound state into the \begin{document}$ D\bar{D} $\end{document} , \begin{document}$ \eta_c\eta $\end{document} , and \begin{document}$ J/\psi\omega $\end{document} channels, and observe that these widths are sensitive to the model parameter α. Notably, we find the dominant decay channel for the \begin{document}$ D_s\bar{D}_s $\end{document} bound state to be \begin{document}$ D\bar{D} $\end{document} .
In this work, we investigate possible bound states in the
2026, 50(2): 022002. doi: 10.1088/1674-1137/ae1187
Abstract:
The charmed baryon was first observed experimentally in 1975, one year after the charm quark's confirmation via the discovery of the\begin{document}$ J/\psi $\end{document} particle. Studying charmed baryon decays provides a pathway to investigate both strong and weak interactions, leveraging the weak decays of the embedded charm quark. However, for approximately three decades following its discovery, experimental knowledge of charmed baryons remained significantly limited compared to those of the hidden-charm ψ mesons and open-charm \begin{document}$ D_{(s)} $\end{document} mesons. This situation changed markedly starting in 2014, when dedicated data collection for charmed baryons commenced at BESIII. In this article, we review the experimental progress achieved since 2014 in understanding the weak decays of the charmed baryons.
The charmed baryon was first observed experimentally in 1975, one year after the charm quark's confirmation via the discovery of the
2026, 50(2): 023101. doi: 10.1088/1674-1137/ae1201
Abstract:
In this study, we investigate the isospin-violating decays of\begin{document}$ B_{c}(1P)^{+}\to B_{c}^{(*)+}\pi^{0} $\end{document} , which may provide additional information for the determination of the properties of \begin{document}$ B_{c}(1P)^{+} $\end{document} , the first orbital excitation states of the \begin{document}$B_c $\end{document} meson. By assuming a dual relation between the U(1) anomaly soft-gluon coupling for \begin{document}$ B_{c}(1P)^{+}\to B_{c}^{(*)+}\pi^{0} $\end{document} and the intermediate meson loop transitions, we can quantify the isospin-violating decay effects for these four P-wave states. We observe that the partial decay width of \begin{document}$ B_{c0}^{*+}\to B_{c}^{+}\pi^{0} $\end{document} is approximately three orders of magnitude larger than that for \begin{document}$ B_{c2}^{*+}\to B_{c}^{+}\pi^{0} $\end{document} . This indicates that \begin{document}$ B_{c0}^{*+} $\end{document} can be established in the \begin{document}$ B_{c}^{+}\pi^{0} $\end{document} decay channel as a single state. Meanwhile, the two axial-vector states \begin{document}$ B_{c1}^{+}/B_{c1}'^{+} $\end{document} can be possibly identified in \begin{document}$ B_{c1}^{+}/B_{c1}'^{+}\to B_{c}^{*+}\pi^{0} $\end{document} with comparable strengths. Although these isospin-violating decays are observed to be small, the theoretical predictions should be useful for guiding future experimental efforts.
In this study, we investigate the isospin-violating decays of
2026, 50(2): 023102. doi: 10.1088/1674-1137/ae1206
Abstract:
In 2022, the collider detector at Fermilab (CDF) collaboration reported the W-boson mass (\begin{document}$ M_W= $\end{document} \begin{document}$ 80.4335\pm0.0094\; \text{GeV} $\end{document} ), which deviates from the standard model (SM) prediction (\begin{document}$ M_W^{\rm SM}=80.357\pm0.006\; \text{GeV} $\end{document} ) by ~\begin{document}$ 7\sigma $\end{document} . In contrast, the CMS collaboration obtained \begin{document}$ M_W=80.3602\pm0.0099\; \text{GeV} $\end{document} , which was very close to the SM global electroweak fit value of \begin{document}$ \sim80.357\; \text{GeV} $\end{document} . Motivated by this situation, we reassess the W-boson mass within the lepton-specific two Higgs doublet model (LS-2HDM). To this end, we perform random scans (generated with SARAH 4.13.0 and evaluated with SPheno 4.0.3) and confront the results with up-to-date theoretical and experimental constraints. The scan enforces vacuum stability, perturbative unitarity, and perturbativity; electroweak precision observables via the oblique parameters \begin{document}$ (S,T,U) $\end{document} ; LEP bounds on \begin{document}$ H^\pm $\end{document} ; rare B-meson decays; lepton flavor universality (LFU) in Z and τ decays; and 13 TeV LHC searches for additional Higgs bosons. Viable points are further tested with HiggsTools (HiggsSignals + HiggsBounds). In the LS-2HDM, if \begin{document}$ h_1 $\end{document} is the SM-like Higgs at \begin{document}$ m_{h_1}\simeq125 $\end{document} GeV with \begin{document}$ |\cos(\beta-\alpha)|\lesssim0.06 $\end{document} , \begin{document}$ 17\lesssim\tan\beta\lesssim39 $\end{document} , \begin{document}$ 144\lesssim m_{h_2}\lesssim414 $\end{document} GeV, and \begin{document}$ 435\lesssim m_{A,H^{\pm}}\lesssim685 $\end{document} GeV, the model reproduces the 2024 CMS W-boson mass within \begin{document}$ 3\sigma $\end{document} . Solutions near the 2022 CDF value (\begin{document}$ M_W=80.4335\pm0.0094\; \text{GeV} $\end{document} ) survive; however, after applying all constraints, including HiggsTools, they approach it at best within \begin{document}$ \lesssim2\sigma $\end{document} . Our findings emphasize that LS-2HDM favors the CMS results consistently with the current experimental results. Although one can theoretically accommodate the CDF results in this model, up-to-date electroweak precision bounds on oblique parameters \begin{document}$ (S,T,U) $\end{document} with the SM-like Higgs and LFU constraints exclude these solutions. Our results for \begin{document}$ W $\end{document} -boson mass can only be as close as about \begin{document}$ 2\sigma $\end{document} to the CDF results.
In 2022, the collider detector at Fermilab (CDF) collaboration reported the W-boson mass (
2026, 50(2): 023103. doi: 10.1088/1674-1137/ae1374
Abstract:
Recent studies have shown that observing entangled particle states at a particle collider, such as the Large Hadron Collider (LHC), and testing the violation of Bell inequality in them can open up new research areas for studying high energy physics. We examine the presence of quantum entanglement in the\begin{document}$ pp\to ZZ\to 4\ell $\end{document} process at leading order. We apply a generally recognized method, quantum state tomography, to reconstruct the spin density matrix of the joint ZZ system, through which all the relevant observables can be obtained. The angular distribution of the final leptons is obtained from simulated events using a Monte-Carlo program, which is used to reconstruct the spin density matrix. A non-zero value of the lower bound of the concurrence is measured with the simulated data. The numerical analysis shows that, with the luminosity corresponding to LHC Run 2+3, entanglement can be probed at the 2 \begin{document}$ \sigma $\end{document} level and up to the 3.75\begin{document}$ \sigma $\end{document} level for High-Luminosity LHC data (3ab-1), revealing the possibility of finding quantum entanglement in real collider experiments.
Recent studies have shown that observing entangled particle states at a particle collider, such as the Large Hadron Collider (LHC), and testing the violation of Bell inequality in them can open up new research areas for studying high energy physics. We examine the presence of quantum entanglement in the
2026, 50(2): 023104. doi: 10.1088/1674-1137/ae0f87
Abstract:
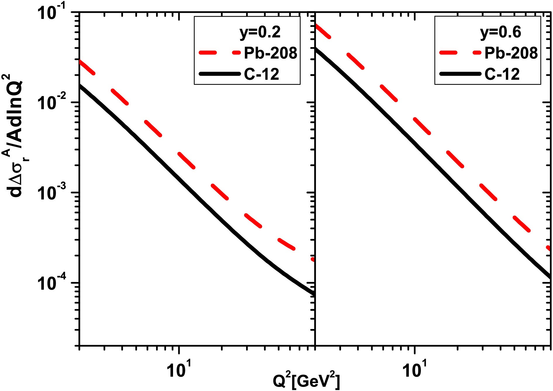
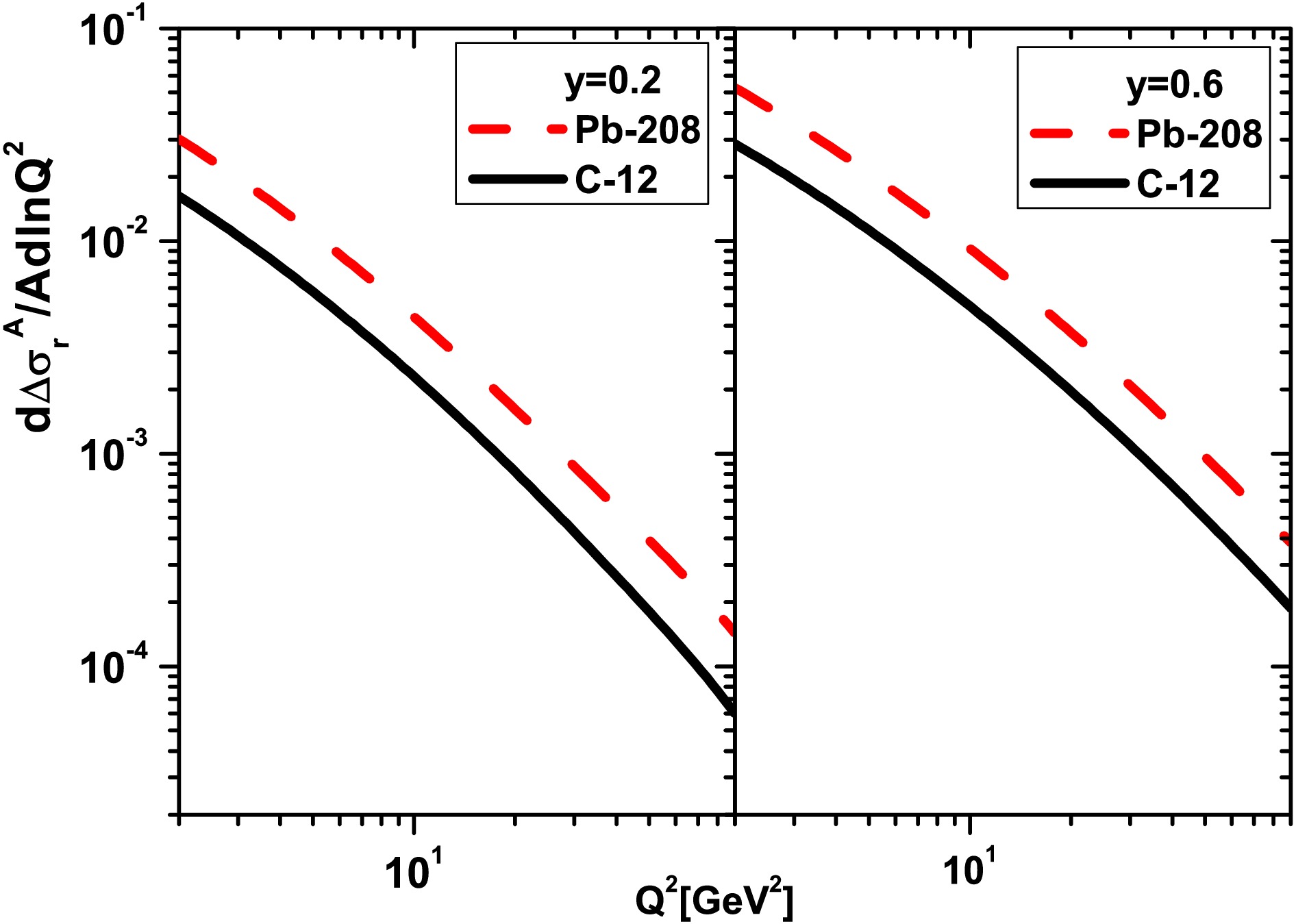
The determination of non-linear corrections to the nuclear distribution functions due to the HIJING parameterization within the framework of perturbative QCD, specifically the GLR-MQ equations, is discussed. We analyze the possibility of constraining the non-linear corrections present in the distribution functions using the inclusive observables that will be measured in future electron-ion colliders. The results show that non-linear corrections play an important role in heavy nuclear reduced cross sections at low x and low\begin{document}$ Q^2 $\end{document} values. We find that the non-linear corrections provide the correct behavior of the extracted nuclear cross sections and that our results align with data from the nCETQ15 parameterization group. We discuss a satisfactory description of the non-linear corrections to the shadowing effect at small x.
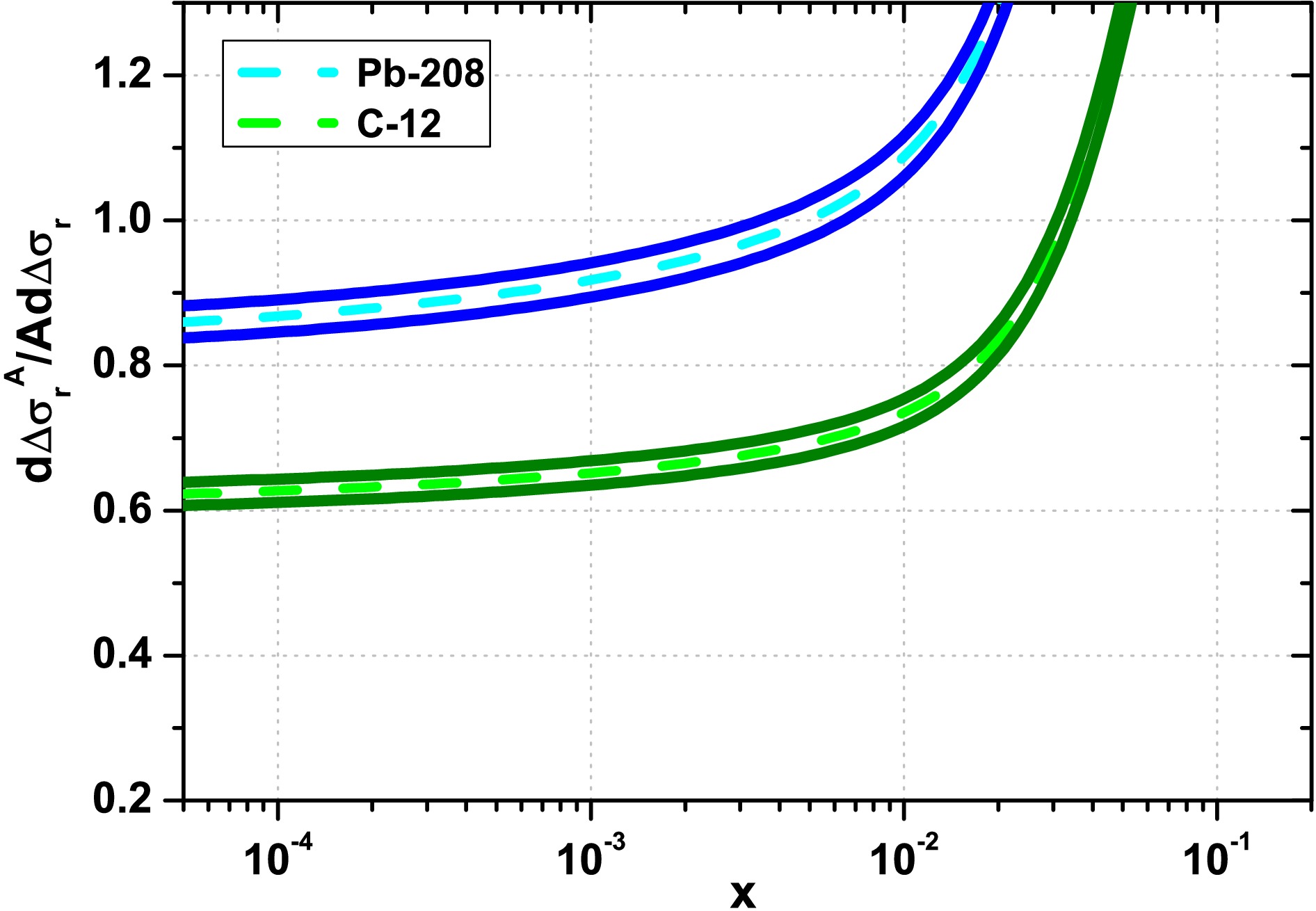
The determination of non-linear corrections to the nuclear distribution functions due to the HIJING parameterization within the framework of perturbative QCD, specifically the GLR-MQ equations, is discussed. We analyze the possibility of constraining the non-linear corrections present in the distribution functions using the inclusive observables that will be measured in future electron-ion colliders. The results show that non-linear corrections play an important role in heavy nuclear reduced cross sections at low x and low
2026, 50(2): 023105. doi: 10.1088/1674-1137/ae24e6
Abstract:
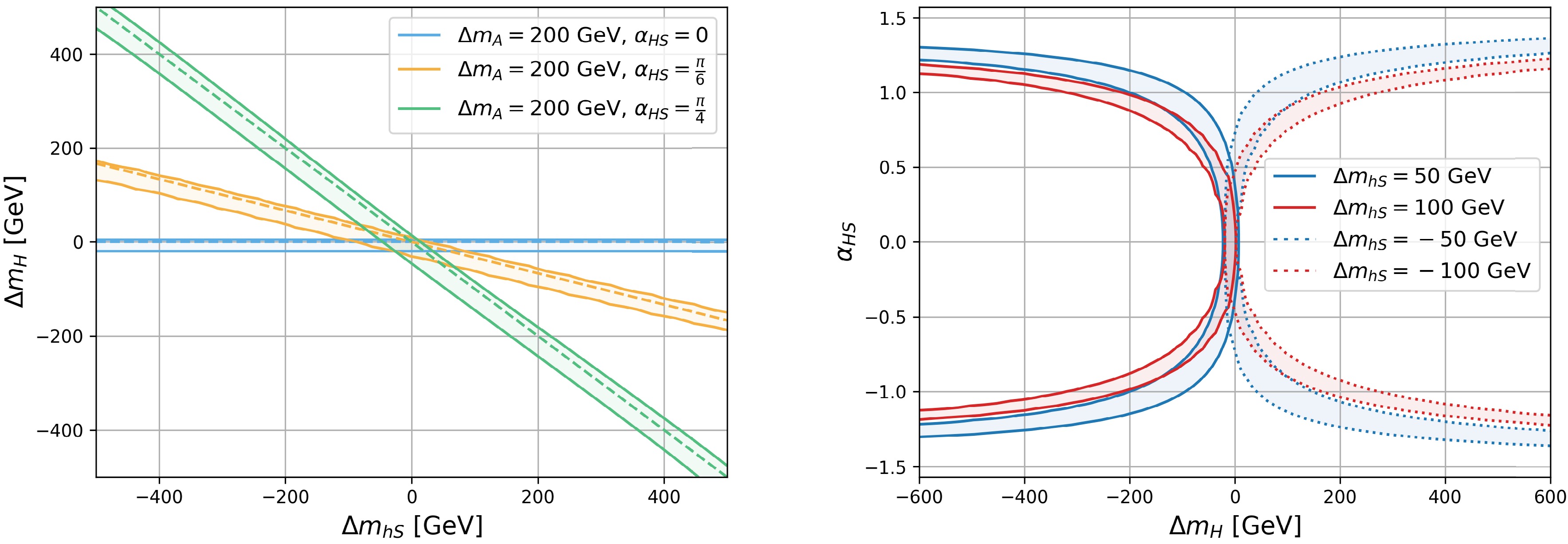
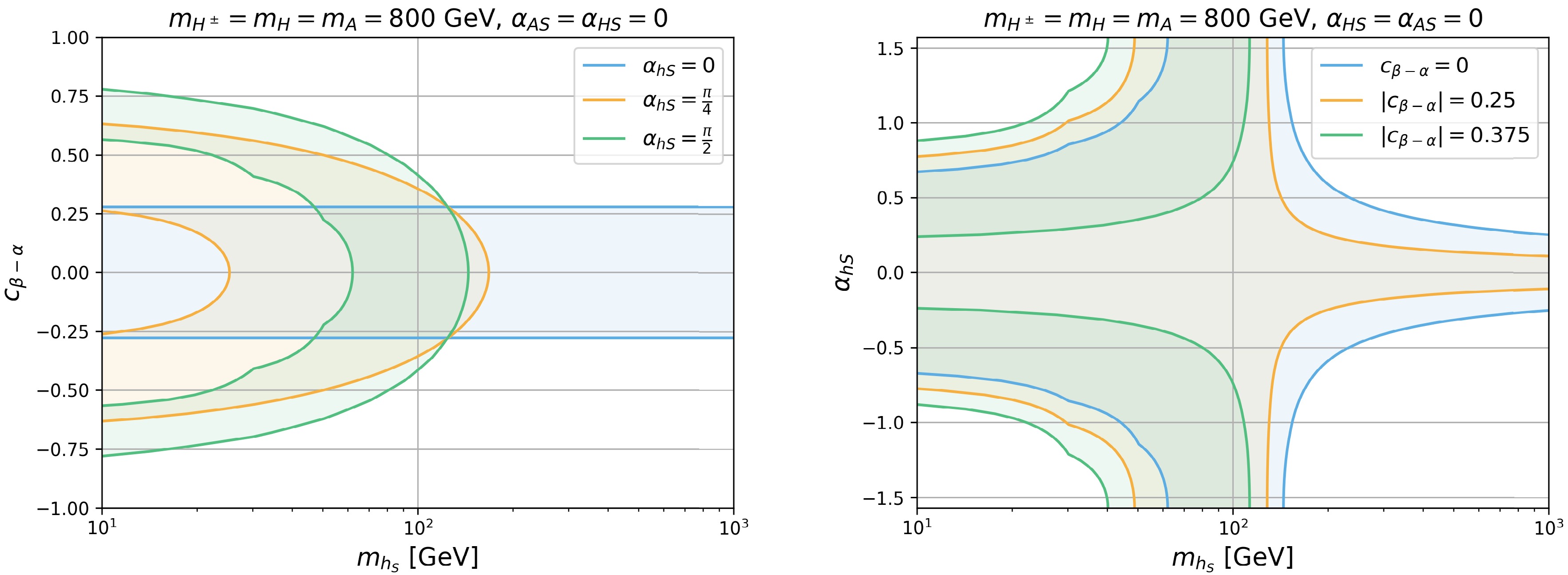
The 2HDM+S is the singlet extension of the two-Higgs-doublet model (2HDM). The singlet field and its mixing with the 2HDM Higgs sector lead to new contributions to the electroweak precision observables, in particular, the oblique parameters. In this study, we performed a systematic investigation of the impacts of each mixing angle on the oblique parameters. We adopted the mixing angles and physical Higgs masses as our parameters, which allow a mapping when a specific symmetry structure of the Higgs potential and various theoretical considerations are taken into account. We identified five benchmark cases, where at most one mixing angle was nonzero, and analyzed the 95% C.L. allowed parameter space using the oblique parameters. In the alignment limit of the 2HDM, we find that, other than the usual mass relations of\begin{document}$m_H\sim m_{H^\pm}$\end{document} or \begin{document}$m_A\sim m_{H^\pm}$\end{document} , electroweak precision measurements also impose an upper limit on the neutral Higgs masses. In the cases with nonzero singlet mixing with the 2HDM Higgses H or A, we find approximate mass relations of \begin{document}$c^2_{\alpha_{HS}} m_{H} + s^2_{\alpha_{HS}}m_{h_S} = m_{H^\pm}$\end{document} or \begin{document}$c^2_{\alpha_{AS}} m_{A} + s^2_{\alpha_{AS}}m_{A_S} = m_{H^\pm}$\end{document} . These relations are universal to the 2HDM+S models, with or without further symmetry assumption. We also studied the non-alignment limit of the 2HDM+S, which typically has tighter constraints on the masses and mixing angles. Finally, we examined the complementarity between the electroweak precision analyses and the Higgs coupling precision measurements.
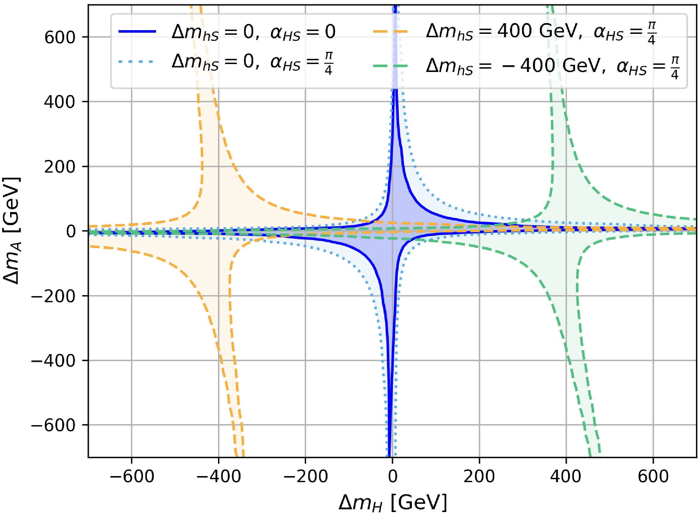
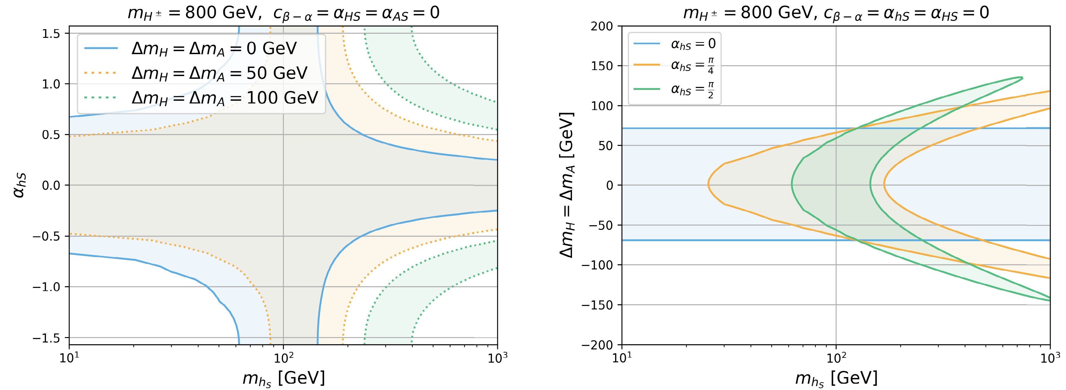
The 2HDM+S is the singlet extension of the two-Higgs-doublet model (2HDM). The singlet field and its mixing with the 2HDM Higgs sector lead to new contributions to the electroweak precision observables, in particular, the oblique parameters. In this study, we performed a systematic investigation of the impacts of each mixing angle on the oblique parameters. We adopted the mixing angles and physical Higgs masses as our parameters, which allow a mapping when a specific symmetry structure of the Higgs potential and various theoretical considerations are taken into account. We identified five benchmark cases, where at most one mixing angle was nonzero, and analyzed the 95% C.L. allowed parameter space using the oblique parameters. In the alignment limit of the 2HDM, we find that, other than the usual mass relations of
2026, 50(2): 023106. doi: 10.1088/1674-1137/ae1197
Abstract:
An SU(3) flavor projection operator technique is implemented to construct the baryon-meson scattering amplitude within the framework of the\begin{document}$1/N_c$\end{document} expansion of quantum chromodynamics (QCD), where \begin{document}$N_c$\end{document} represents the number of color charges. The operator technique is implemented to evaluate not only the lowest-order scattering amplitude but also effects from the first-order perturbative SU(3) flavor symmetry breaking and strong isospin breaking. The most general expression is obtained by explicitly accounting for the effects of the decuplet-octet baryon mass difference. At order \begin{document}${\cal{O}}(1/N_c^2)$\end{document} , a large number of unknown operator coefficients appear, and therefore, there is little additional predictive power unless leading and subleading terms are retained. Although the resultant expression is sufficiently general that it can be applied to any incoming and outgoing baryons and pseudo scalar mesons, provided that the Gell-Mann--Nishijima scheme is respected, results for \begin{document}$N\pi\to N\pi$\end{document} scattering processes are explicitly considered.
An SU(3) flavor projection operator technique is implemented to construct the baryon-meson scattering amplitude within the framework of the
2026, 50(2): 023107. doi: 10.1088/1674-1137/ae1186
Abstract:
Recently, a series of new measurements with both the neutral and charge current Drell–Yan processes have been performed at hadron colliders, revealing deviations from the predictions of the current parton distribution functions (PDFs). In this article, the impact of these new measurements is studied by using their results to update the PDFs. Although these new measurements correspond to different boson propagators and colliding energies, they are found to have a similar impact to the light quark parton distributions with a momentum fraction x of approximately 0.1. The deviations are consistent with each other and favor a larger valence\begin{document}$ d_v/u_v $\end{document} ratio than the modern PDF predictions. Further study indicates that such tension results dominantly from the deep inelastic scattering measurements of NMC and the fixed target experiments of NuSea, both of which play pivotal roles in detecting the relative u- and d-type quark contributions for modern PDFs. The conclusions of the impact study indicate that these new measurements should be included in the complete PDF global analysis in the future.
Recently, a series of new measurements with both the neutral and charge current Drell–Yan processes have been performed at hadron colliders, revealing deviations from the predictions of the current parton distribution functions (PDFs). In this article, the impact of these new measurements is studied by using their results to update the PDFs. Although these new measurements correspond to different boson propagators and colliding energies, they are found to have a similar impact to the light quark parton distributions with a momentum fraction x of approximately 0.1. The deviations are consistent with each other and favor a larger valence
2026, 50(2): 023108. doi: 10.1088/1674-1137/ae15ee
Abstract:
We study a three-loop induced neutrino mass scenario from a non-holomorphic modular A4 flavor symmetry and obtain the minimum scenario leading to predictions of the lepton masses, mixing angles, and Dirac and Majorana phases, which are shown through chi square analyses. In addition, we discuss the lepton flavor violations, muon anomalous magnetic moment, lepton universality, and relic density of the dark matter candidate. Moreover, we show that our model can be extended to satisfy the observed relic density of dark matter within the limit of perturbation by adding one singlet scalar boson without changing predictions in the neutrino sector.
We study a three-loop induced neutrino mass scenario from a non-holomorphic modular A4 flavor symmetry and obtain the minimum scenario leading to predictions of the lepton masses, mixing angles, and Dirac and Majorana phases, which are shown through chi square analyses. In addition, we discuss the lepton flavor violations, muon anomalous magnetic moment, lepton universality, and relic density of the dark matter candidate. Moreover, we show that our model can be extended to satisfy the observed relic density of dark matter within the limit of perturbation by adding one singlet scalar boson without changing predictions in the neutrino sector.
2026, 50(2): 023109. doi: 10.1088/1674-1137/ae18af
Abstract:
In this work, we investigate the resonance structures in the\begin{document}$ \Sigma(1/2^-) $\end{document} system from both three-quark and five-quark perspectives within the framework of the chiral quark model. An accurate few-body computational approach, the Gaussian expansion method, is employed to construct the orbital wave functions of multiquark states. To reduce the model dependence on parameters, we fit two sets of parameters to check the stability of the results. The calculations show that our results remain stable despite changes in the parameters. In the three-quark calculations, two \begin{document}$ \Sigma(1/2^-) $\end{document} states are obtained with energies around 1.8 GeV, which are good candidates for the experimentally observed \begin{document}$ \Sigma(1750) $\end{document} and \begin{document}$ \Sigma(1900) $\end{document} . In the five-quark configuration, several stable resonance states are identified, including \begin{document}$ \Sigma \pi $\end{document} , \begin{document}$ N \bar{K} $\end{document} , and \begin{document}$ N \bar{K}^{*} $\end{document} . These resonance states survive the channel-coupling calculations under the complex-scaling framework and manifest as stable structures. Our results support the existence of a two-pole structure for the \begin{document}$ \Sigma(1/2^-) $\end{document} system, predominantly composed of \begin{document}$ \Sigma \pi $\end{document} and \begin{document}$ N \bar{K} $\end{document} configurations, analogous to the well-known \begin{document}$ \Lambda(1380) $\end{document} -\begin{document}$ \Lambda(1405) $\end{document} (\begin{document}$ \Sigma \pi $\end{document} -\begin{document}$ N \bar{K} $\end{document} ) system. On the other hand, although the energy of the \begin{document}$ N \bar{K}^{*} $\end{document} configuration is close to that of \begin{document}$ \Sigma(1750) $\end{document} and \begin{document}$ \Sigma(1900) $\end{document} , the obtained width is not consistent with the experimental values. This suggests that the \begin{document}$ N \bar{K}^{*} $\end{document} state needs to mix with three-quark components to better explain the experimental \begin{document}$ \Sigma(1750) $\end{document} and \begin{document}$ \Sigma(1900) $\end{document} states. According to our decay width calculations, the predicted two resonance states are primarily composed of \begin{document}$ \Sigma \pi $\end{document} and \begin{document}$ N \bar{K} $\end{document} , with their main decay channel being \begin{document}$ \Lambda \pi $\end{document} . Therefore, we encourage experimental groups to search for the predicted two-pole structure of the \begin{document}$ \Sigma(1/2^-) $\end{document} system in the invariant mass spectrum of \begin{document}$ \Lambda \pi $\end{document} .
In this work, we investigate the resonance structures in the
2026, 50(2): 023110. doi: 10.1088/1674-1137/ae1373
Abstract:
The decay of the Higgs boson and the nature of dark matter remain fundamental challenges in particle physics. We investigate the 95 GeV diphoton excess and dark matter within the framework of the triplet-extended minimal supersymmetric standard model (TMSSM). In this model, an additional hypercharge\begin{document}$ Y=0 $\end{document} , \begin{document}$ S U(2)_L $\end{document} triplet superfield is introduced. Mixing between the triplet and doublet Higgs states enhances the diphoton signal strength of the 95 GeV Higgs boson, resulting in \begin{document}$ \mu_{\gamma\gamma}^{{\rm{CMS+ATLAS}}} = 0.24_{-0.08}^{+0.09} $\end{document} , which is consistent with experimental observations. This enhancement arises primarily from charged Higgs and chargino loop contributions, together with an LEP excess in the \begin{document}$ Zb\bar{b} $\end{document} channel around the same mass within the \begin{document}$ 2\sigma $\end{document} range. Additionally, the model accommodates viable dark matter candidates in the form of a bino-dominated neutralino. The relic density is reduced to the observed value through resonance-enhanced annihilation via the Higgs portal or co-annihilation with the triplino or higgsino. This reduction remains consistent with constraints from direct and indirect detection experiments. A comprehensive parameter scan demonstrates that the TMSSM can simultaneously explain the 95 GeV diphoton excess, observed 125 GeV Higgs mass, and dark matter relic density, establishing a compelling and theoretically consistent framework.
The decay of the Higgs boson and the nature of dark matter remain fundamental challenges in particle physics. We investigate the 95 GeV diphoton excess and dark matter within the framework of the triplet-extended minimal supersymmetric standard model (TMSSM). In this model, an additional hypercharge
2026, 50(2): 023111. doi: 10.1088/1674-1137/ae120b
Abstract:
Recently, the BESIII Collaboration observed the three-body decays\begin{document}$ D_s^+\to \eta \omega\pi^+ $\end{document} , \begin{document}$ D^+\to K^0_S\pi^+\omega $\end{document} , and \begin{document}$ D^0\to K^-\pi^+\omega $\end{document} . In this study, we investigate the contributions of the subprocesses \begin{document}$ \rho^+\to \omega\pi^+ $\end{document} in these Cabibbo-favored decays \begin{document}$ D \to h\omega\pi $\end{document} , with \begin{document}$ \rho^+= \{\rho(770)^+, \rho(1450)^+, \rho(770)^+\&\rho(1450)^+\} $\end{document} and \begin{document}$ h=\{ \eta, K^0_S, K^-\} $\end{document} , by introducing these subprocesses into the decay amplitudes of the relevant decay processes via the vector form factor \begin{document}$ F_{\omega\pi} $\end{document} , which has been measured in the related τ and \begin{document}$ e^+e^- $\end{document} processes. We provide the first theoretical predictions for the branching fractions of the quasi-two-body decays \begin{document}$ D_s^+\to\eta[\rho^+\to]\omega\pi^+ $\end{document} , \begin{document}$ D^+\to K^0_S[\rho^+\to]\omega\pi^+ $\end{document} , and \begin{document}$ D^0\to K^-[\rho^+\to]\omega\pi^+ $\end{document} . Our findings reveal that the contributions from the subprocess \begin{document}$ \rho(770)^+\to\omega\pi^+ $\end{document} are significant in these observed three-body decays \begin{document}$ D_s^+\to\eta \omega\pi^+ $\end{document} , \begin{document}$ D^+\to K^0_S \omega\pi^+ $\end{document} , and \begin{document}$ D^0\to K^- \omega\pi^+ $\end{document} , notwithstanding the contributions originating from the Breit-Wigner tail effect of \begin{document}$ \rho(770)^+ $\end{document} . The numerical results of this study suggest that the dominant resonance contributions for the three-body decays \begin{document}$ D_s^+\to\eta \omega\pi^+ $\end{document} and \begin{document}$ D^+\to K^0_S \omega\pi^+ $\end{document} originate from the P-wave intermediate states \begin{document}$ \rho(770)^+ $\end{document} , \begin{document}$ \rho(1450)^+ $\end{document} and their interference effects.
Recently, the BESIII Collaboration observed the three-body decays
2026, 50(2): 023112. doi: 10.1088/1674-1137/ae15ed
Abstract:
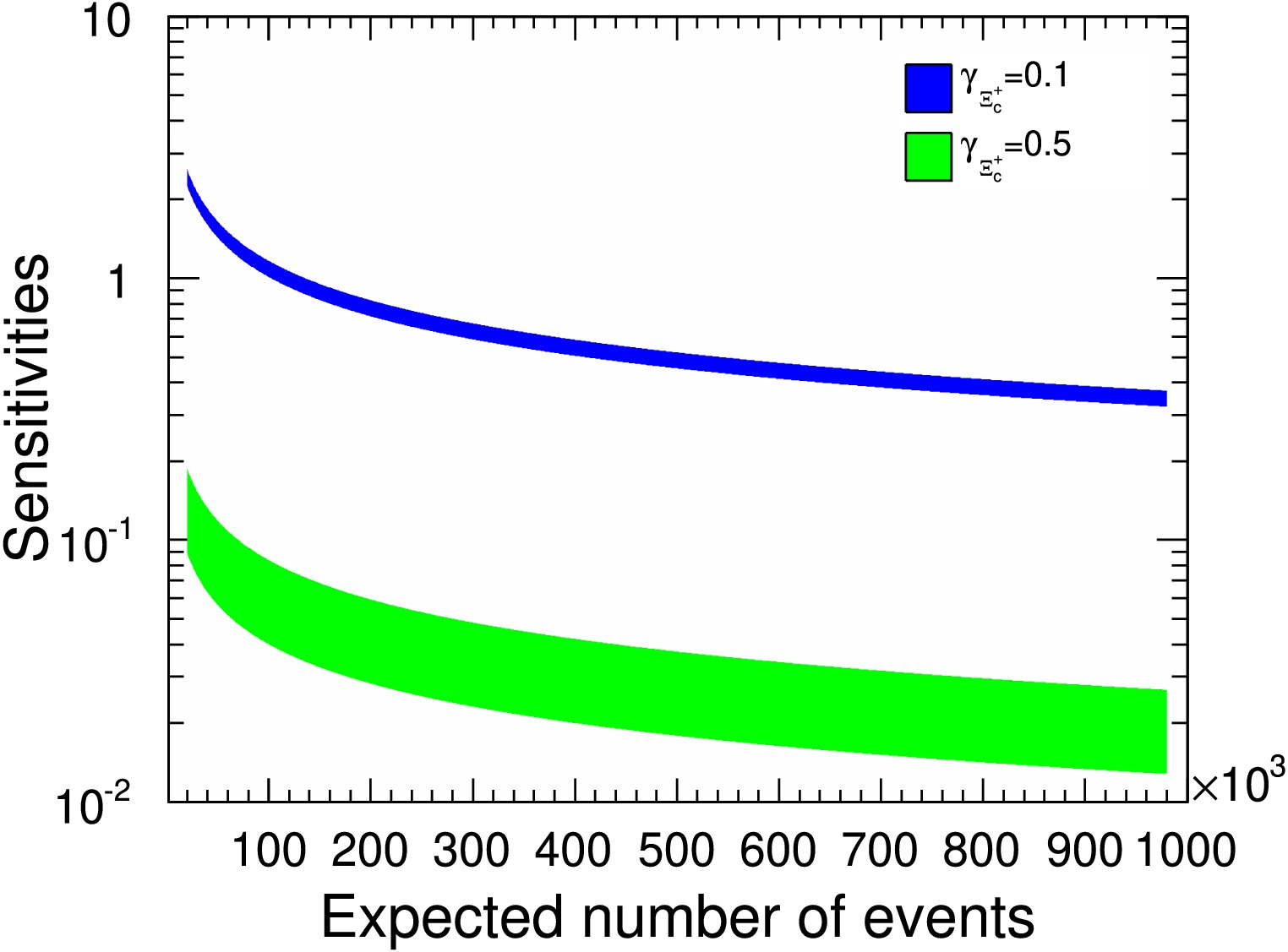
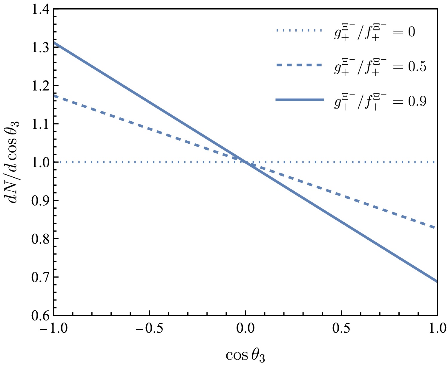
Symmetry studies represent one of the most promising frontiers in particle physics research. This investigation focuses on exploring P and\begin{document}$\rm CP $\end{document} symmetries in the charm system through the measurement of asymmetry decay parameters in the three-body decay of \begin{document}$ \Xi_c^{+} $\end{document} . By incorporating electron and positron beam polarization effects and utilizing the helicity formalism, we characterize the decay of \begin{document}$ \Xi_c^{+} $\end{document} and its secondary hyperons through asymmetry decay parameters. The complete angular distribution formula for these decays is systematically derived. Our study evaluates the sensitivity of the asymmetry parameters for the \begin{document}$ \Xi_c^{+} \to \Xi^{-}\pi^{+}\pi^{+} $\end{document} decay channel under various data sample sizes and beam polarization scenarios. The findings establish a robust theoretical framework for future experimental studies at the Super Tau-Charm Facility, providing valuable insights for symmetry investigations in the charm sector.
Symmetry studies represent one of the most promising frontiers in particle physics research. This investigation focuses on exploring P and
2026, 50(2): 023113. doi: 10.1088/1674-1137/ae144d
Abstract:
We construct a formalism that describes the resonances decaying into four pseudoscalar meson final states. This method is fully covariant and can be directly applied to the partial-wave analysis of high statistical data. Two topologies of the process are considered: two intermediate resonances, each decaying into two final mesons, and cascade decay via three meson intermediate states. In particular, we consider the production of such states in the central collision reactions and in radiative\begin{document}$J/\Psi$\end{document} decay.
We construct a formalism that describes the resonances decaying into four pseudoscalar meson final states. This method is fully covariant and can be directly applied to the partial-wave analysis of high statistical data. Two topologies of the process are considered: two intermediate resonances, each decaying into two final mesons, and cascade decay via three meson intermediate states. In particular, we consider the production of such states in the central collision reactions and in radiative
2026, 50(2): 023114. doi: 10.1088/1674-1137/ae056c
Abstract:
We present a systematic investigation of flavor-dependent jet quenching using energy-energy correlators (EEC) in\begin{document}$ \sqrt{s}=5.02 $\end{document} TeV Pb+Pb collisions. Employing the improved SHELL model, which incorporates collisional and radiative energy loss, as well as medium response, we quantify distinct quenching signatures for quark and gluon jets. Key findings include: (1) Pure quark jets exhibit strong EEC enhancement at large angular scales, while gluon jets show a bimodal enhancement pattern at small and large scales; (2) Dual-shift decomposition in the EEC ratio reveals shifts toward large angles is primarily driven by energy loss, while small-\begin{document}${R_{{\rm{L}}}}$\end{document} shifts extend beyond selection bias and indicate intrinsic enhancement of the gluon-initiated jets; (3) Quark jets experience global suppression of averaged energy weight \begin{document}$ \langle{\rm{weight}}\rangle({R_{{\rm{L}}}}) $\end{document} , whereas gluon jets exhibit concentration toward small \begin{document}${R_{{\rm{L}}}}$\end{document} ; (4) Mechanism decomposition identifies elastic energy loss concentrating \begin{document}$ \langle{\rm{weight}}\rangle({R_{{\rm{L}}}}) $\end{document} toward small \begin{document}${R_{{\rm{L}}}}$\end{document} , radiative loss dominating quark jet modification, and medium response amplifying large \begin{document}${R_{{\rm{L}}}}$\end{document} enhancement via soft hadrons. The observed flavor dependence in EEC modifications is dominantly driven by intrinsic jet structure differences rather than medium-induced mechanisms. We propose photon-tagged jets as quark proxies and inclusive charged-hadron jets as gluon proxies, demonstrating that they reproduce the respective flavor-specific quenching patterns. Our work establishes the EEC as a precision probe of color-charge-dependent jet-medium interactions, providing new constraints for the detailed \begin{document}$ \hat{q} $\end{document} extraction and QGP tomography, while highlighting the critical role of pre-quenching flavor asymmetries.
We present a systematic investigation of flavor-dependent jet quenching using energy-energy correlators (EEC) in
2026, 50(2): 024001. doi: 10.1088/1674-1137/ae167d
Abstract:
The cross section for the\begin{document}$ J^{\pi}(T)=3^{+}(0) $\end{document} state was measured to be enhanced in an isolated \begin{document}$ ^{6} $\end{document} Li nucleus compared to the same reduced state in a \begin{document}$ ^{6} $\end{document} Li cluster. This difference demonstrates a nuclear medium modification of the tensor force, which is sensitively probed by the \begin{document}$ T=0 $\end{document} channel. In contrast, the \begin{document}$ J^{\pi}(T)=0^{+}(1) $\end{document} state (\begin{document}$ T=1 $\end{document} ) was found to have approximately equal excitation strength in both \begin{document}$ ^{6} $\end{document} Li systems. We interpret this tensor force modification as a consequence of density saturation within a many-body interaction framework.
The cross section for the
2026, 50(2): 024101. doi: 10.1088/1674-1137/ae0999
Abstract:
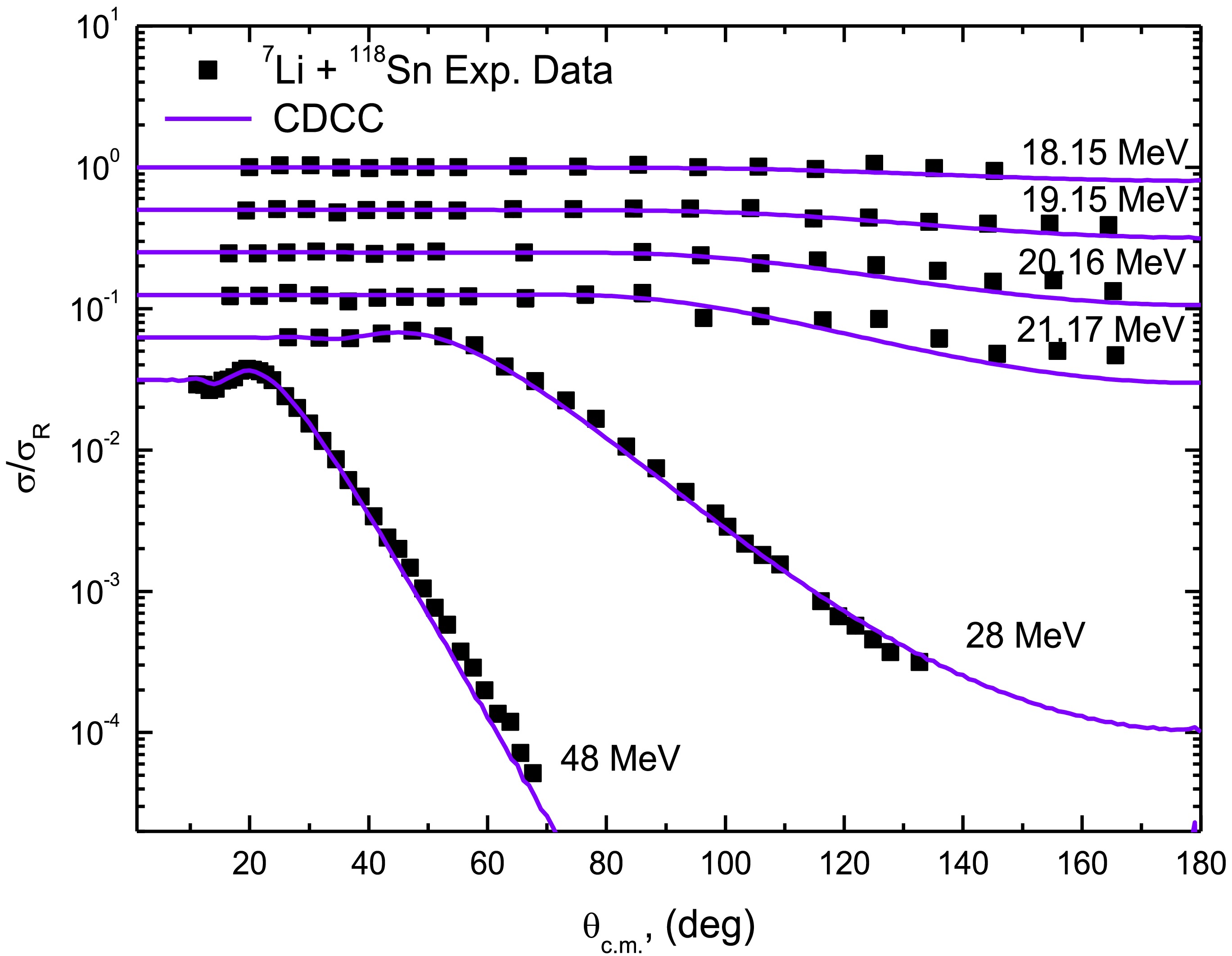
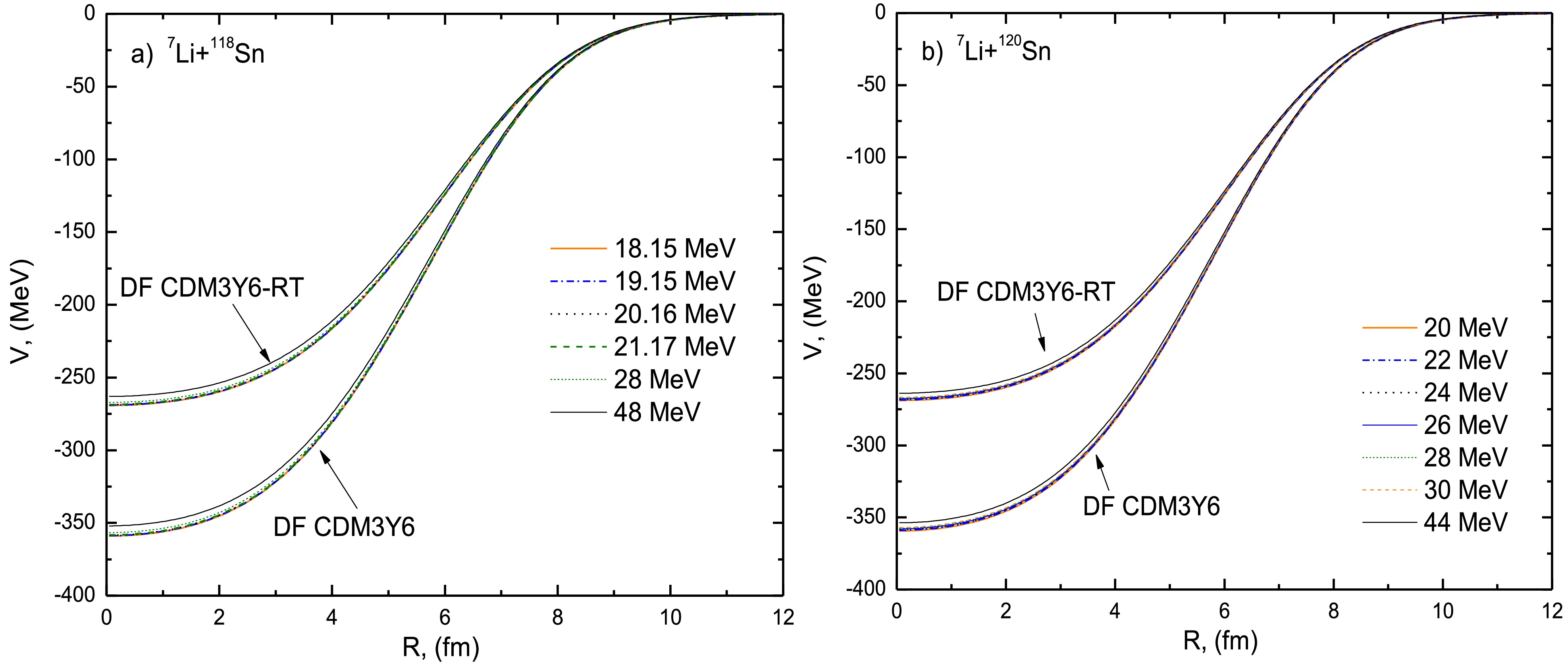
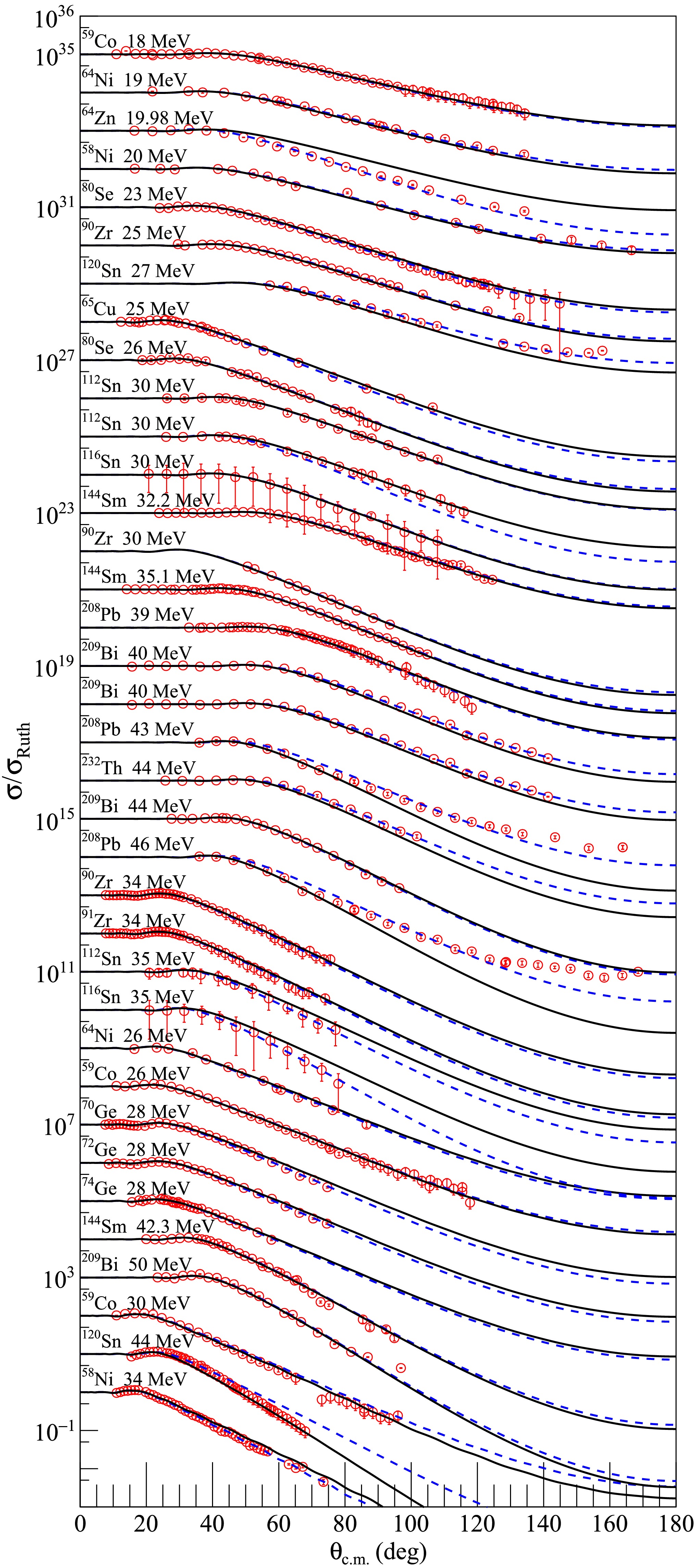
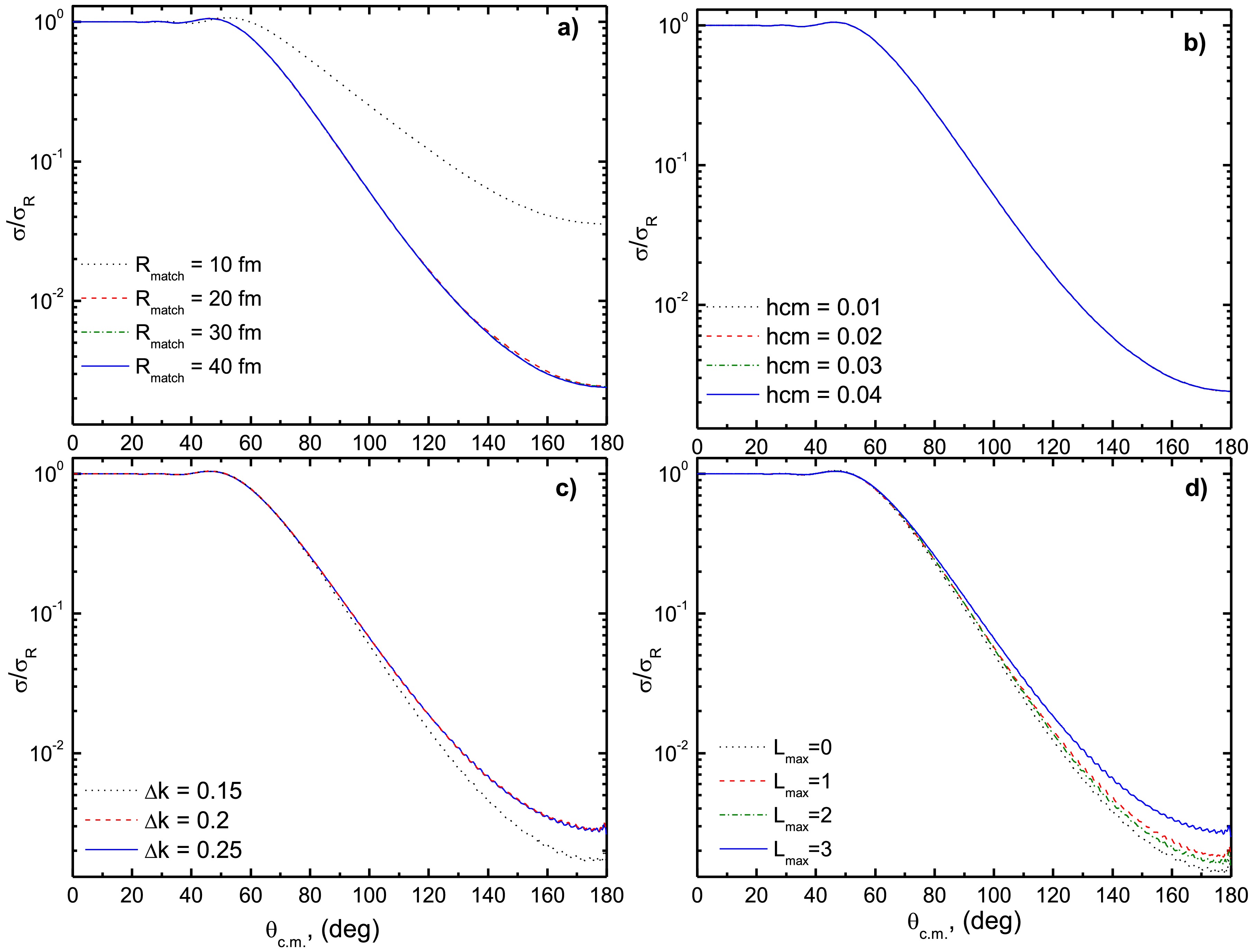
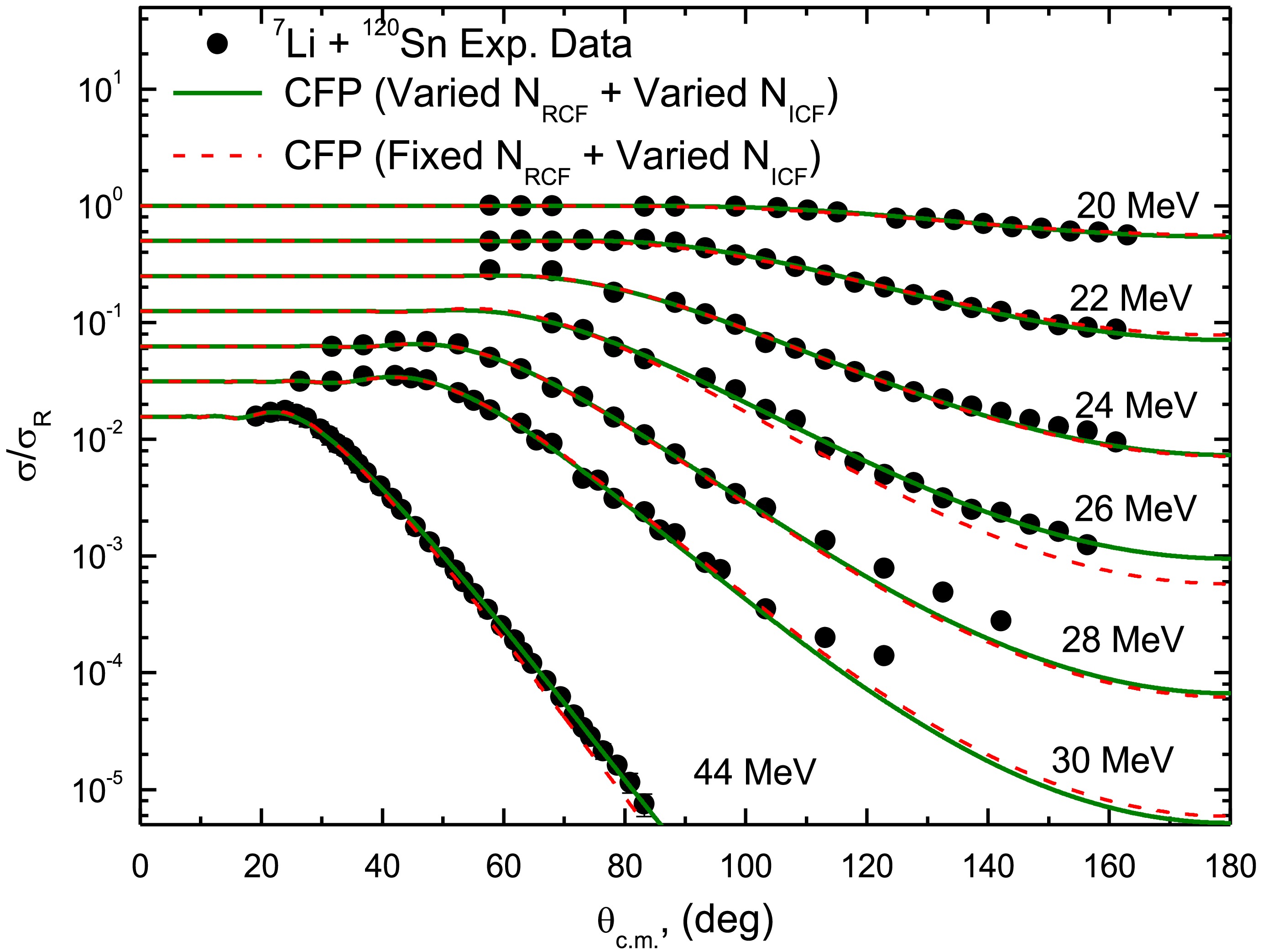
The breakup of weakly-bound projectiles has been shown to significantly influence scattering processes, including elastic scattering. In this context, we revisit the angular distributions (ADs) for the elastic scattering of 7Li from 118Sn and 120Sn targets. The study analyzes 7Li + 118Sn ADs over the energy range of 18.15–48 MeV and 7Li + 120Sn ADs from 20 to 44 MeV, utilizing various nuclear interaction models, including the São Paulo potential, CDM3Y6 potential (with and without the rearrangement term), and cluster folding model. The results indicate that the real component of the folded potentials must be scaled down by 40–65% to achieve an accurate fit to the experimental ADs, underscoring the prominent role of 7Li breakup effects. Interestingly, the conventional threshold anomaly observed in reactions involving tightly bound nuclei is not present. Further analysis using the continuum discretized coupled channels (CDCC) approach provides excellent agreement with the data, reinforcing these findings.
The breakup of weakly-bound projectiles has been shown to significantly influence scattering processes, including elastic scattering. In this context, we revisit the angular distributions (ADs) for the elastic scattering of 7Li from 118Sn and 120Sn targets. The study analyzes 7Li + 118Sn ADs over the energy range of 18.15–48 MeV and 7Li + 120Sn ADs from 20 to 44 MeV, utilizing various nuclear interaction models, including the São Paulo potential, CDM3Y6 potential (with and without the rearrangement term), and cluster folding model. The results indicate that the real component of the folded potentials must be scaled down by 40–65% to achieve an accurate fit to the experimental ADs, underscoring the prominent role of 7Li breakup effects. Interestingly, the conventional threshold anomaly observed in reactions involving tightly bound nuclei is not present. Further analysis using the continuum discretized coupled channels (CDCC) approach provides excellent agreement with the data, reinforcing these findings.
2026, 50(2): 024102. doi: 10.1088/1674-1137/ae07b5
Abstract:
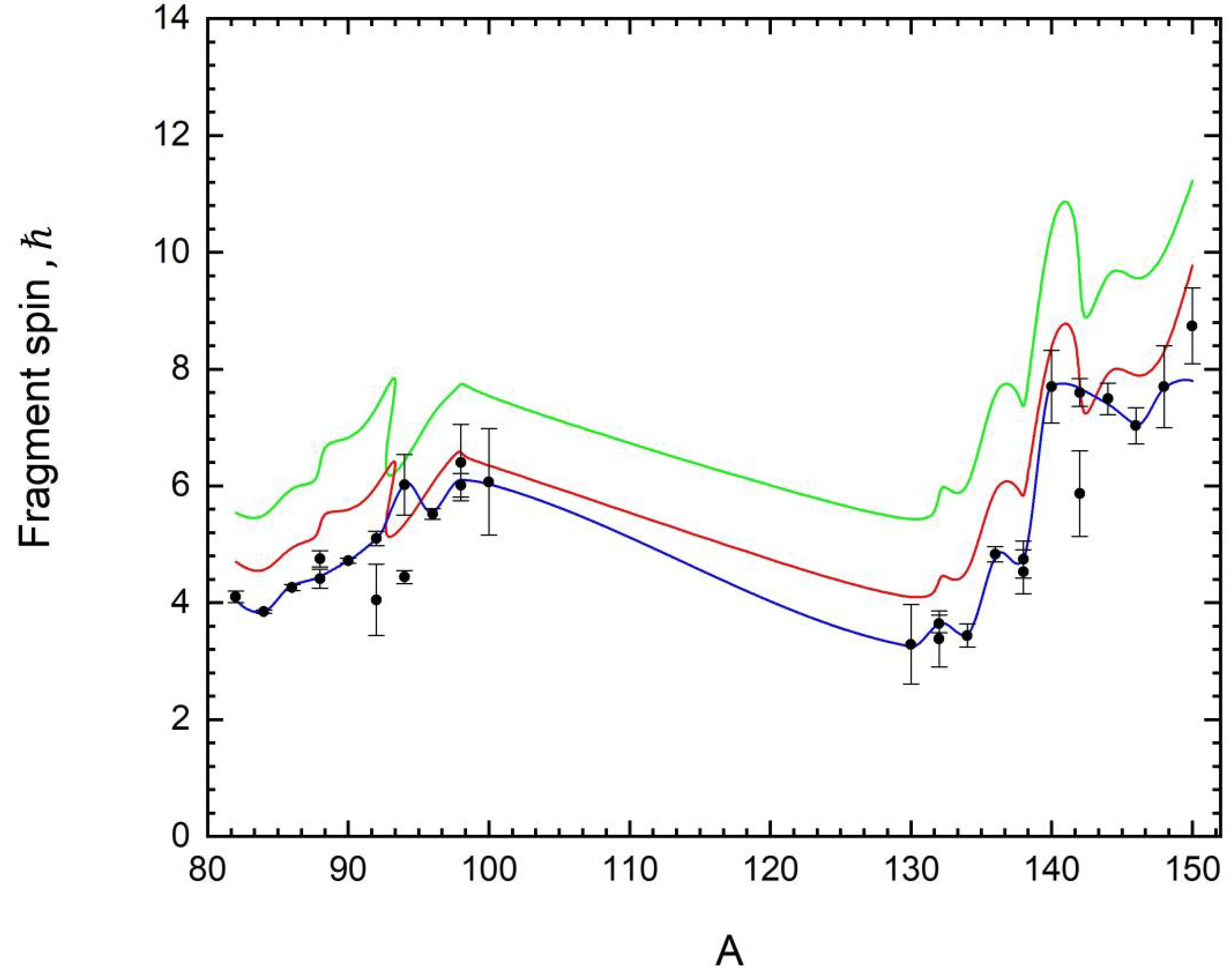
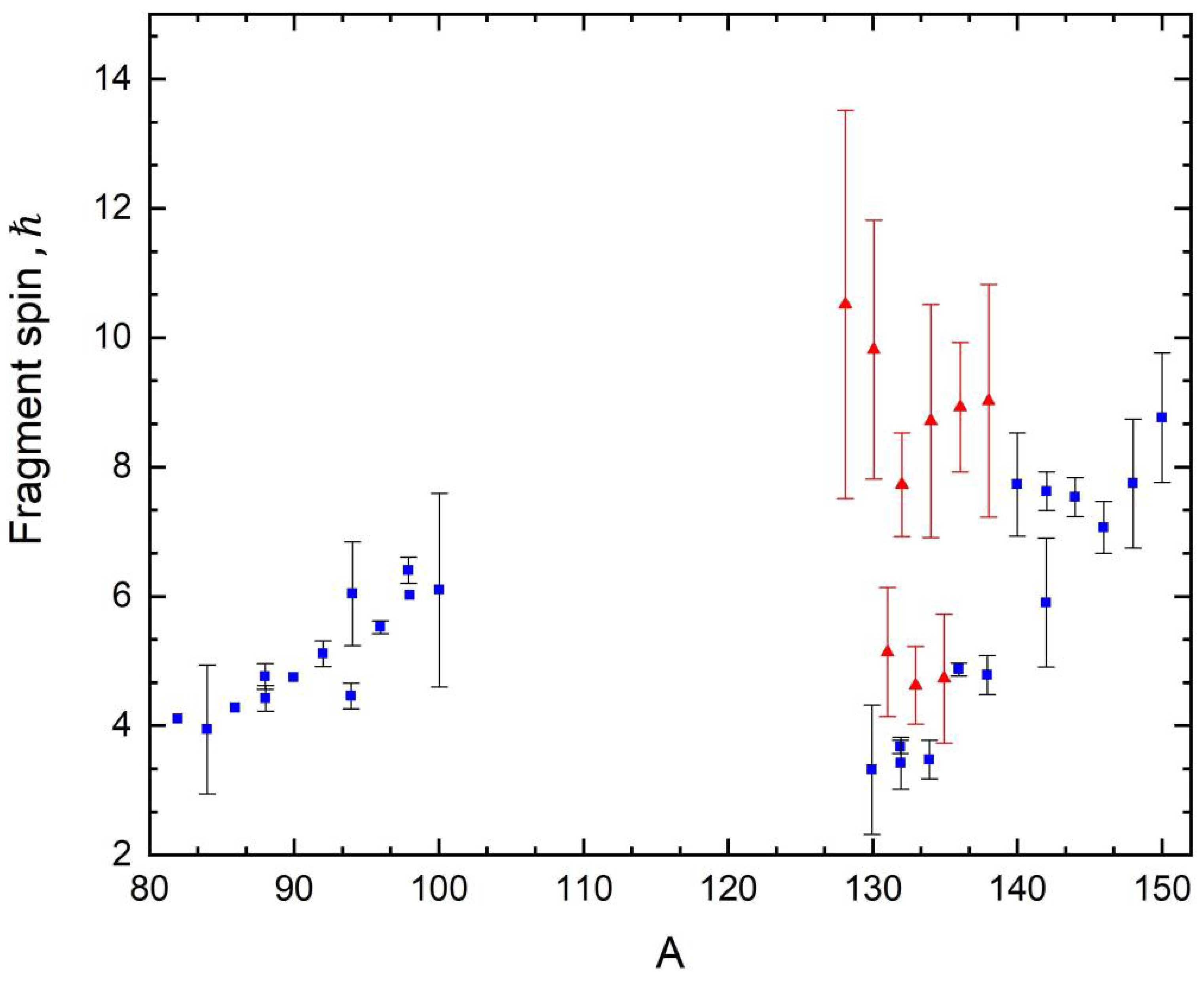
This study develops an innovative theoretical framework that integrates a macroscopic liquid-drop model with microscopic superfluid theory to calculate moments of inertia for fission fragments, extending our previous spontaneous fission approach to include the neutron-induced threshold fission of\begin{document}$ {}^{232}{\rm Th}\left( {n,f} \right) $\end{document} and \begin{document}$ {}^{238}{\text{U}}\left( {n,f} \right) $\end{document} . The model provides a comprehensive description of fission dynamics by simultaneously accounting for collective vibrational modes (bending and wriggling) and their influence on spin distributions while systematically investigating the deformation dependence of moments of inertia. Our calculations demonstrate close agreement with experimental data, validating the model's reliability for both fundamental nuclear fission studies and practical applications in reactor physics. The unified treatment of macroscopic and microscopic effects offers new insights into fission mechanisms and enables accurate predictions of fragment characteristics across the entire mass range. These results provide a solid basis for future studies on exotic fission processes and advanced applications in nuclear energy. The methodological advances presented here create new possibilities for theoretical studies of various heavy-ion reactions and fission phenomena in superheavy nuclei.
This study develops an innovative theoretical framework that integrates a macroscopic liquid-drop model with microscopic superfluid theory to calculate moments of inertia for fission fragments, extending our previous spontaneous fission approach to include the neutron-induced threshold fission of
2026, 50(2): 024103. doi: 10.1088/1674-1137/ae118a
Abstract:
The Schrödinger equation with Woods-Saxon type potentials is solved using the Green's function (GF) method. Taking nucleus\begin{document}$^{40}\mathrm{Ca}$\end{document} as an example, we show that the GF results for both bound and resonant single-neutron states are consistent with those obtained using the shooting and scattering matrix methods, respectively. Explicitly, three different recipes (GFI, GFII, and GFIII) are used to determine the energies and widths of resonant states. The GFI method directly extracts the resonant energy and width from the calculated density of states after removing the contributions of free particles. The GFII method identifies the resonant states by examining the flip of the density of states, whereas the GFIII method searches for the resonant states as poles of the modulus of GF on the complex energy plane. We find that the GFI method is effective for resonant states with narrow widths. For resonant states with broad widths, the GFII and GFIII methods are more accurate and effective. We also verify that the energies, widths, and density distributions of resonant states obtained using the GF method exhibit a rather weak dependence on the box size.
The Schrödinger equation with Woods-Saxon type potentials is solved using the Green's function (GF) method. Taking nucleus
2026, 50(2): 024104. doi: 10.1088/1674-1137/ae1449
Abstract:
Mirror symmetry is combined with the radial basis function (RBF) approach to improve the prediction accuracy of proton separation energy. Compared with the traditional RBF approach, the RBF combined with mirror symmetry (RBFms) mainly involves training the residual of the one/two-proton separation energy deviation of the nucleus and the one/two-neutron separation energy deviation of its mirror nucleus. The KTUY model combined with the RBFms approach yields a root-mean-square (rms) deviation of 0.113 MeV for one-proton separation energies of 143 nuclei, while the DZ31 model combined with the RBFms approach achieves an rms deviation of 0.089 MeV for two-proton separation energies of 115 nuclei. In the region where the proton number\begin{document}$ Z=14-38 $\end{document} , the proton drip line and two-proton decay candidate nucleus are predicted by the DZ31, FRDM12, KTUY, and WS4 models combined with RBFms.
Mirror symmetry is combined with the radial basis function (RBF) approach to improve the prediction accuracy of proton separation energy. Compared with the traditional RBF approach, the RBF combined with mirror symmetry (RBFms) mainly involves training the residual of the one/two-proton separation energy deviation of the nucleus and the one/two-neutron separation energy deviation of its mirror nucleus. The KTUY model combined with the RBFms approach yields a root-mean-square (rms) deviation of 0.113 MeV for one-proton separation energies of 143 nuclei, while the DZ31 model combined with the RBFms approach achieves an rms deviation of 0.089 MeV for two-proton separation energies of 115 nuclei. In the region where the proton number
2026, 50(2): 024105. doi: 10.1088/1674-1137/ae1183
Abstract:
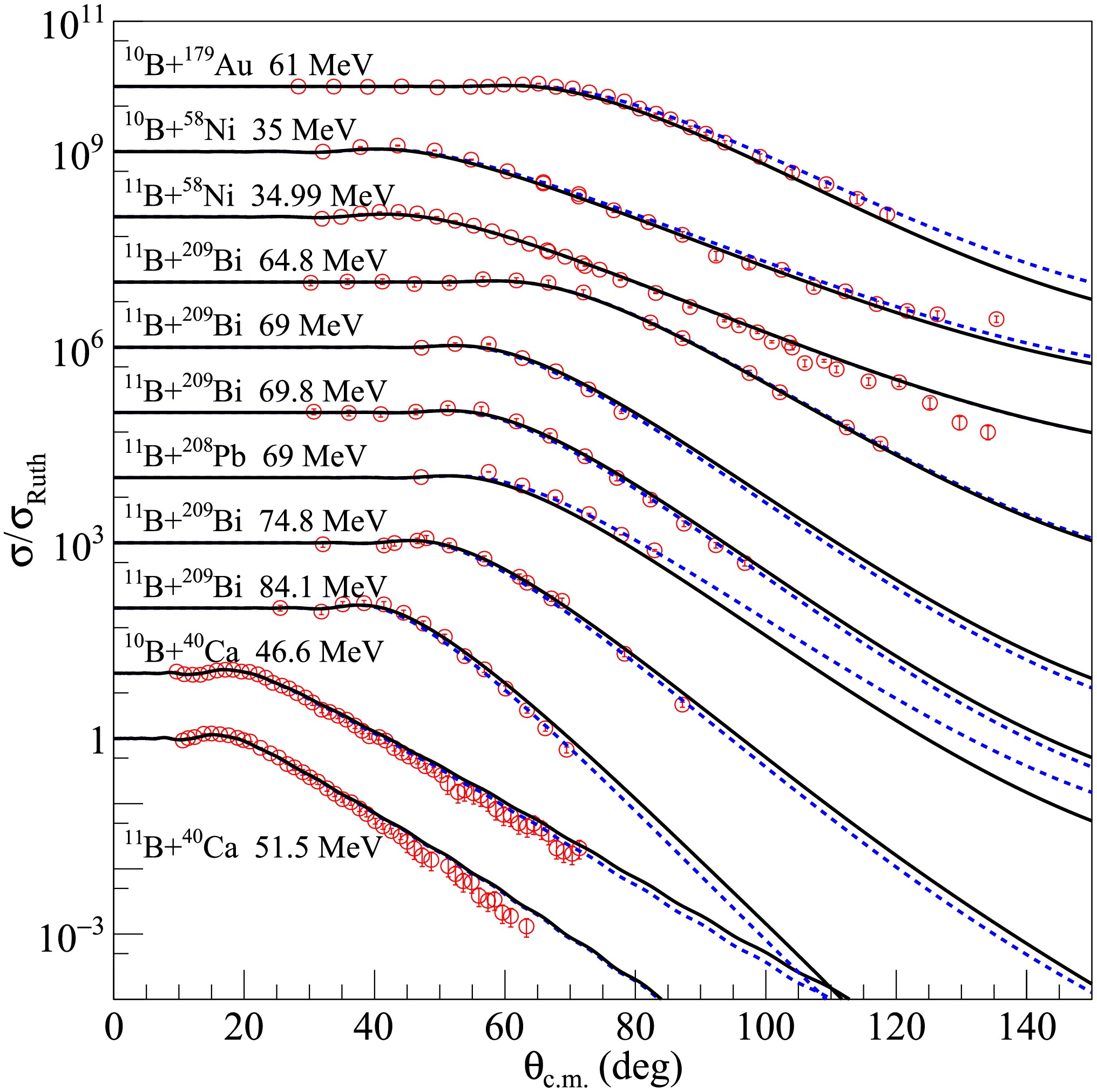
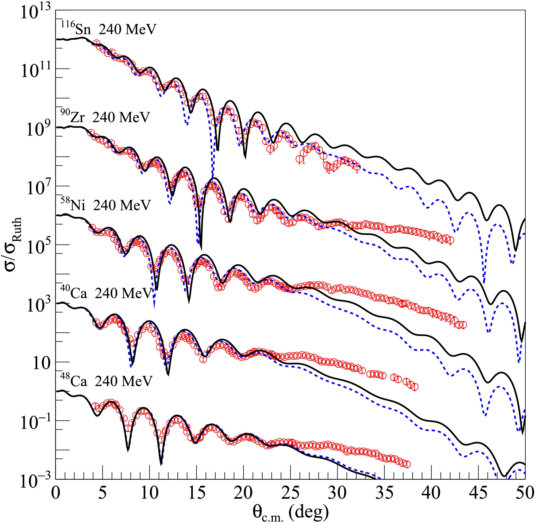
The root mean square (rms) nuclear proton radii of 6,7,8Li and 10,11B projectiles are systematically investigated by analyzing elastic scattering data from target nuclei with mass numbers ranging from 40 to 209 at incident energies exceeding Coulomb barriers. The analyses employ a consistent single-folding model potential based on the Bruyères Jeukenne-Lejeune-Mahaux (JLMB) nucleon-nucleus interaction model, incorporating 112 sets of elastic scattering data to derive the projectile nuclear radii. This approach yields individual radii for each set, from which the mean rms proton radius is extracted as a characteristic parameter for the projectile nuclei. The rms proton radii of 6,7Li and 10,11B nuclei, obtained from optical model fits, demonstrate good agreement with experimental measurements and existing theoretical predictions. Notably, a significantly smaller nuclear radius of 8Li is observed compared to values derived from intermediate-energy proton elastic scattering cross-section measurements, which may be attributed to additional dynamical effects specific to the 8Li projectile.
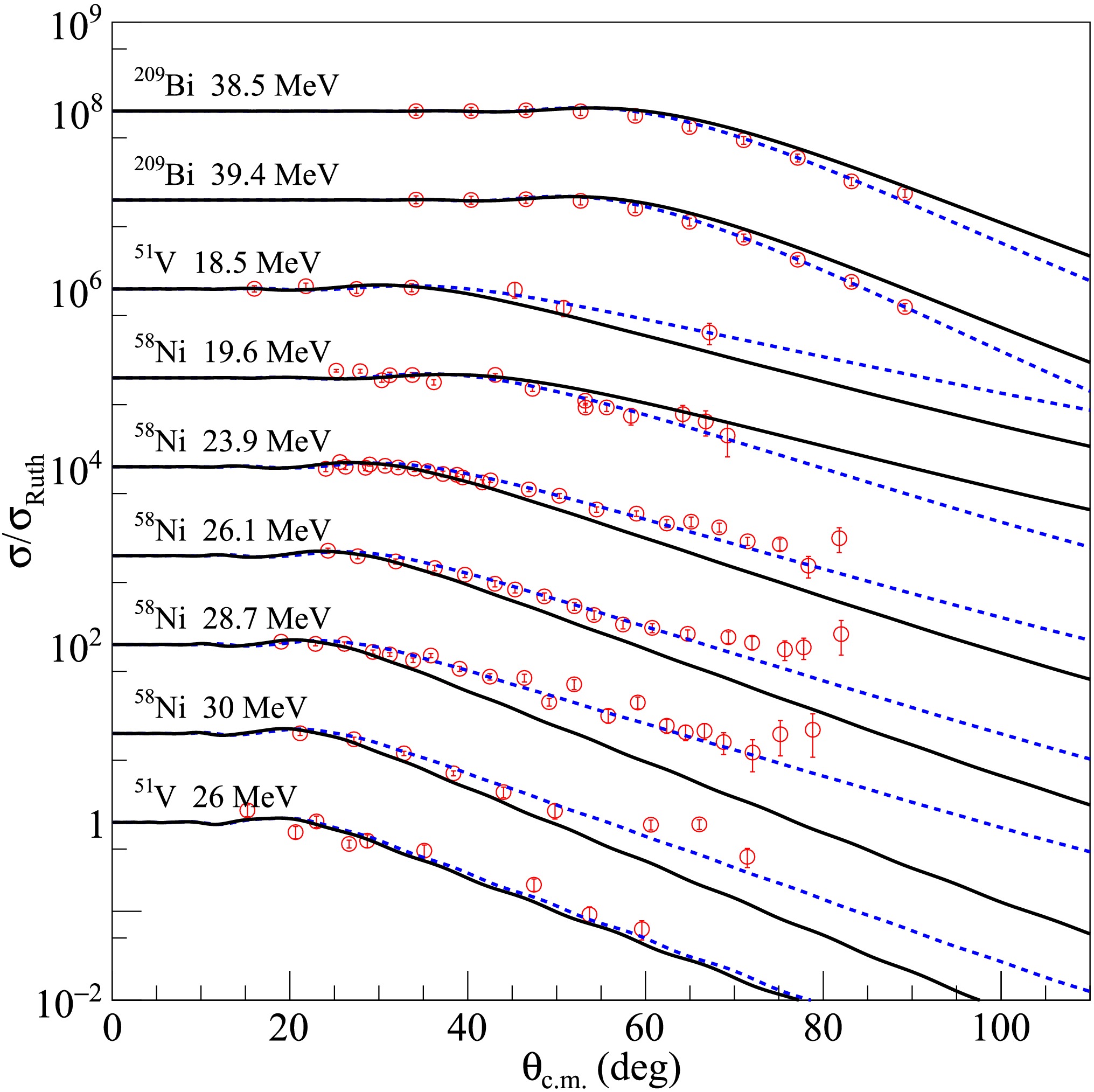
The root mean square (rms) nuclear proton radii of 6,7,8Li and 10,11B projectiles are systematically investigated by analyzing elastic scattering data from target nuclei with mass numbers ranging from 40 to 209 at incident energies exceeding Coulomb barriers. The analyses employ a consistent single-folding model potential based on the Bruyères Jeukenne-Lejeune-Mahaux (JLMB) nucleon-nucleus interaction model, incorporating 112 sets of elastic scattering data to derive the projectile nuclear radii. This approach yields individual radii for each set, from which the mean rms proton radius is extracted as a characteristic parameter for the projectile nuclei. The rms proton radii of 6,7Li and 10,11B nuclei, obtained from optical model fits, demonstrate good agreement with experimental measurements and existing theoretical predictions. Notably, a significantly smaller nuclear radius of 8Li is observed compared to values derived from intermediate-energy proton elastic scattering cross-section measurements, which may be attributed to additional dynamical effects specific to the 8Li projectile.
2026, 50(2): 024106. doi: 10.1088/1674-1137/ae167b
Abstract:
The Royer law is a widely used empirical relation for calculating α-decay half-lives; however, it requires 12 parity-dependent parameters. It exhibits systematic deviations near the\begin{document}$ N = 126 $\end{document} shell closure. We propose an improved Royer law by adding a shell-correction term, an odd-even pairing indicator, and an orbital-angular-momentum contribution. This unified framework reduces the number of free parameters to just four, leading to significant improvements in accuracy. The root-mean-square deviation across 550 experimental data points decreases from 0.520 to 0.279, corresponding to a 66.7% reduction in parameters and 46.3% improvement in accuracy. Using this refined formalism, we predict α-decay half-lives for superheavy nuclei with atomic numbers \begin{document}$ Z = 117-120 $\end{document} .
The Royer law is a widely used empirical relation for calculating α-decay half-lives; however, it requires 12 parity-dependent parameters. It exhibits systematic deviations near the
2026, 50(2): 024107. doi: 10.1088/1674-1137/ae1444
Abstract:
This study performed a statistical analysis of the correlation and uncertainty of parameters in the classical liquid drop mass formula (namely BW3 type) via regression, along with the theoretical impact of error propagation. Within the improved BW3 formula, the total deviation between evaluation and experiment can be reduced to 1.66 MeV, involving a reduction from 2.89 (2.42) MeV to 1.92 (1.89) MeV in the proton(neutron)-dripline region. Ridge regression validation verified this total deviation as the optimal point in the present mass model. Through trend coefficients and Pearson linear-correlation analysis, obvious collinearity was identified between volume, surface, Coulomb, and curvature terms, with notable correlation among high-order symmetry energy and surface symmetry terms. The theoretical derivation of the distribution of binding energy error was then achieved through error propagation analysis. Across the nuclide chart, the error uncertainty of mass predictions varies from 1.996 to 124.469 keV, demonstrating a convex trend of the initial decrease of evaluation error followed by an increase versus the neutron number.
This study performed a statistical analysis of the correlation and uncertainty of parameters in the classical liquid drop mass formula (namely BW3 type) via regression, along with the theoretical impact of error propagation. Within the improved BW3 formula, the total deviation between evaluation and experiment can be reduced to 1.66 MeV, involving a reduction from 2.89 (2.42) MeV to 1.92 (1.89) MeV in the proton(neutron)-dripline region. Ridge regression validation verified this total deviation as the optimal point in the present mass model. Through trend coefficients and Pearson linear-correlation analysis, obvious collinearity was identified between volume, surface, Coulomb, and curvature terms, with notable correlation among high-order symmetry energy and surface symmetry terms. The theoretical derivation of the distribution of binding energy error was then achieved through error propagation analysis. Across the nuclide chart, the error uncertainty of mass predictions varies from 1.996 to 124.469 keV, demonstrating a convex trend of the initial decrease of evaluation error followed by an increase versus the neutron number.
2026, 50(2): 024108. doi: 10.1088/1674-1137/ae18ae
Abstract:
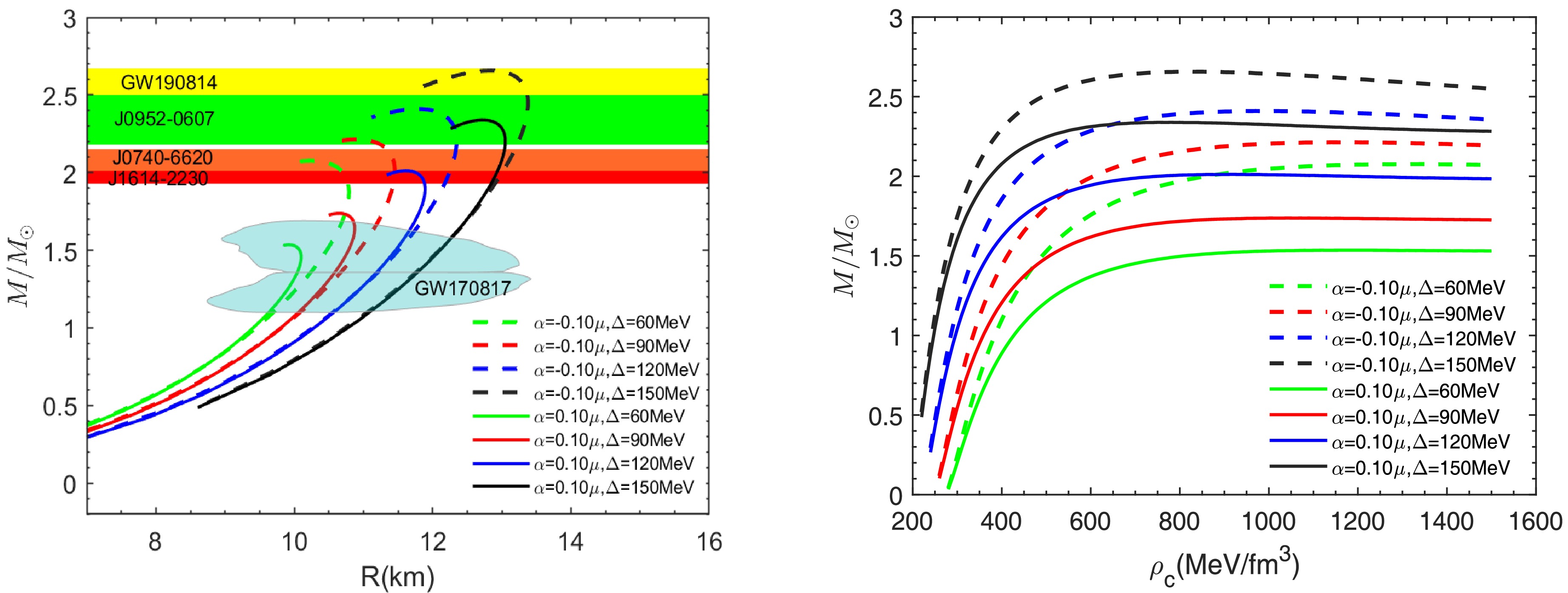
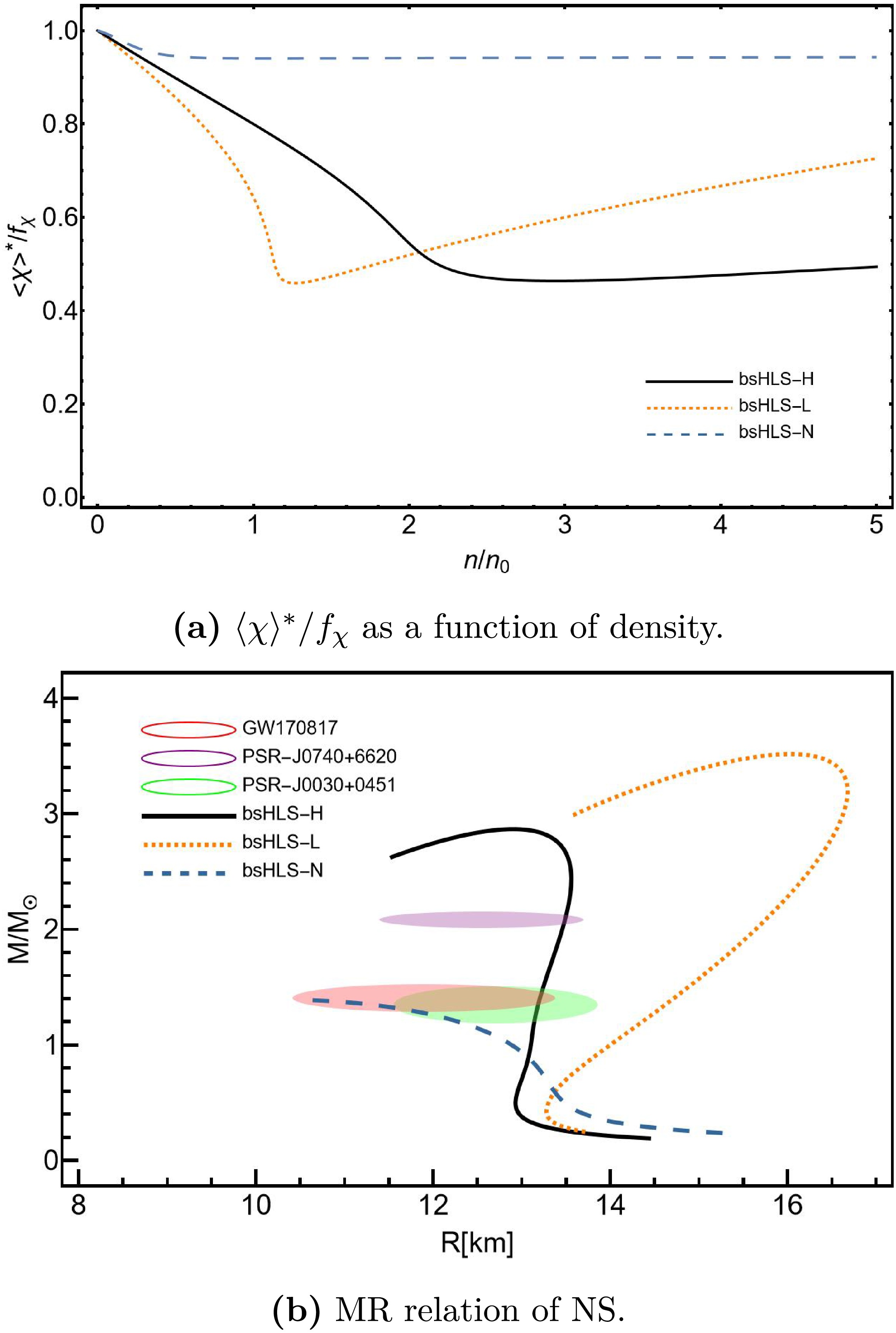
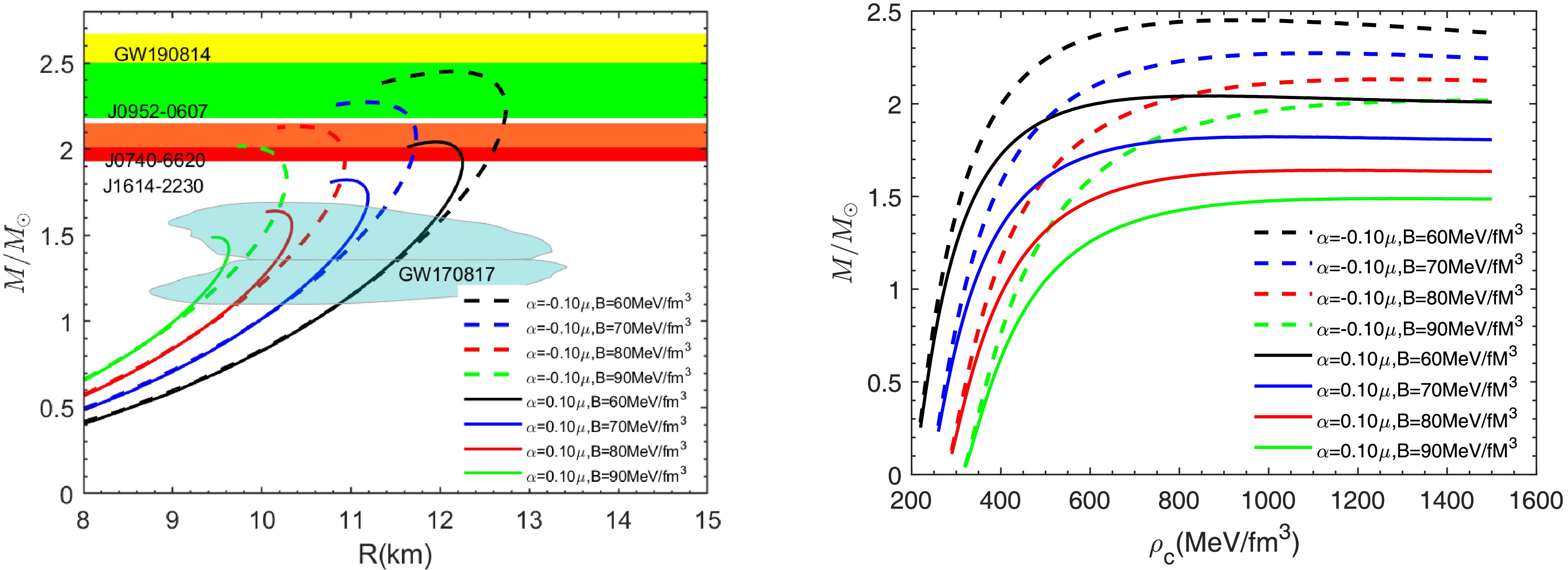
Chiral effective theory has become a powerful tool for studying the low-energy properties of QCD. In this study, we apply an extended chiral effective theory—chiral-scale effective theory—including a dilatonic scalar meson to study nuclear matter. It is found that the properties around saturation density can be well reproduced. Compared to Walecka-type models in nuclear matter studies, our approach improves the behavior of symmetry energy in describing empirical data without introducing an additional isovector scalar meson δ to make it soft at intermediate densities. Moreover, the predicted neutron star mass-radius relations fall within the constraints of GW170817, PSR J0740+6620, and PSR J0030+0451, while the maximum neutron star mass can reach\begin{document}$\gtrsim 2.5M_{\odot}$\end{document} with a pure hadronic phase. Additionally, we find that symmetry patterns of the effective theory significantly impact neutron star structures. We believe that introducing this type of theory into nuclear matter studies can contribute to a more comprehensive understanding of QCD, nuclear matter, and compact astrophysical objects.
Chiral effective theory has become a powerful tool for studying the low-energy properties of QCD. In this study, we apply an extended chiral effective theory—chiral-scale effective theory—including a dilatonic scalar meson to study nuclear matter. It is found that the properties around saturation density can be well reproduced. Compared to Walecka-type models in nuclear matter studies, our approach improves the behavior of symmetry energy in describing empirical data without introducing an additional isovector scalar meson δ to make it soft at intermediate densities. Moreover, the predicted neutron star mass-radius relations fall within the constraints of GW170817, PSR J0740+6620, and PSR J0030+0451, while the maximum neutron star mass can reach
2026, 50(2): 024109. doi: 10.1088/1674-1137/ae19dc
Abstract:
Understanding nuclear shape, behavior, and stability, as well as improving nuclear models, depends on the precise determination of ground-state nuclear charge radii. Existing experimental techniques are limited to extremely narrow regions of the nuclear chart; theoretical models, including relativistic Hartree-Bogoliubov (RHB) and Hartree-Fock-Bogoliubov (HFB), predict broad trends of nuclear properties but miss fine isotopic features such as odd-even staggering effects and shell-closure kinks. High computational time and cost are other obstacles to theoretical approaches. Although machine-learning algorithms have made significant progress in predicting charge radii, they are still hindered by a lack of balanced data and characteristics, primarily centered around\begin{document}$ A\ge40 $\end{document} and \begin{document}$ Z\ge20 $\end{document} . In the present study, we present the first application of CatBoost regression to compute nuclear charge radii. We integrated two experimental datasets with RHB-calculated point-coupling interaction (PC-X) theoretical features and extended our study range to \begin{document}$ A\ge17 $\end{document} , \begin{document}$ Z\ge8 $\end{document} . We found the best hyperparameters using Optuna’s Tree-structured Parzen Estimator (TPE) sampler with 10-fold cross-validation (CV), achieving a CV root-mean-square error (RMSE) of 0.0106 fm and hold-out RMSE of 0.0102 fm, with only three features, i.e., neutron number (N), proton number (Z), and RHB theoretical binding energy (BE), outperforming nine other ML models: random forest (RF), quantile RF (QRF), Cubist, Gaussian process regression with polynomial kernel (GPPK), multivariate adaptive regression splines (MARS), SVR, ANN, convolutional neural network (CNN), and Brussels-Skyrme-on-a-grid 3 (BSkG3). SHapley Additive exPlanations (SHAP) analysis confirms the highest global influence of BE in the model's predictions, followed by proton number and neutron number. The proposed model can accurately reproduce the \begin{document}$ N=50 $\end{document} kink and odd-even staggering effects in krypton and strontium chains. These results establish CatBoost as a robust and notably promising model for charge-radius prediction and beyond, with the potential to impact r-process modeling and future theoretical development.
Understanding nuclear shape, behavior, and stability, as well as improving nuclear models, depends on the precise determination of ground-state nuclear charge radii. Existing experimental techniques are limited to extremely narrow regions of the nuclear chart; theoretical models, including relativistic Hartree-Bogoliubov (RHB) and Hartree-Fock-Bogoliubov (HFB), predict broad trends of nuclear properties but miss fine isotopic features such as odd-even staggering effects and shell-closure kinks. High computational time and cost are other obstacles to theoretical approaches. Although machine-learning algorithms have made significant progress in predicting charge radii, they are still hindered by a lack of balanced data and characteristics, primarily centered around
2026, 50(2): 025101. doi: 10.1088/1674-1137/ae1375
Abstract:
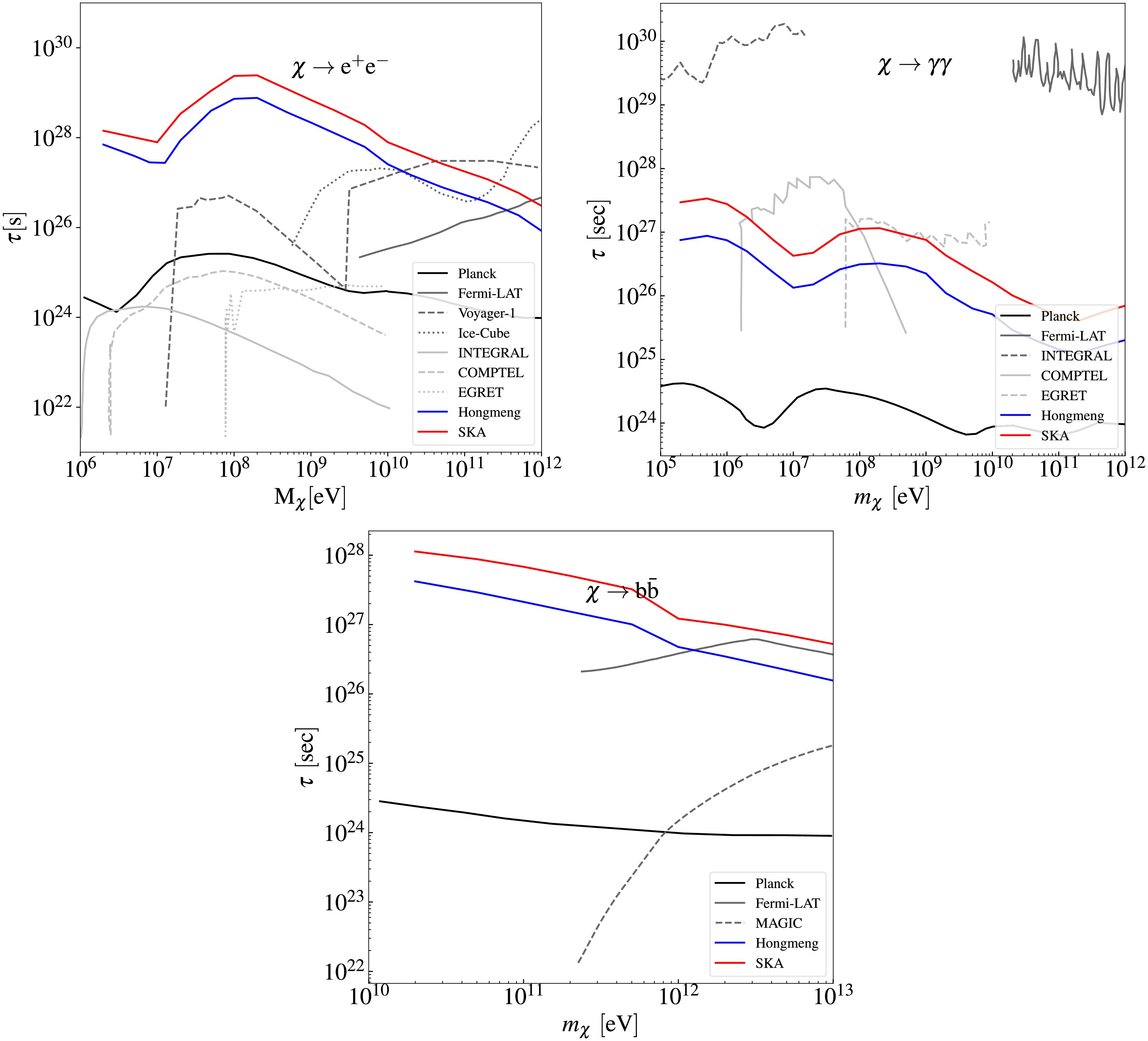
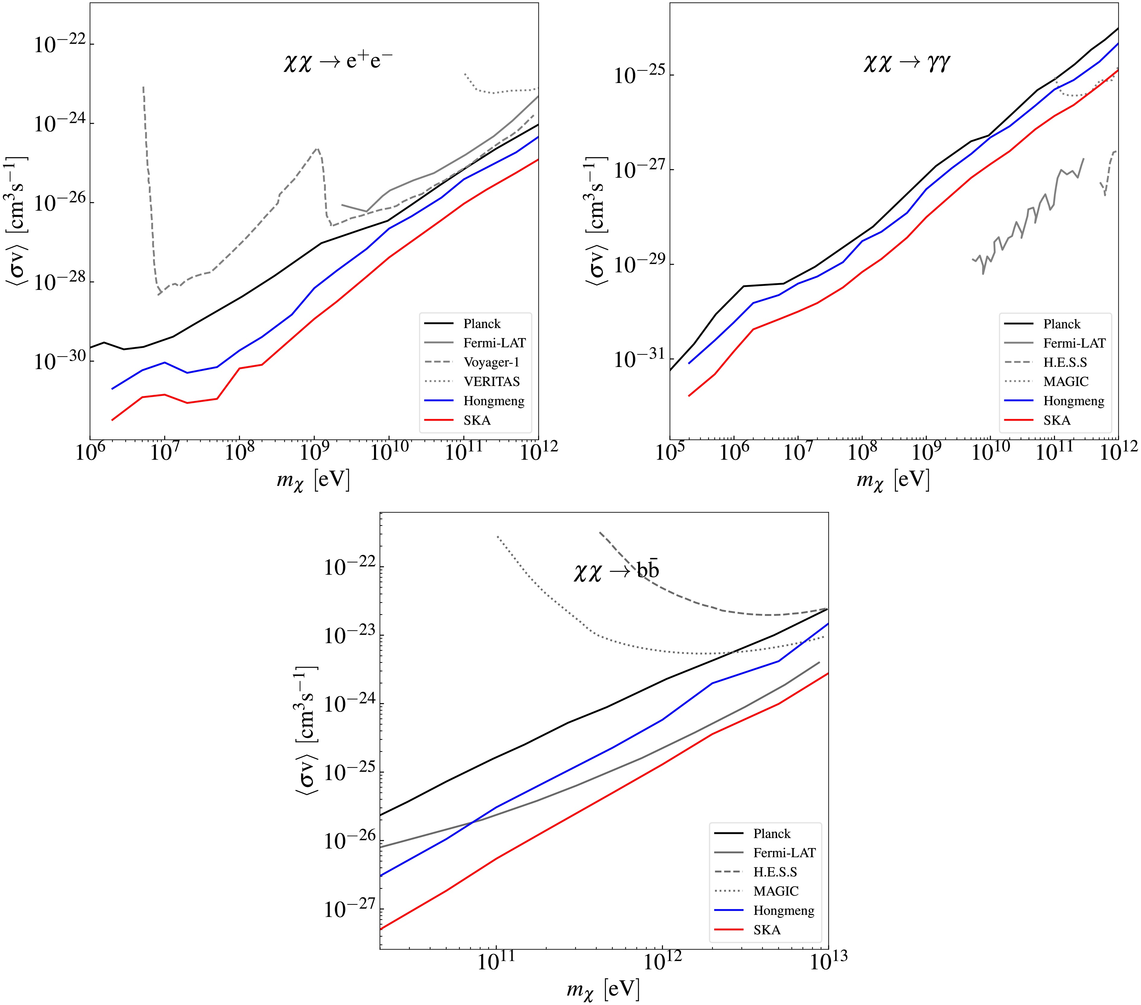
Probing the nature of dark matter (DM) remains an outstanding problem in modern cosmology. The 21 cm signal, a sensitive tracer of neutral hydrogen during the cosmic dawn, provides a unique means to investigate DM nature during this critical epoch. The annihilation and decay of DM particles, as well as Hawking radiation of primordial black holes (PBHs), can modify the thermal and ionization histories of the early universe, leaving distinctive imprints on the 21 cm power spectrum. Therefore, the redshifted 21 cm power spectrum serves as an effective tool for investigating such DM processes. In this work, we systematically assess the potential of the upcoming Square Kilometre Array (SKA) to constrain DM and PBH parameters using the 21 cm power spectrum. Assuming 10,000 h of integration time, the SKA is projected to reach sensitivities of\begin{document}$ \langle\sigma v\rangle \leq 10^{-28}\,{{\rm{cm}}}^{3}\,{{\rm{s}}}^{-1} $\end{document} and \begin{document}$ \tau\ge10^{28}\, \rm{s} $\end{document} for \begin{document}$ 10\; {{\rm{GeV}}} $\end{document} DM particles. It can also probe PBHs with masses of \begin{document}$ 10^{16}\,{{\rm{g}}} $\end{document} and abundances of \begin{document}$ f_{{{\rm{PBH}}}} \leq 10^{-6} $\end{document} . These results indicate that the SKA can place constraints on DM annihilation, decay, and PBH Hawking radiation that are up to two to three orders of magnitude stronger than current limits. Furthermore, the SKA is expected to exceed existing bounds on sub-GeV DM and probe Hawking radiation from PBHs with masses above \begin{document}$ 10^{17}\,{{\rm{g}}} $\end{document} , which are otherwise inaccessible using conventional cosmological probes. Overall, the SKA holds significant promise for advancing our understanding of both DM particles and PBHs, potentially offering new insights into the fundamental nature of DM.
Probing the nature of dark matter (DM) remains an outstanding problem in modern cosmology. The 21 cm signal, a sensitive tracer of neutral hydrogen during the cosmic dawn, provides a unique means to investigate DM nature during this critical epoch. The annihilation and decay of DM particles, as well as Hawking radiation of primordial black holes (PBHs), can modify the thermal and ionization histories of the early universe, leaving distinctive imprints on the 21 cm power spectrum. Therefore, the redshifted 21 cm power spectrum serves as an effective tool for investigating such DM processes. In this work, we systematically assess the potential of the upcoming Square Kilometre Array (SKA) to constrain DM and PBH parameters using the 21 cm power spectrum. Assuming 10,000 h of integration time, the SKA is projected to reach sensitivities of
2026, 50(2): 025102. doi: 10.1088/1674-1137/ae1442
Abstract:
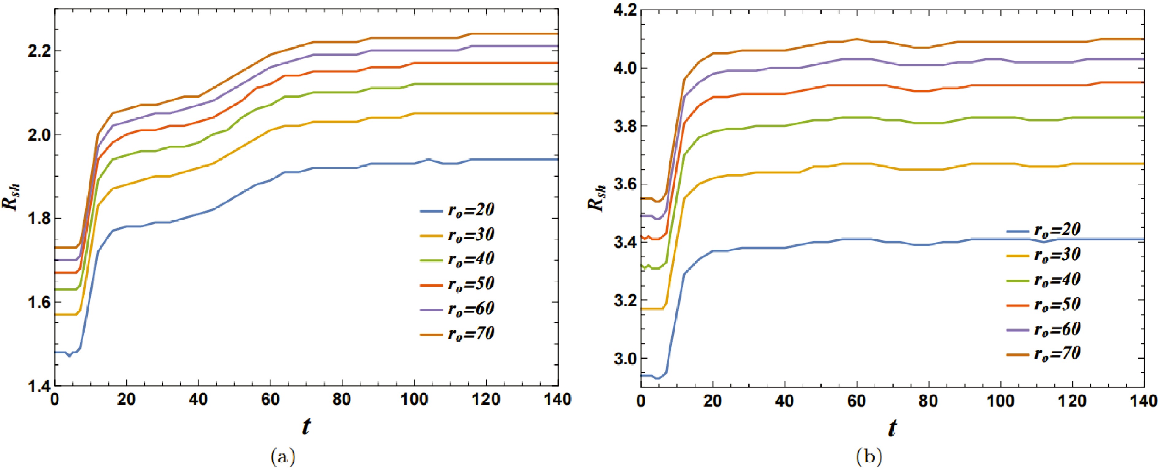
We investigate the dynamic shadows of a black hole with a self-interacting massive complex scalar hair. The complex scalar field\begin{document}$\psi$\end{document} evolves with time t, and its magnitude on the apparent horizon \begin{document}$|\psi_{\rm h}|$\end{document} starts from zero, undergoes a sharp rise followed by rapid oscillations, and eventually converges to a constant value. The variation in the photon sphere radius \begin{document}$r_{\rm ps}$\end{document} is similar to that of the magnitude \begin{document}$|\psi_{\rm h}|$\end{document} . Owing to the emergence of the complex scalar hair \begin{document}$\psi$\end{document} , the apparent horizon radius \begin{document}$r_{\rm h}$\end{document} starts increasing sharply and then smoothly approaches a stable value eventually. The shadow radius \begin{document}$R_{\rm sh}$\end{document} of the black hole with an accretion disk increases with time \begin{document}$t_{\rm o}$\end{document} at the observer's position. In the absence of an accretion disk, the shadow radius \begin{document}$R_{\rm sh}$\end{document} is larger and also increases as \begin{document}$t_{\rm o}$\end{document} increases. Furthermore, we slice the dynamical spacetime into spacelike hypersurfaces for all time points \begin{document}$t$\end{document} . For the case with an accretion disk, the variation in \begin{document}$R_{\rm sh}$\end{document} is similar to that in the apparent horizon \begin{document}$r_{\rm h}$\end{document} , because the inner edge of the accretion disk extends to the apparent horizon. In the absence of an accretion disk, the variation in \begin{document}$R_{\rm sh}$\end{document} is similar to that in the photon sphere radius \begin{document}$r_{\rm ps}$\end{document} , because the black hole shadow boundary is determined by the photon sphere. As the variation in \begin{document}$r_{\rm ps}$\end{document} is induced by \begin{document}$\psi$\end{document} , it can be stated that the variation in the size of the shadow is similarly caused by the change in \begin{document}$\psi$\end{document} . Regardless of the presence or absence of the accretion disk, the emergence of the complex scalar hair \begin{document}$\psi$\end{document} causes the radius \begin{document}$R_{\rm sh}$\end{document} of the shadow to start changing. Moreover, we investigate the time delay \begin{document}$\Delta t$\end{document} of light propagating from light sources to the observer. These findings not only enrich the theoretical models of dynamic black hole shadows but also provide a foundation for testing black hole spacetime dynamics.
We investigate the dynamic shadows of a black hole with a self-interacting massive complex scalar hair. The complex scalar field
2026, 50(2): 025103. doi: 10.1088/1674-1137/ae1202
Abstract:
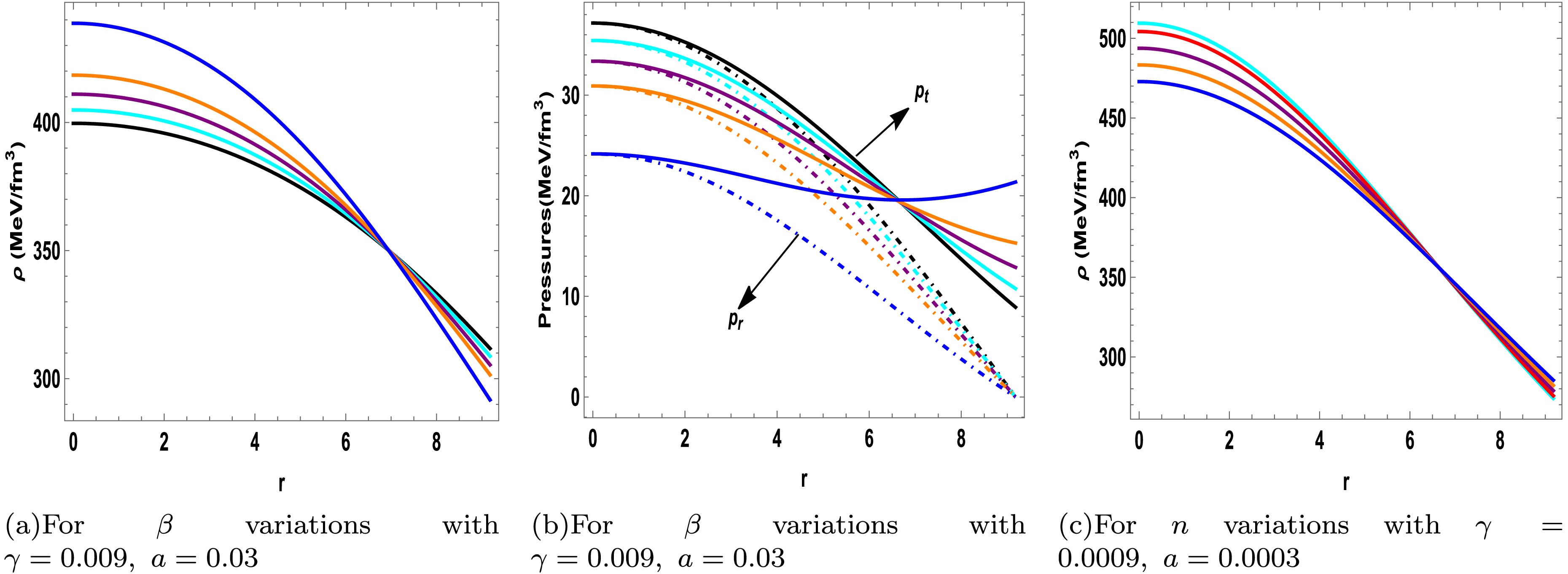
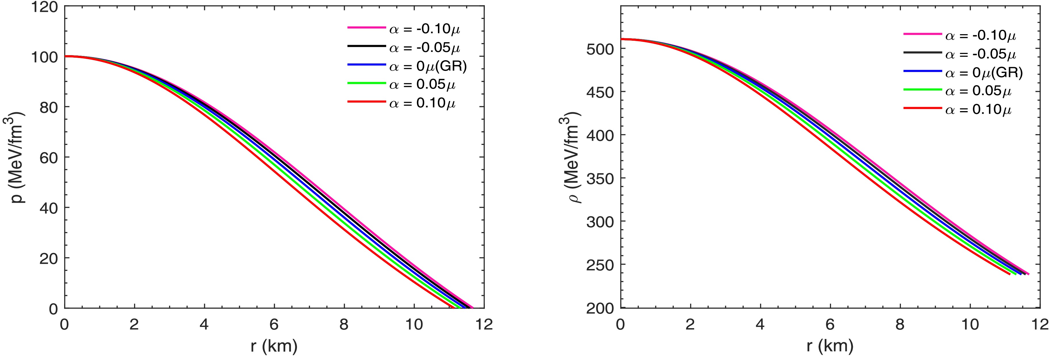
This study uses a minimal geometric deformation scheme within the\begin{document}$ f({\cal{R}},{\cal{L}}_m,T) $\end{document} gravity paradigm to model anisotropic compact stars using class-1 embedding spacetime. We introduce the deformation of the radial component of the metric tensor, which decouples the Einstein field equations and introduces an additional gravitational source. The relevant constants are evaluated using observational data from seven realistic star candidates by matching the inner region with the outer Schwarzschild line element. A comprehensive graphical analysis of three compact stars is performed to examine the impact of the coupling parameter β and deformation parameter n, revealing positive, well-behaved energy densities and pressures that satisfy the energy conditions. The study found that negative values of the coupling parameter β allow greater mass accumulation while preserving key physical characteristics, such as stability under Herrera's cracking condition and the extended Tolman-Oppenheimer-Volkoff equation. This study highlights the significance of gravitational decoupling for determining mass, redshift, and compactness and provides important insights into the internal structure of stellar bodies within this new generalized gravity framework.
This study uses a minimal geometric deformation scheme within the
2026, 50(2): 025104. doi: 10.1088/1674-1137/ae1189
Abstract:
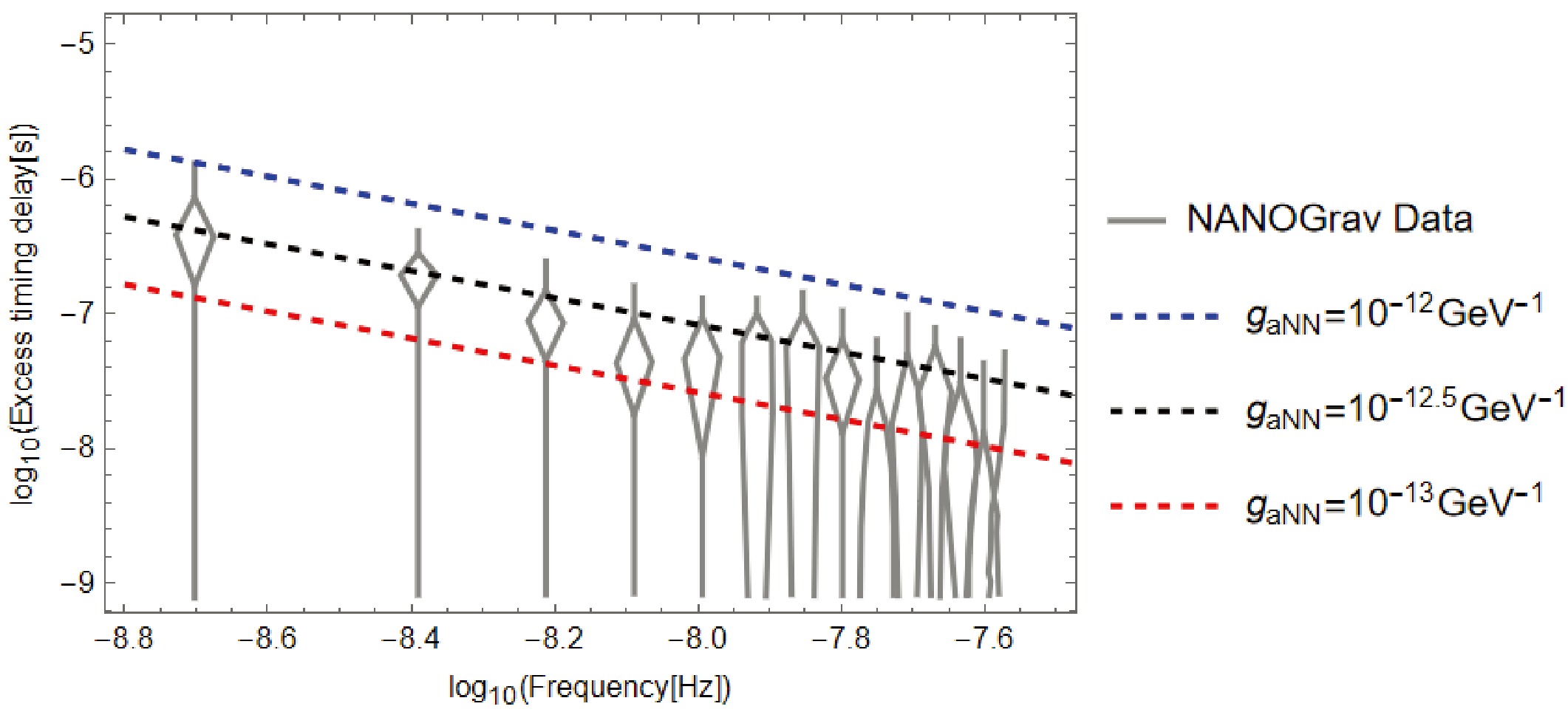
We consider the three-dimensional rotating motions of neutron stars blown by ''axion wind.'' Neutron star precession and spin can change from the magnetic moment coupling to the oscillating axion background field, which is analogous to gyroscope motions with a driving force and the laboratory nuclear magnetic resonance detections of the axion. This effect modulates the pulse arrival time of pulsar timing arrays (PTAs) through changes in the pulsars' periods. It has appeared as a signal in the timing residual and two-point correlation function of recent Nanograv and PPTA data. Thus, the current measurement of PTAs can cast constraints on the axion-nucleon, for example, coupling as\begin{document}$ g_\text{aNN} \sim 10^{-12}\; \text{GeV}^{-1} $\end{document} with an axion mass of approximately \begin{document}$ 10^{-23} $\end{document} \begin{document}$ \mathrm{eV} $\end{document} .
We consider the three-dimensional rotating motions of neutron stars blown by ''axion wind.'' Neutron star precession and spin can change from the magnetic moment coupling to the oscillating axion background field, which is analogous to gyroscope motions with a driving force and the laboratory nuclear magnetic resonance detections of the axion. This effect modulates the pulse arrival time of pulsar timing arrays (PTAs) through changes in the pulsars' periods. It has appeared as a signal in the timing residual and two-point correlation function of recent Nanograv and PPTA data. Thus, the current measurement of PTAs can cast constraints on the axion-nucleon, for example, coupling as
2026, 50(2): 025105. doi: 10.1088/1674-1137/ae167c
Abstract:
In this work, we derive upper limits on the physical energy-density fraction today of cosmological gravitational waves, denoted by\begin{document}$ \Omega_{\rm{gw}}h^{2} $\end{document} , by analyzing Planck, ACT, SPT CMB, and DESI BAO data combinations. In the standard cosmological model, we establish 95% CL upper limits of \begin{document}$ \Omega_{\rm{gw}}h^{2} < 1.0 \times 10^{-6} $\end{document} for adiabatic initial conditions and \begin{document}$ \Omega_{\rm{gw}}h^{2} < 2.7 \times 10^{-7} $\end{document} for homogeneous initial conditions, assuming a uniform prior for \begin{document}$ \Omega_{\rm gw}h^{2} $\end{document} . In light of dynamical dark energy, we obtain \begin{document}$ \Omega_{\rm{gw}}h^{2} < 7.2 \times 10^{-7} $\end{document} (adiabatic) and \begin{document}$ \Omega_{\rm{gw}}h^{2} < 2.4 \times 10^{-7} $\end{document} (homogeneous). In contrast, if a log-uniform prior is assumed for \begin{document}$ \Omega_{\rm gw}h^{2} $\end{document} , these constraints become tighter by a factor of approximately 4, suggesting the results are prior-sensitive. Furthermore, we project the sensitivity achievable with LiteBIRD and CMB Stage-IV measurements of CMB and CSST observations of BAO, forecasting 68% CL uncertainties of \begin{document}$ \sigma = 2.5 \times 10^{-7} $\end{document} (adiabatic) and \begin{document}$ \sigma = 1.0 \times 10^{-7} $\end{document} (homogeneous) for \begin{document}$ {\Omega_{\rm{gw}}h^{2}} $\end{document} . The constraints obtained in this work provide critical benchmarks for exploring the cosmological origins of gravitational waves within the frequency band \begin{document}$ f \gtrsim 10^{-15} $\end{document} Hz and potentially enable joint analysis with direct gravitational-wave detection sensitive to this regime.
In this work, we derive upper limits on the physical energy-density fraction today of cosmological gravitational waves, denoted by
2026, 50(2): 025106. doi: 10.1088/1674-1137/ae15ec
Abstract:
We investigate the physical properties of quark stars within the framework of\begin{document}$f(R,L_{m},T)$\end{document} gravity. The quark matter inside these stars is modeled as de-confined quarks and described by a color-flavor-locked equation of state. Using this equation of state, we numerically solve the modified Tolman-Oppenheimer-Volkoff (TOV) equation to obtain the mass and radius of quark stars. We analyze key properties of the quark star such as dynamical stability, compactness, and gravitational redshift. The results show that the modified gravitational theory has a significant impact on the properties of quark stars and is consistent with the observational data of massive pulsars.
We investigate the physical properties of quark stars within the framework of
2026, 50(2): 025107. doi: 10.1088/1674-1137/ae1afc
Abstract:
The swirling-Kerr black hole is a novel solution of vacuum general relativity and has an extra swirling parameter characterizing the rotation of spacetime background. We study the gravitational waves generated by extreme mass ratio inspirals (EMRIs) along eccentric orbits on the equatorial plane in this novel swirling spacetime. Our findings indicate that this swirling parameter leads to a delayed phase shift in the gravitational waveforms. Furthermore, we investigate the effects of the swirling parameter on the potential issue of waveform confusion caused by the orbital eccentricity and semi-latus rectum parameters. As the swirling parameter increases, the relative variations in the eccentricity increase, whereas the variations in the semi-latus rectum rapidly decrease. The trends related to changes in the orbital eccentricity and semi-latus rectum with the swirling parameter resemble those observed with the MOG parameter in Scalar-Tensor-Vector-Gravity (STVG) theory but with different rates of change. Furthermore, our results also reveal that the effects of the background swirling parameter on the relative variations in the eccentricity and semi-latus rectum are distinct from those of the black hole spin parameter. These results provide deeper insights into the properties of EMRI gravitational waves and background swirling.
The swirling-Kerr black hole is a novel solution of vacuum general relativity and has an extra swirling parameter characterizing the rotation of spacetime background. We study the gravitational waves generated by extreme mass ratio inspirals (EMRIs) along eccentric orbits on the equatorial plane in this novel swirling spacetime. Our findings indicate that this swirling parameter leads to a delayed phase shift in the gravitational waveforms. Furthermore, we investigate the effects of the swirling parameter on the potential issue of waveform confusion caused by the orbital eccentricity and semi-latus rectum parameters. As the swirling parameter increases, the relative variations in the eccentricity increase, whereas the variations in the semi-latus rectum rapidly decrease. The trends related to changes in the orbital eccentricity and semi-latus rectum with the swirling parameter resemble those observed with the MOG parameter in Scalar-Tensor-Vector-Gravity (STVG) theory but with different rates of change. Furthermore, our results also reveal that the effects of the background swirling parameter on the relative variations in the eccentricity and semi-latus rectum are distinct from those of the black hole spin parameter. These results provide deeper insights into the properties of EMRI gravitational waves and background swirling.
2026, 50(2): 025108. doi: 10.1088/1674-1137/ae2f50
Abstract:
We have studied the images of the Brans-Dicke-Kerr spacetime with a dimensionless Brans-Dicke parameter ω, which belongs to axisymmetric rotating solutions in the Brans-Dicke theory. Our results show that the Brans-Dicke-Kerr spacetime with the parameter\begin{document}$ \omega>-3/2 $\end{document} represents naked singularities with distinct structures. For the case with \begin{document}$ a \leqslant M $\end{document} , the shadow in the Brans-Dicke-Kerr spacetime persists, gradually becomes flatter and smaller as ω decreases. Especially when \begin{document}$ \omega<1/2 $\end{document} , the shadow in the image exhibits a very special "jellyfish" shape and possesses a self-similar fractal structure. For the case with \begin{document}$ a > M $\end{document} , a distinct gray region consisting of two separate patches appears in the image observed by equatorial observers. This indicating that the Brans-Dicke-Kerr spacetime can be distinguished from the Kerr and Kerr-de Sitter cases based on its image. These effects of the Brans-Dicke parameter could help us to reveal the intrinsic structure of the Brans-Dicke-Kerr spacetimes and provide a foundation for testing Brans-Dicke theory through future high-precision observations.
We have studied the images of the Brans-Dicke-Kerr spacetime with a dimensionless Brans-Dicke parameter ω, which belongs to axisymmetric rotating solutions in the Brans-Dicke theory. Our results show that the Brans-Dicke-Kerr spacetime with the parameter
ISSN 1674-1137 CN 11-5641/O4
Original research articles, Ietters and reviews Covering theory and experiments in the fieids of
- Particle physics
- Nuclear physics
- Particle and nuclear astrophysics
- Cosmology
Author benefits
- A SCOAP3 participating journal - free Open Access publication for qualifying articles
- Average 24 days to first decision
- Fast-track publication for selected articles
- Subscriptions at over 3000 institutions worldwide
- Free English editing on all accepted articles
News
- CPC Announces 2025 Outstanding Reviewers
- Chinese Physics C Outstanding Reviewer Award 2023
- Impact factor of Chinese Physics C is 3.6 in 2022
- 2022 CPC Outstanding Reviewer Awards
- The 2023 Chinese New Year-Office closure
Cover Story
- Cover Story (Issue 2, 2026) |The images of Brans-Dicke-Kerr type naked singularities
- Cover Story (Issue 1, 2026) A focused review of quintom cosmology: from quintom dark energy to quintom bounce
- Cover Story (Issue 11, 2025) The Earth-Magnet Assists DAMPE in Studying Cosmic Anti-Electrons
- Cover Story (Issue 9, 2025): Precise measurement of Ïc0 resonance parameters and branching fractions of Ïc0,c2âÏï¼Ïï¼/ K+K-
- Cover Story (Issue 8, 2025) A Novel Perspective on Spacetime Perturbations: Bridging Riemannian and Teleparallel Frameworks










