2026 Vol. 50, No. 3
Display Method: |
2026, 50(3): 031001. doi: 10.1088/1674-1137/ae2ebc
Abstract:
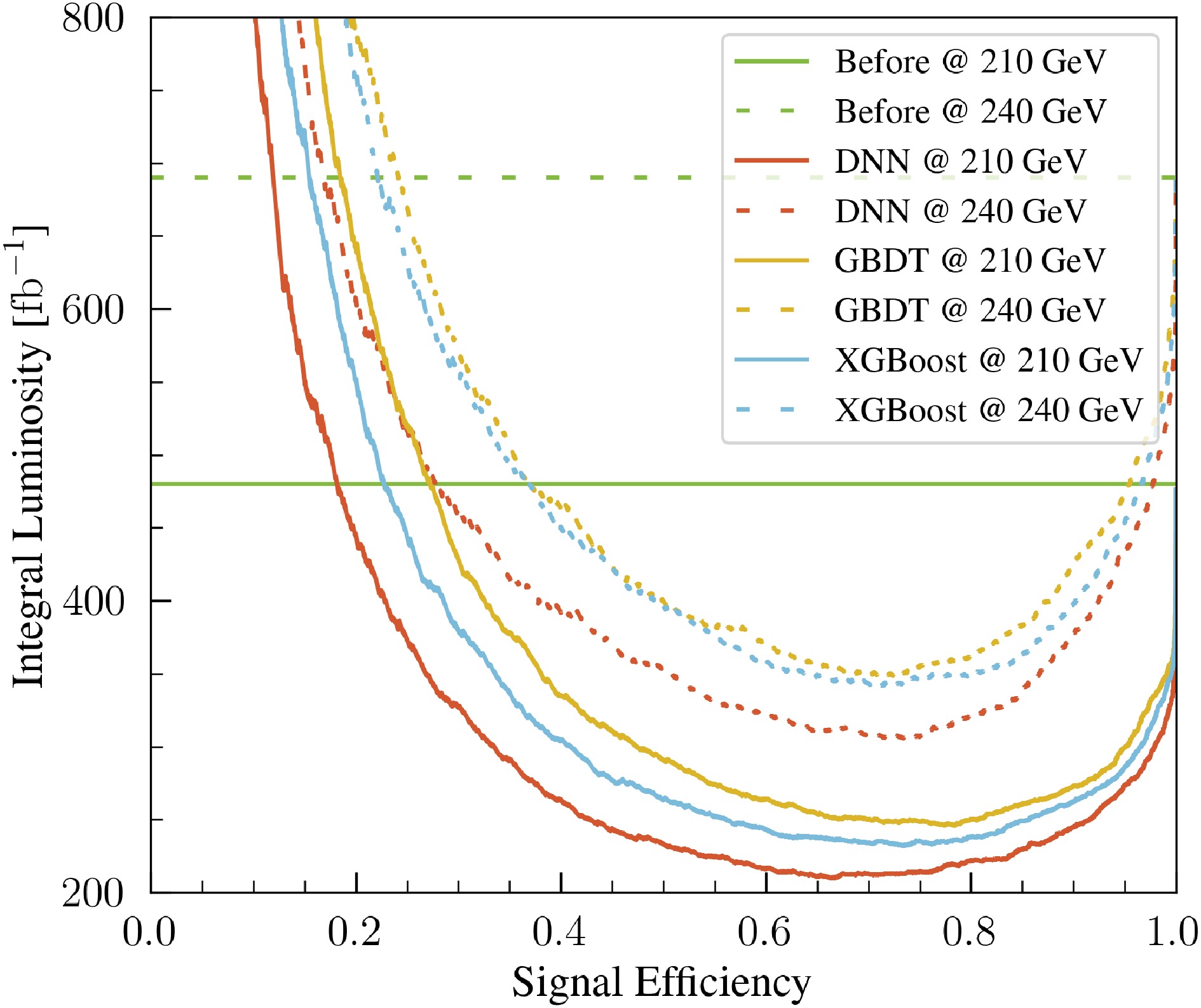
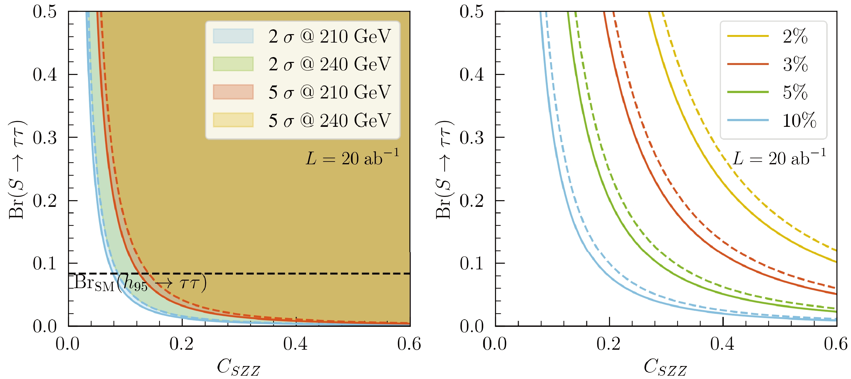
Several possible excesses around\begin{document}$ 95 $\end{document} GeV hint at an additional light scalar beyond the Standard Model. We examine the capability of the Circular Electron-Positron Collider (CEPC) to test this hypothesis in the Higgs-strahlung channel \begin{document}$ e^{+}e^{-} \to ZS $\end{document} with \begin{document}$ Z \to\mu^{+}\mu^{-} $\end{document} and \begin{document}$ S \to\tau^{+}\tau^{-} $\end{document} . A full detector simulation shows that the optimal center-of-mass energy for studying the 95 GeV light scalar is 210 GeV. A deep neural network classifier reduces the luminosity required for discovery by half. At \begin{document}$ L = 20\; \mathrm{ab}^{-1} $\end{document} , the \begin{document}$ 5\sigma $\end{document} sensitivity of the CEPC to the signal strength \begin{document}$ \mu_{\tau\tau}^{ZS} $\end{document} reaches 0.016 and 0.020 for \begin{document}$ \sqrt{s} = 210 $\end{document} GeV and 240 GeV, respectively. The corresponding thresholds for a 5% precision measurement are \begin{document}$ \mu_{\tau\tau}^{ZS} \gt 0.10 $\end{document} and \begin{document}$ >0.12 $\end{document} . At \begin{document}$ \sqrt{s}=210 $\end{document} GeV (240 GeV), the \begin{document}$ 5\sigma $\end{document} coverage of all N2HDM-Flipped samples with \begin{document}$ \chi^2_{h_{95}}<7.82 $\end{document} requires \begin{document}$ L=800\ \mathrm{fb}^{-1} $\end{document} (1.22 \begin{document}$ \mathrm{ab}^{-1} $\end{document} ). These results establish a 210 GeV run, augmented by machine-learning selection, as the most efficient strategy to confirm or refute the 95 GeV excess at future lepton colliders.
Several possible excesses around
2026, 50(3): 033001. doi: 10.1088/1674-1137/ae2f4e
Abstract:
The Circular Electron Positron Collider (CEPC) is designed to operate at key center-of-mass energies: 91.2 GeV as a Z factory for precision Z boson studies, ≈ 160 GeV at the threshold for W boson pair production, and 240 GeV as a Higgs factory for copious Higgs boson production. It can be upgraded to 360 GeV (CEPC-360 GeV) for enabling top quark-antiquark (\begin{document}$ t\bar{t}$\end{document} ) pair production. Beyond enabling high-precision measurements of the Standard Model (SM), CEPC-360 GeV is uniquely positioned to perform searches for new physics beyond the SM (BSM), serving as a valuable complement to hadron colliders. This paper presents a sensitivity study on the direct pair production of staus and smuons at the CEPC with \begin{document}$ \sqrt{s}$\end{document} = 360 GeV, conducted via full Monte Carlo simulation. Under the assumptions of 1.0 ab−1 integrated luminosity and a flat 5% systematic uncertainty, CEPC-360 GeV could potentially discover the combined production of left-handed and right-handed staus up to a mass of 170 GeV (if they exist) or up to 169 for pure left-handed staus and 162 GeV for pure right-handed staus. For direct smuon production, the discovery potential reaches up to 178 GeV under the same conditions.
The Circular Electron Positron Collider (CEPC) is designed to operate at key center-of-mass energies: 91.2 GeV as a Z factory for precision Z boson studies, ≈ 160 GeV at the threshold for W boson pair production, and 240 GeV as a Higgs factory for copious Higgs boson production. It can be upgraded to 360 GeV (CEPC-360 GeV) for enabling top quark-antiquark (
2026, 50(3): 033101. doi: 10.1088/1674-1137/ae18aa
Abstract:
Inspired by the observation of the\begin{document}${\eta}_{t}$\end{document} meson at the LHC and the promising prospect of the \begin{document}${\eta}_{t}$\end{document} meson available at the approaching HL-LHC, branching ratios for the \begin{document}${\eta}_{t}$\end{document} \begin{document}${\to}$\end{document} \begin{document}$f\bar{f}$\end{document} , \begin{document}$gg$\end{document} , \begin{document}${\gamma}{\gamma}$\end{document} , \begin{document}$W^{+}W^{-}$\end{document} , \begin{document}$Z^{0}Z^{0}$\end{document} , \begin{document}$Z^{0}{\gamma}$\end{document} , and \begin{document}$Z^{0}H$\end{document} decays are roughly estimated. It is found that tens of opposite-charge dilepton events from the \begin{document}${\eta}_{t}$\end{document} \begin{document}${\to}$\end{document} \begin{document}$W^{+}W^{-}$\end{document} decay and hundreds of events from the \begin{document}${\eta}_{t}$\end{document} \begin{document}${\to}$\end{document} \begin{document}$Z^{0}H$\end{document} \begin{document}${\to}$\end{document} \begin{document}${\ell}^{+}{\ell}^{-}H$\end{document} decay using the single \begin{document}$Z^{0}$\end{document} boson tagging method are expected to be accessible. This estimation provides a reference for future experimental study on the \begin{document}${\eta}_{t}$\end{document} meson.
Inspired by the observation of the
2026, 50(3): 033102. doi: 10.1088/1674-1137/ae1afd
Abstract:
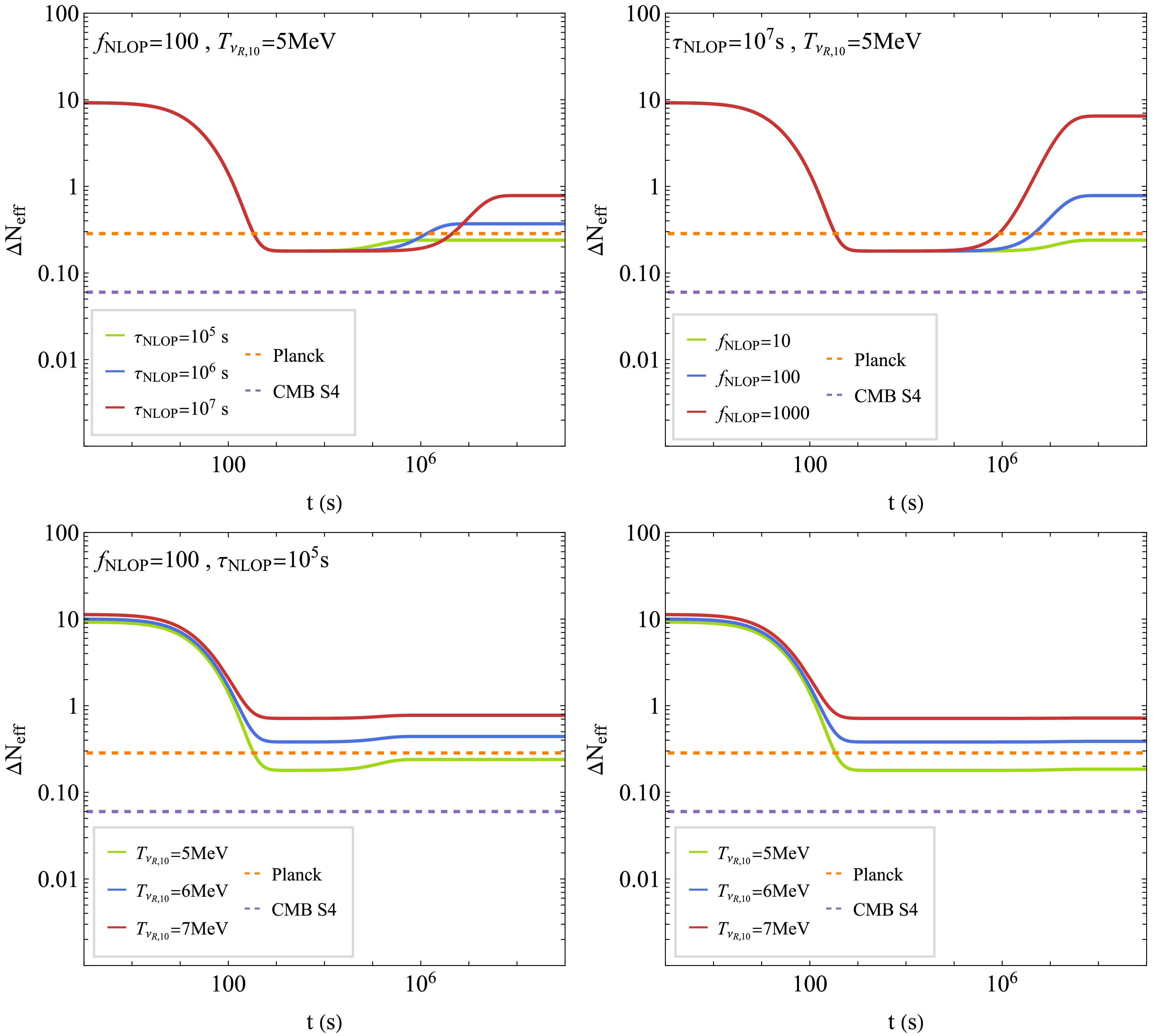
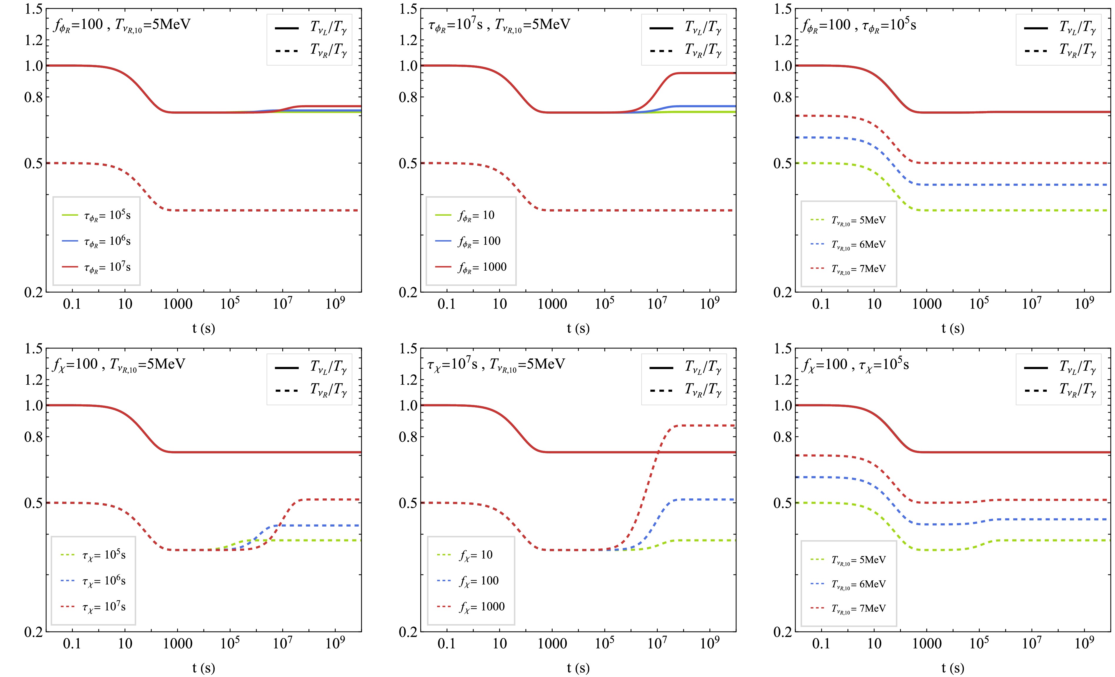
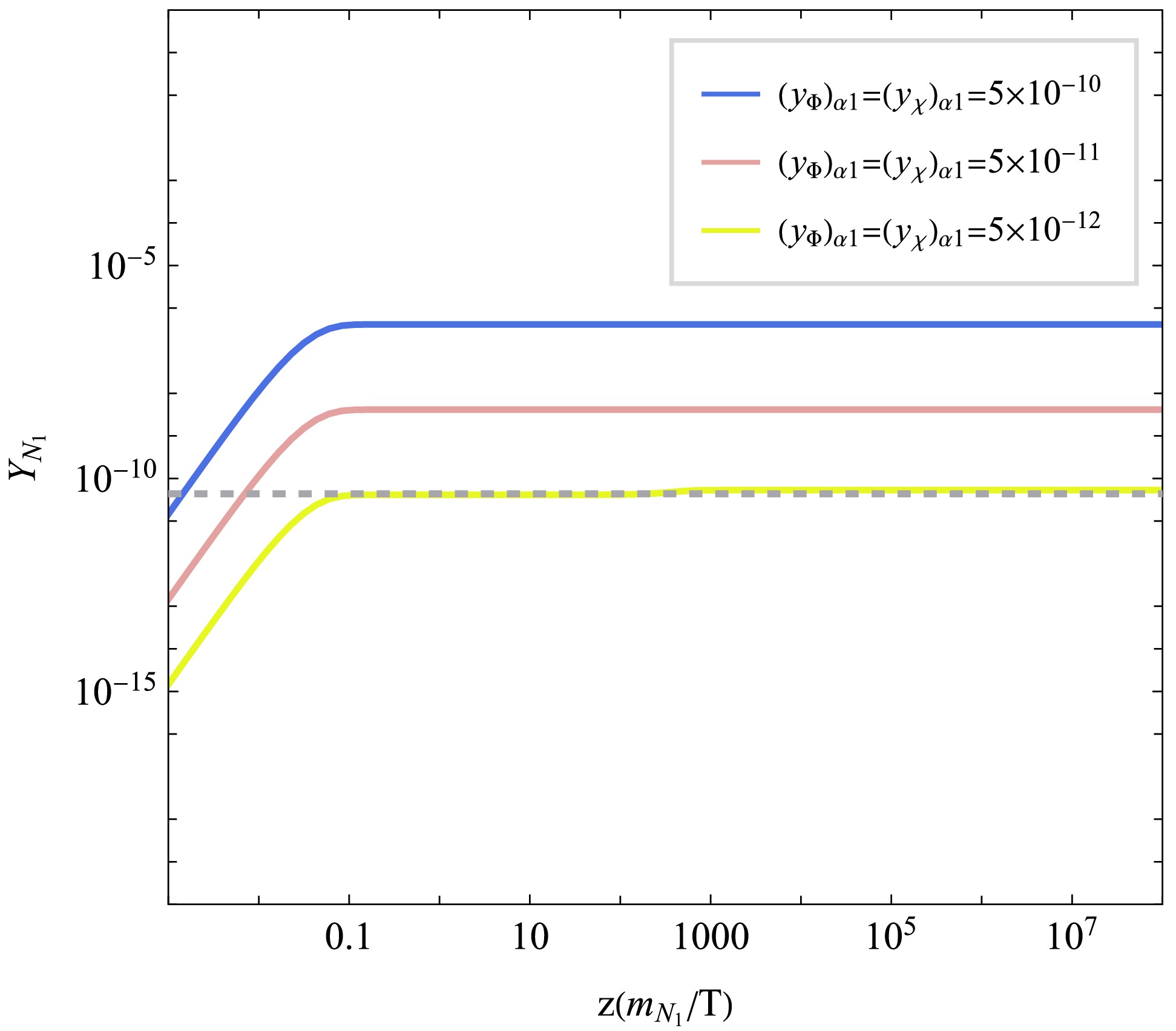
We study a feebly interacting massive particle realization of the Scotogenic Dirac Model in which the lightest neutral fermion\begin{document}$ N_1 $\end{document} serves as a dark matter (DM) candidate produced via the freeze-in or super-WIMP mechanism. The model generates Dirac neutrino masses at one loop, resulting in a rank-2 mass matrix that predicts one almost massless neutrino. We analyze the DM relic density for various next-to-lightest odd particles (NLOPs), finding that coannihilation effects and enhanced annihilation channels are crucial for achieving the correct thermal freeze-out abundance of the NLOP. We provide a detailed analysis of the model's implications for the effective number of relativistic species, \begin{document}$ \Delta N_{{\rm{eff}}} $\end{document} , which receives contributions from both a thermal bath of right-handed neutrinos and non-thermal energy injection due to late NLOP decays. Through an extensive parameter scan, we identify the viable parameter space for all NLOP candidates that satisfies constraints from the DM relic density, lepton flavor violation, Big Bang nucleosynthesis, cosmic microwave background, and \begin{document}$ \Delta N_{{\rm{eff}}} $\end{document} .
We study a feebly interacting massive particle realization of the Scotogenic Dirac Model in which the lightest neutral fermion
2026, 50(3): 033103. doi: 10.1088/1674-1137/ae25c9
Abstract:
In this study, we systematically investigate baryon number violating (BNV) nucleon decays into an axion-like particle (ALP) within a low energy effective field theory extended with an ALP, which is referred to as aLEFT. Unlike previous studies in the literature, we consider contributions to nucleon decays from a complete set of dimension-eight BNV aLEFT operators involving light u, d, and s quarks. We perform the chiral irreducible representation (irrep) decomposition of these interactions under the QCD chiral group\begin{document}${S U}(3)_{\mathtt{L}}\times {S U}(3)_{\mathtt{R}}$\end{document} and match them onto the recently developed chiral framework to obtain nucleon-level effective interactions among the ALP, octet baryons, and octet pseudoscalar mesons. Within this framework, we derive general expressions for the decay widths of nucleon two- and three-body decays involving an ALP. Subsequently, we analyze momentum distributions for three-body modes and find that operators belonging to the newly identified chiral irreps \begin{document}${\bf{6}}_{{\mathtt{L}}({\mathtt{R}})}\times {\bf{3}}_{{\mathtt{R}}({\mathtt{L}})}$\end{document} exhibit markedly different behavior compared to that in the usual irreps \begin{document}${\bf{8}}_{{\mathtt{L}}({\mathtt{R}})}\times \pmb{1}_{{\mathtt{R}}({\mathtt{L}})}$\end{document} and \begin{document}${\bf{3}}_{{\mathtt{L}}({\mathtt{R}})}\times \bar{{\bf{3}}}_{{\mathtt{R}}({\mathtt{L}})}$\end{document} . In addition, we reanalyze experimental data collected by Super-Kamiokande and establish bounds on the inverse decay widths of these new modes by properly accounting for experimental efficiencies and Cherenkov threshold effects because of the lack of direct constraints on those exotic decay modes. Our recasting constraints are several orders of magnitude more stringent than inclusive bounds used in the literature. Based on these improved bounds, we set conservative limits on associated effective scales across a broad range of ALP mass and predict stringent bounds on certain neutron and hyperon decays involving an ALP.
In this study, we systematically investigate baryon number violating (BNV) nucleon decays into an axion-like particle (ALP) within a low energy effective field theory extended with an ALP, which is referred to as aLEFT. Unlike previous studies in the literature, we consider contributions to nucleon decays from a complete set of dimension-eight BNV aLEFT operators involving light u, d, and s quarks. We perform the chiral irreducible representation (irrep) decomposition of these interactions under the QCD chiral group
2026, 50(3): 033104. doi: 10.1088/1674-1137/ae1de4
Abstract:
We investigate the discovery prospects of a leptophilic gauge boson\begin{document}$ Z_\ell $\end{document} at future \begin{document}$ e^+e^- $\end{document} colliders, focusing on a comparative study of the Circular Electron–Positron Collider (CEPC) and the International Linear Collider (ILC). Such a state naturally arises from an additional \begin{document}$ U(1)'_\ell $\end{document} gauge symmetry, under which quarks remain neutral while all leptons carry a universal charge, motivated by neutrino oscillations and scenarios of physics beyond the Standard Model. As a clean benchmark, we study the process \begin{document}$ e^+e^- \to \mu^+\mu^- $\end{document} , including realistic effects of initial-state radiation and beamstrahlung. Our results indicate that the CEPC, with its very high luminosity at \begin{document}$ \sqrt{s}=240 $\end{document} GeV, can probe couplings down to \begin{document}$ g_\ell \approx 10^{-3} $\end{document} for \begin{document}$ Z_\ell $\end{document} masses up to about 220 GeV. The ILC extends the sensitivity to heavier states in the multi-hundred GeV range through its higher \begin{document}$ \sqrt{s} $\end{document} stages. These findings demonstrate the strong complementarity of circular and linear colliders in exploring purely leptophilic interactions.
We investigate the discovery prospects of a leptophilic gauge boson
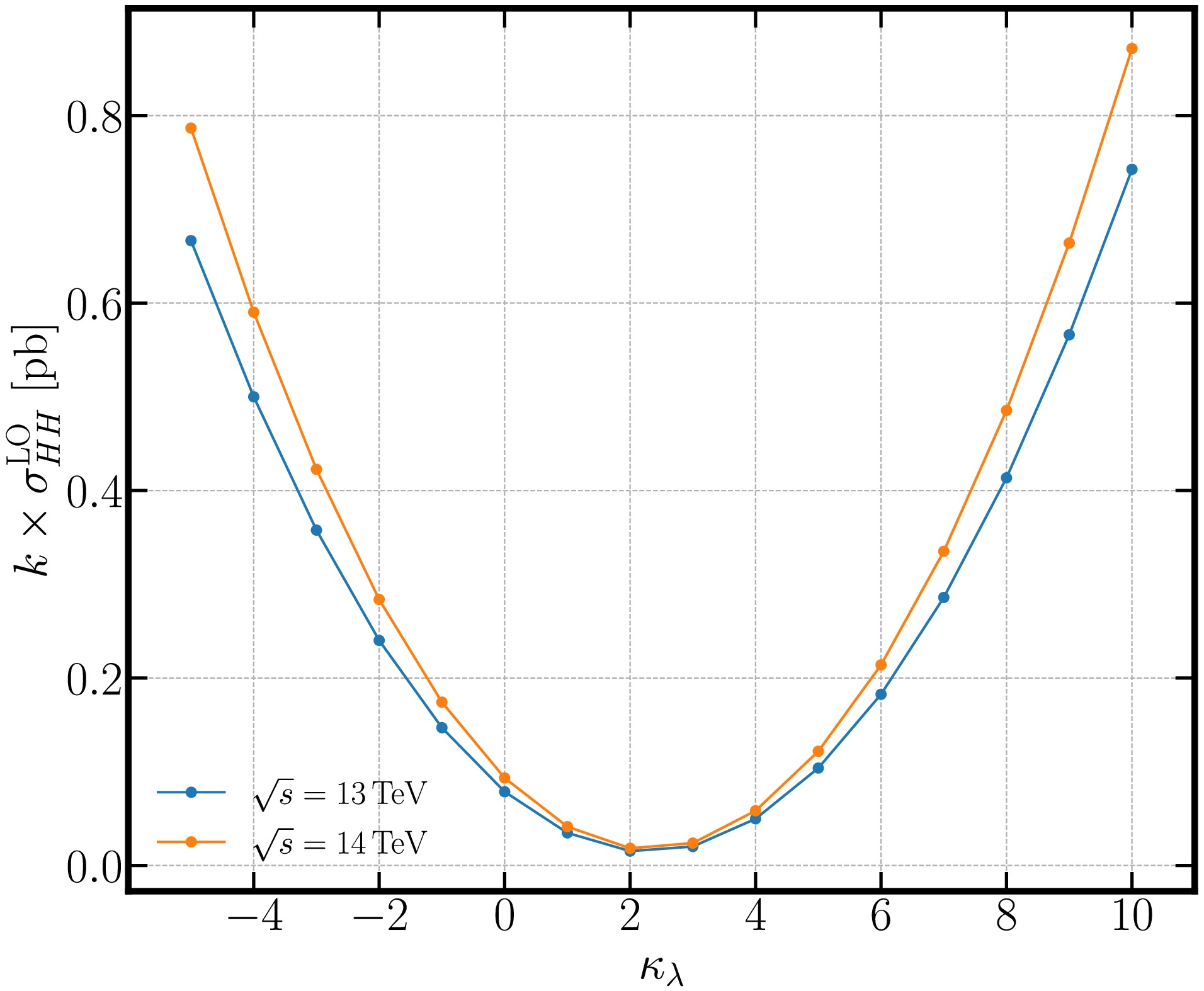
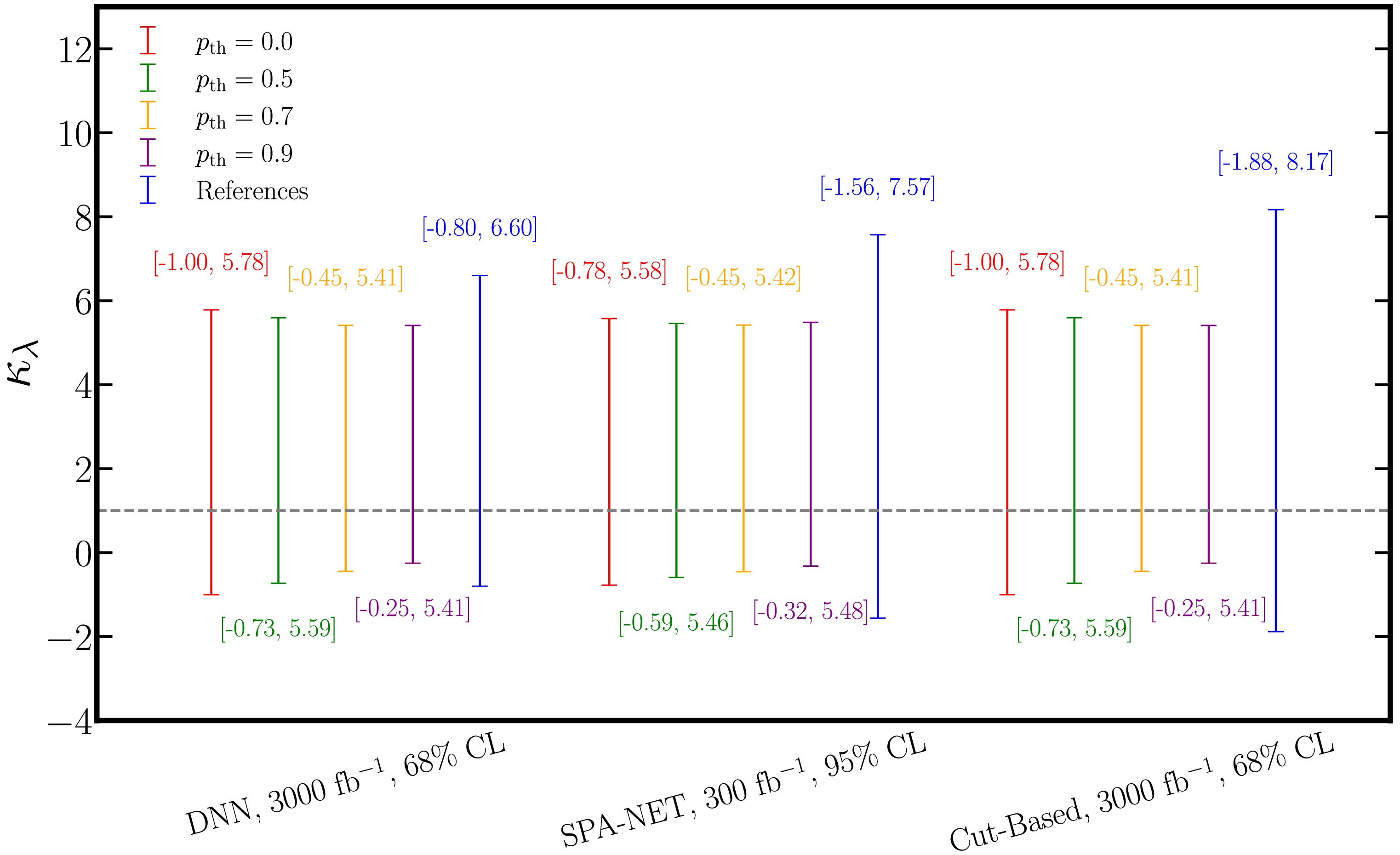
2026, 50(3): 033105. doi: 10.1088/1674-1137/ae2454
Abstract:
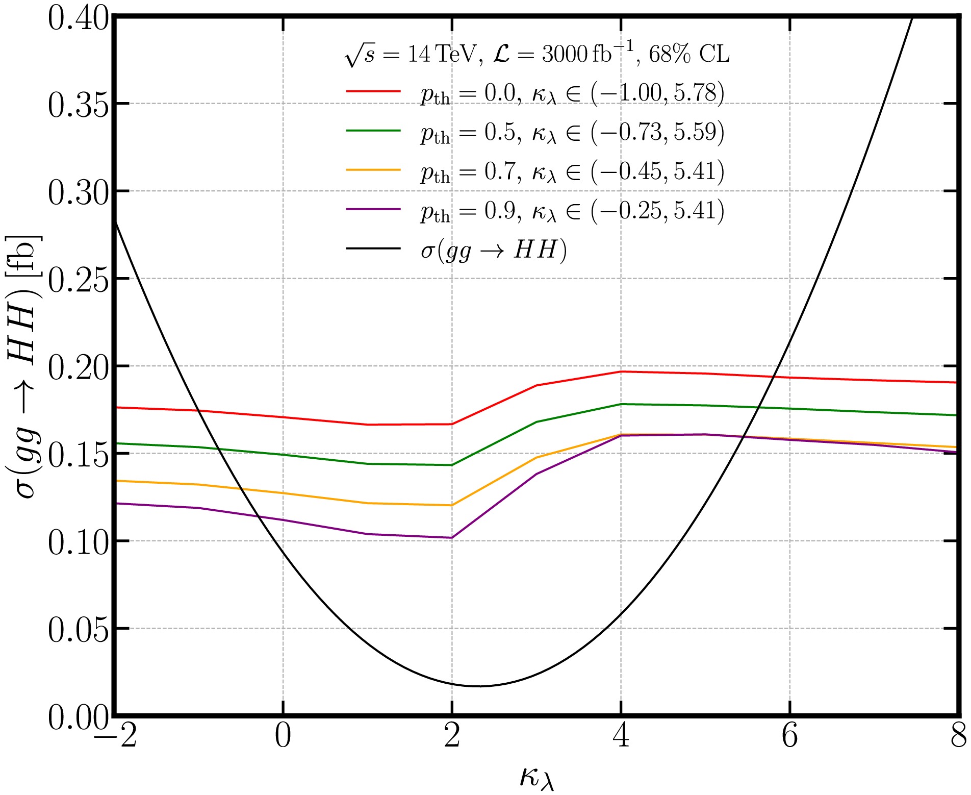
Higgs self-coupling is crucial to understand the structure of the scalar potential and the mechanism of electroweak symmetry breaking. In this study, we utilize a deep neural network based on a particle Transformer model that relies on an attention mechanism to comprehensively analyze the measured trilinear Higgs self-coupling through Higgs pair production with subsequent decay into four b-quarks (\begin{document}$ HH\to b\bar{b}b\bar{b} $\end{document} ) at the LHC. The model processes the full event-level information as input and bypasses explicit jet pairing. It also serves as an event classifier. At HL-LHC, our approach constrains \begin{document}$ \kappa_\lambda $\end{document} to \begin{document}$ (-0.25,\,5.41) $\end{document} at 68% CL, and thus achieved an improvement of ~44% in precision over conventional cut-based analyses. The results of a comparison against alternative machine learning architectures demonstrate the outstanding performance of the Transformer-based model owing to its ability to capture correlations in high-dimensional collision data with the help of the attention mechanism. These findings highlight the potential of attention-based networks and end-to-end event classifiers in collider phenomenology.
Higgs self-coupling is crucial to understand the structure of the scalar potential and the mechanism of electroweak symmetry breaking. In this study, we utilize a deep neural network based on a particle Transformer model that relies on an attention mechanism to comprehensively analyze the measured trilinear Higgs self-coupling through Higgs pair production with subsequent decay into four b-quarks (
2026, 50(3): 033106. doi: 10.1088/1674-1137/ae28e9
Abstract:
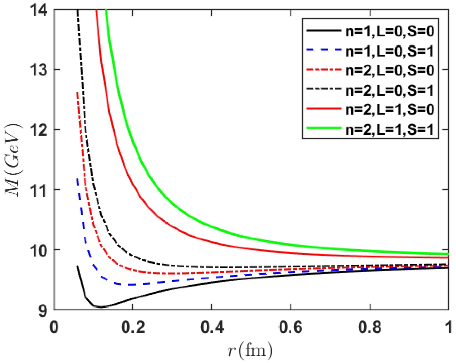
Quantum chromodynamics (QCD) is a fundamental theory describing quark interactions. Thus far, various quark models based on QCD have been widely used to study the properties of hadrons, including their structures and mass spectra. However, unlike quantum electrodynamics and Bohr's model of the hydrogen atom, a direct classical analogy is lacking for hadronic structures. This paper presents a classical interpretation of the nonrelativistic quark potential model, providing a more intuitive and visualizable description of strong interactions through the quantitative formulation of color charge and color flux. In addition, we establish the relationship between meson mass and its structural radius in the nonrelativistic framework and estimate key parameters of our model using available data from\begin{document}$ \eta_b(1S) $\end{document} and \begin{document}$ \Upsilon(1S) $\end{document} . Subsequently, we extend this relationship to a broader range of excited meson states and obtain their structural radii, which show good agreement with the root mean square radius or charge radius predicted by QCD calculations.
Quantum chromodynamics (QCD) is a fundamental theory describing quark interactions. Thus far, various quark models based on QCD have been widely used to study the properties of hadrons, including their structures and mass spectra. However, unlike quantum electrodynamics and Bohr's model of the hydrogen atom, a direct classical analogy is lacking for hadronic structures. This paper presents a classical interpretation of the nonrelativistic quark potential model, providing a more intuitive and visualizable description of strong interactions through the quantitative formulation of color charge and color flux. In addition, we establish the relationship between meson mass and its structural radius in the nonrelativistic framework and estimate key parameters of our model using available data from
2026, 50(3): 033107. doi: 10.1088/1674-1137/ae2b5b
Abstract:
Neutrino oscillation experiments have confirmed that neutrinos are massive particles and that lepton flavors are mixed. To explain the observed lepton mass spectra and flavor mixing patterns, flavor symmetry plays a crucial and unique role. In this paper, we propose a useful symmetry-breaking scheme by applying\begin{document}$S_{3L} \times S_{3R} \rightarrow $\end{document} \begin{document}$ S_{2L} \times S_{2R} \rightarrow \emptyset$\end{document} within both charged-lepton and neutrino sectors at the mass-matrix level. For the three distinct residual subgroups \begin{document}$S_{2L}^{(23)} \times S_{2R}^{(23)}$\end{document} , \begin{document}$S_{2L}^{(13)} \times S_{2R}^{(13)}$\end{document} , and \begin{document}$S_{2L}^{(12)} \times S_{2R}^{(12)}$\end{document} that are under consideration, we systematically analyze the various parameterizations of the lepton mass matrices. It is shown that all three scenarios are in good agreement with current neutrino oscillation data. Notably, within the latest best-fit values of neutrino oscillation parameters, the predicted values of the Dirac CP-violating phase δ are \begin{document}$294.6^\circ$\end{document} , \begin{document}$302.3^\circ$\end{document} , and \begin{document}$287.0^\circ$\end{document} , respectively. To further assess the viability of the model, a comprehensive numerical analysis is performed by utilizing neutrino oscillation parameters at the \begin{document}$3\sigma$\end{document} level. It is found that the allowed ranges of δ are \begin{document}$281.2^\circ \rightarrow 338.7^\circ$\end{document} , \begin{document}$287.0^\circ \rightarrow 342.2^\circ$\end{document} , and \begin{document}$282.7^\circ \rightarrow 297.0^\circ$\end{document} , which all fall within its \begin{document}$3\sigma$\end{document} range. These results indicate that the proposed symmetry-breaking scheme \begin{document}$S_{3L} \times S_{3R} \rightarrow S_{2L} \times S_{2R} \rightarrow \emptyset$\end{document} can naturally explain the realistic lepton mass hierarchy and mixing pattern, thereby providing valuable theoretical perspectives for future research.
Neutrino oscillation experiments have confirmed that neutrinos are massive particles and that lepton flavors are mixed. To explain the observed lepton mass spectra and flavor mixing patterns, flavor symmetry plays a crucial and unique role. In this paper, we propose a useful symmetry-breaking scheme by applying
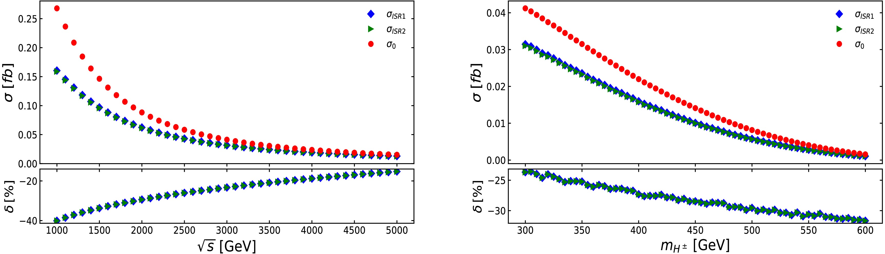
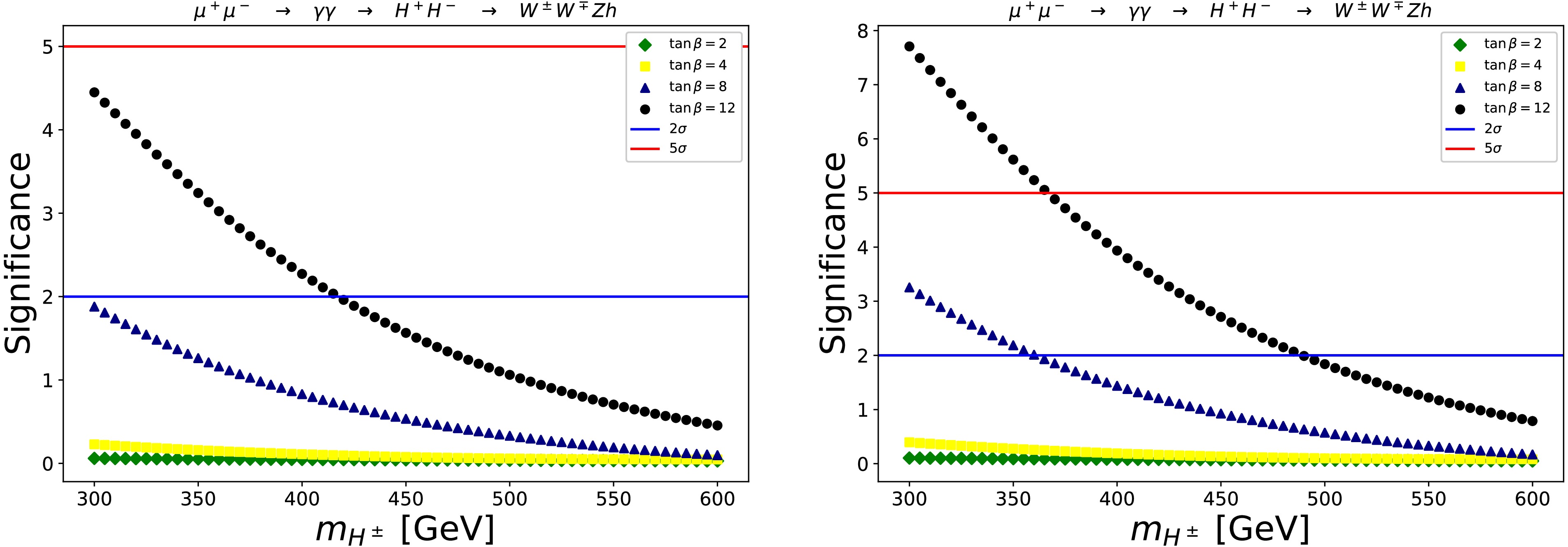
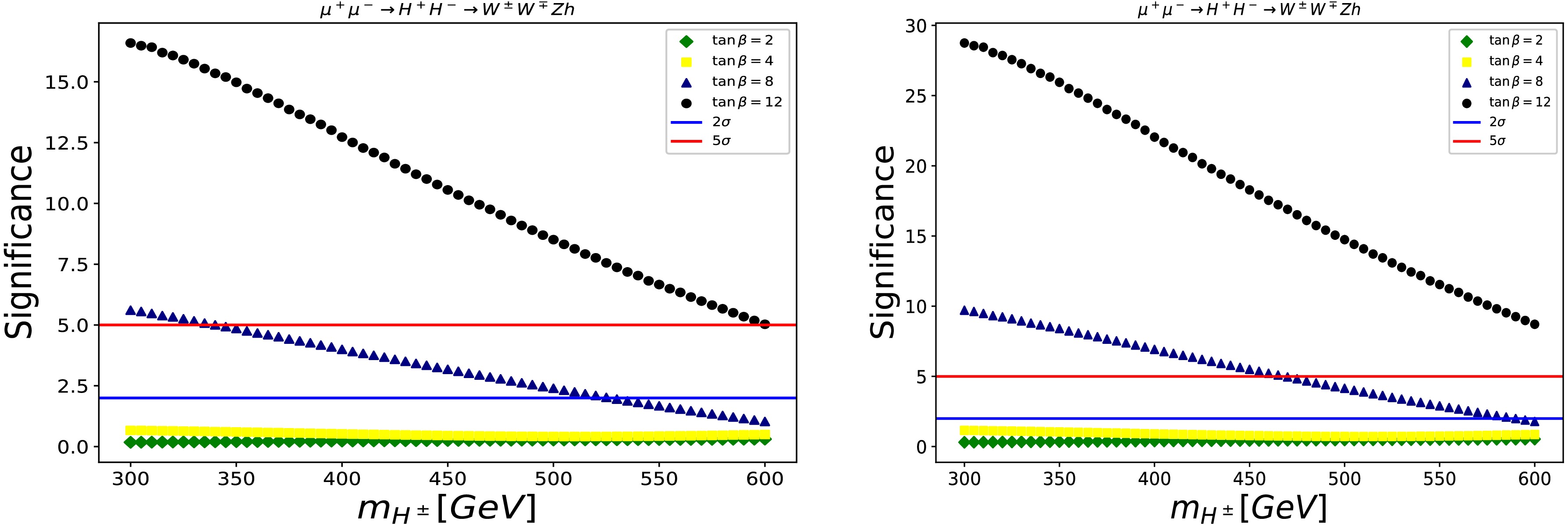
One-loop expressions for ${H^\pm \rightarrow W^\pm Z} $ and their implications at muon-TeV colliders
2026, 50(3): 033108. doi: 10.1088/1674-1137/ae2660
Abstract:
One-loop contributions for the decay process\begin{document}$ H^{\pm} \rightarrow W^{\pm}Z $\end{document} within the Two-Higgs-Doublet Model (THDM) are computed in the general \begin{document}$ {\cal{R}}_{\xi} $\end{document} gauge, and its phenomenological applications at future muon–TeV colliders are investigated. Analytic results are confirmed by several consistency tests, including those of ξ-independence, renormalization-scale stability, and the ultraviolet finiteness of the one-loop amplitude. We first perform an updated parameter scan of the Type-X THDM in phenomenological studies. The production of charged Higgs boson pairs at future muon–TeV colliders is then investigated through two processes: \begin{document}$ \mu^+\mu^- \rightarrow H^+H^- \rightarrow W^{\pm}W^{\mp}Zh $\end{document} and \begin{document}$ \mu^+\mu^- \rightarrow \gamma\gamma \rightarrow H^+H^- \rightarrow W^{\pm}W^{\mp}Zh $\end{document} . Both signal events and their significance are evaluated considering the corresponding Standard Model backgrounds. We find that the signal significances can exceed \begin{document}$ 5\sigma $\end{document} at several benchmark points in the viable parameter space of the Type-X THDM.
One-loop contributions for the decay process
2026, 50(3): 033109. doi: 10.1088/1674-1137/ae28ea
Abstract:
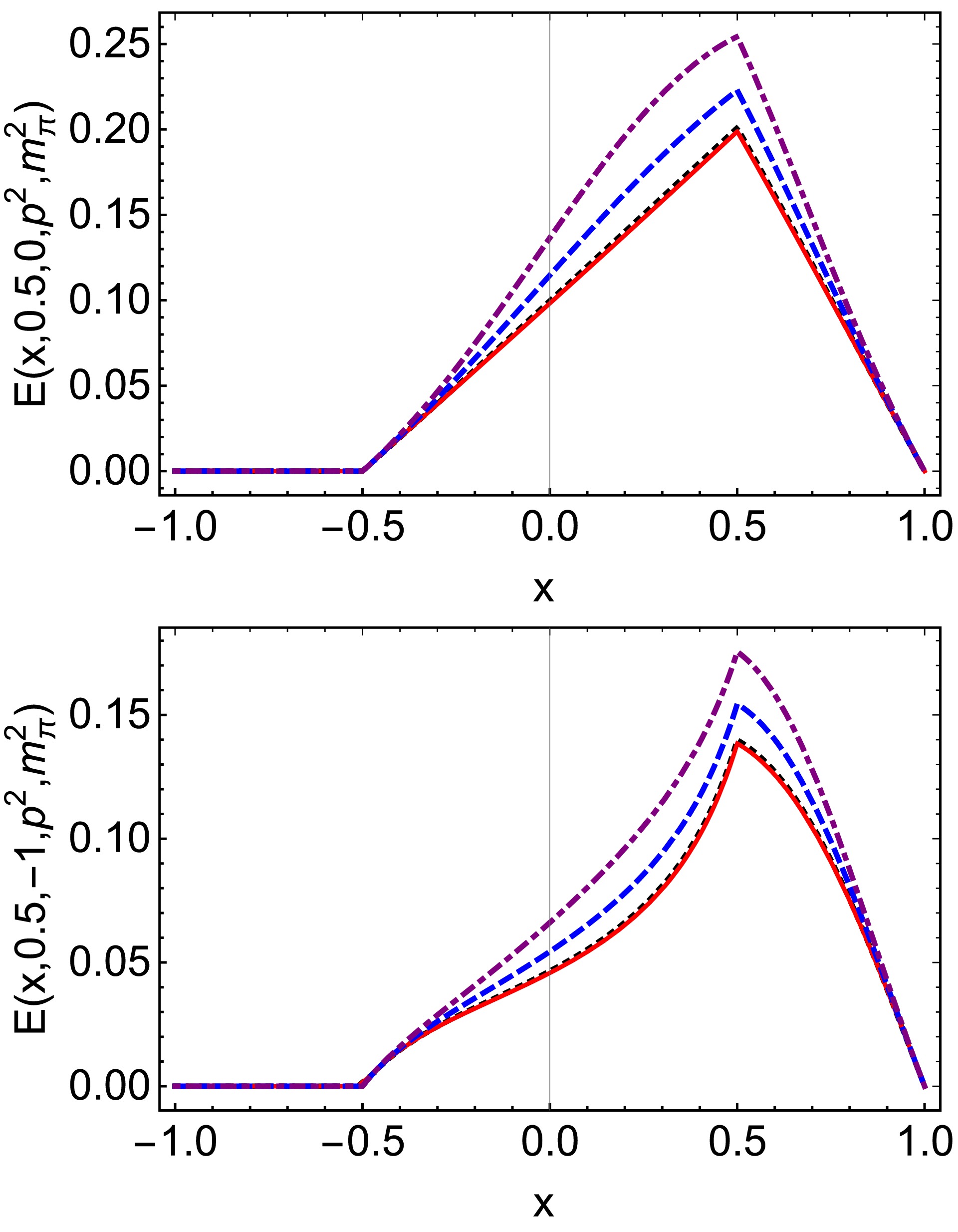
Off-shell characteristics of pion generalized parton distributions (GPDs) and transverse momentum dependent parton distributions (TMDs) are examined within the framework of the Nambu–Jona-Lasinio model. In our previous studies, we separately investigated the properties of on-shell pion GPDs and light-front wave functions. Comparing the differences between on-shell and off-shell pion GPDs is particularly intriguing becuase it enables us to explore the effects associated with off-shellness. The absence of crossing symmetry causes the moments of GPDs to incorporate odd powers of the skewness parameter, resulting in new off-shell form factors. Through our calculations, we derived correction functions that account for modifications in pion GPDs attributed to off-shell effects. Unlike their on-shell counterparts, certain properties break down in the off-shell scenario; for example, symmetry properties and polynomiality conditions may no longer hold. In addition, we evaluate off-shell TMDs and compare them with their on-shell equivalents while also investigating their dependence on\begin{document}$ {\boldsymbol{k}}_{\perp} $\end{document} .
Off-shell characteristics of pion generalized parton distributions (GPDs) and transverse momentum dependent parton distributions (TMDs) are examined within the framework of the Nambu–Jona-Lasinio model. In our previous studies, we separately investigated the properties of on-shell pion GPDs and light-front wave functions. Comparing the differences between on-shell and off-shell pion GPDs is particularly intriguing becuase it enables us to explore the effects associated with off-shellness. The absence of crossing symmetry causes the moments of GPDs to incorporate odd powers of the skewness parameter, resulting in new off-shell form factors. Through our calculations, we derived correction functions that account for modifications in pion GPDs attributed to off-shell effects. Unlike their on-shell counterparts, certain properties break down in the off-shell scenario; for example, symmetry properties and polynomiality conditions may no longer hold. In addition, we evaluate off-shell TMDs and compare them with their on-shell equivalents while also investigating their dependence on
2026, 50(3): 033110. doi: 10.1088/1674-1137/ae2d24
Abstract:
Heavy Majorana neutrinos (N) are predicted in many models of physics beyond the Standard Model. In this work, we explore the production and detection prospects of TeV-scale heavy neutrinos (\begin{document}$ m_N \gtrsim 1 $\end{document} TeV) at a future 3 TeV Compact Linear Collider (CLIC). We focus on two distinct decay topologies: (i) \begin{document}$ N \to \ell^\pm W^\mp $\end{document} with hadronic W boson decay, leading to a final state with one charged lepton and a hadronic fat jet \begin{document}$ J_W $\end{document} ; and (ii) \begin{document}$ N \to \nu h $\end{document} with subsequent Higgs decay \begin{document}$ h \to b\bar{b} $\end{document} , yielding a Higgs-tagged fat jet \begin{document}$ J_h $\end{document} and \begin{document}$\not{E}_T$\end{document} . Based on comprehensive detector-level simulations and background analysis, we present both \begin{document}$ 2\sigma $\end{document} exclusion limits and \begin{document}$ 5\sigma $\end{document} discovery reaches in the \begin{document}$ m_N $\end{document} –\begin{document}$ |V_{\ell N}|^2 $\end{document} plane. We further extract 95% confidence level upper limits on the mixing parameter \begin{document}$ |V_{\ell N}|^2 $\end{document} and perform a detailed comparison with existing constraints from direct searches at future colliders and indirect global fits. Our findings demonstrate that a 3 TeV CLIC can improve the sensitivity to \begin{document}$ |V_{\ell N}|^2 $\end{document} by about two orders of magnitude compared with the projected reaches of future hadron colliders while remaining competitive with other CLIC search channels.
Heavy Majorana neutrinos (N) are predicted in many models of physics beyond the Standard Model. In this work, we explore the production and detection prospects of TeV-scale heavy neutrinos (
2026, 50(3): 033111. doi: 10.1088/1674-1137/ae2b5c
Abstract:
An analytical and numerical systematic study of the neutrino mass matrix with one texture zero is presented in a basis where the charged leptons are diagonal. Under the assumption that neutrinos are Dirac particles, the analysis is conducted in detail for the normal and inverted hierarchy mass spectra. Our study is performed without any approximations, first analytically and then numerically, using current neutrino oscillation data. The analysis constrains the parameter space in such a way that, among the six possible one-texture-zero patterns, only four are favored in the normal hierarchy and one in the inverted hierarchy by current oscillation data at the\begin{document}$3 \sigma$\end{document} level. Phenomenological implications for the lepton CP-violating phase and neutrino masses are also explored.
An analytical and numerical systematic study of the neutrino mass matrix with one texture zero is presented in a basis where the charged leptons are diagonal. Under the assumption that neutrinos are Dirac particles, the analysis is conducted in detail for the normal and inverted hierarchy mass spectra. Our study is performed without any approximations, first analytically and then numerically, using current neutrino oscillation data. The analysis constrains the parameter space in such a way that, among the six possible one-texture-zero patterns, only four are favored in the normal hierarchy and one in the inverted hierarchy by current oscillation data at the
2026, 50(3): 034001. doi: 10.1088/1674-1137/ae2455
Abstract:
Experimental and theoretical investigation of the fragmentation reaction in the Fermi-energy domain is currently of particular importance for not only nuclear physics but also some interdisciplinary fields. In the present study, neutron-rich 14C and 16C ion beams at 27.5 MeV/nucleon were used to bombard carbon and polyethylene (CD2)n targets. Energy and angular distributions of the produced fragments were measured. Background events originating from the carbon content in (CD2)n target were efficiently excluded using an extended E-P plot method. Experimental results are systematically analyzed using the HIPSE-SIMON dynamic model. The comparison reveals that, for the carbon target, the HIPSE-SIMON calculation overestimates the yields of the beam-velocity component for fragments near the projectile and also the energy phase space for fragments far away from the projectile, suggesting that fine tuning of the overall interaction profile adopted in the model is required. In contrast, for reactions with the deuteron target, the model calculation can reasonably reproduce the experimental data. The implication of the fragmentation mechanism on the validity of the invariant mass method, as frequently used to reconstruct the clustering resonant structures in light nuclei, is also discussed.
Experimental and theoretical investigation of the fragmentation reaction in the Fermi-energy domain is currently of particular importance for not only nuclear physics but also some interdisciplinary fields. In the present study, neutron-rich 14C and 16C ion beams at 27.5 MeV/nucleon were used to bombard carbon and polyethylene (CD2)n targets. Energy and angular distributions of the produced fragments were measured. Background events originating from the carbon content in (CD2)n target were efficiently excluded using an extended E-P plot method. Experimental results are systematically analyzed using the HIPSE-SIMON dynamic model. The comparison reveals that, for the carbon target, the HIPSE-SIMON calculation overestimates the yields of the beam-velocity component for fragments near the projectile and also the energy phase space for fragments far away from the projectile, suggesting that fine tuning of the overall interaction profile adopted in the model is required. In contrast, for reactions with the deuteron target, the model calculation can reasonably reproduce the experimental data. The implication of the fragmentation mechanism on the validity of the invariant mass method, as frequently used to reconstruct the clustering resonant structures in light nuclei, is also discussed.
2026, 50(3): 034002. doi: 10.1088/1674-1137/ae2263
Abstract:
This paper presents the development and validation of China’s first benchmark measurement system for neutron leakage time-of-flight (TOF) spectra using a 252Cf spontaneous fission source and spherical polyethylene sample. EJ-309 and CLYC scintillation detectors were used for neutron detection, and a shadow cone was employed for background suppression. Notably, the SiC detector was, for the first time on this platform, applied as the start-time signal generator in TOF spectrum measurement. The TOF spectrum covering the energy range of 0.15−8.00 MeV was measured, and the results were systematically compared with evaluated data from four major nuclear libraries: ENDF/B-VIII.1, JEFF-3.3, JENDL-5, and CENDL-3.2. The comparison revealed strong agreement across the full spectrum, with calculated to experimental (C/E) deviations remaining within 5% in the high-energy region and within 13% at low energies. These results verify the system’s stability and suitability for integral experiments. The established benchmark platform provides a strong technical foundation for future neutron nuclear data validation, particularly in shielding applications and the improvement of fission-spectrum nuclear databases.
This paper presents the development and validation of China’s first benchmark measurement system for neutron leakage time-of-flight (TOF) spectra using a 252Cf spontaneous fission source and spherical polyethylene sample. EJ-309 and CLYC scintillation detectors were used for neutron detection, and a shadow cone was employed for background suppression. Notably, the SiC detector was, for the first time on this platform, applied as the start-time signal generator in TOF spectrum measurement. The TOF spectrum covering the energy range of 0.15−8.00 MeV was measured, and the results were systematically compared with evaluated data from four major nuclear libraries: ENDF/B-VIII.1, JEFF-3.3, JENDL-5, and CENDL-3.2. The comparison revealed strong agreement across the full spectrum, with calculated to experimental (C/E) deviations remaining within 5% in the high-energy region and within 13% at low energies. These results verify the system’s stability and suitability for integral experiments. The established benchmark platform provides a strong technical foundation for future neutron nuclear data validation, particularly in shielding applications and the improvement of fission-spectrum nuclear databases.
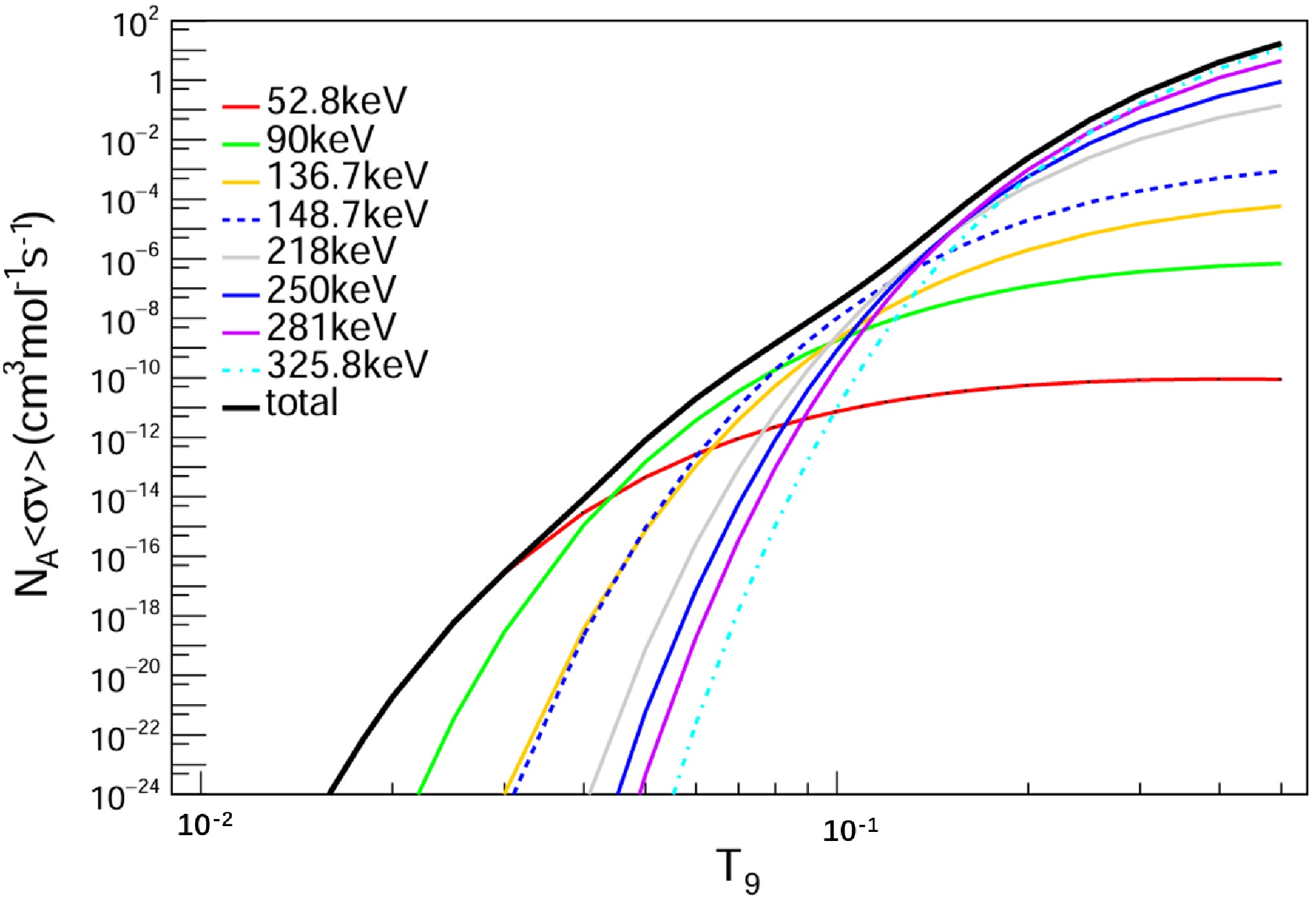
2026, 50(3): 034003. doi: 10.1088/1674-1137/ae1f06
Abstract:
The 26Mg\begin{document}$(p,\,\gamma)$\end{document} 27Al reaction, as part of the Mg-Al cycle, is closely related to the abundance ratio of 26Al to 27Al in stars. It also has a direct connection to the Mg-Al anti-correlation observed in globular clusters (GCs). Its reaction rate is determined by multiple known and unknown low-energy resonances. In this work, we measured the angular distributions of the proton transfer reaction 26Mg(7Li, 6He)27Al populating three levels at excitation energies from 8.324 MeV to 8.597 MeV using the HI-13 tandem accelerator and a high-precision magnetic spectrograph. Proton spectroscopic factors were extracted from the angular distributions corresponding to these three states, and the resonance strengths contributing to the reaction rate were updated. At the same time, the latest calculated reaction rate shows that the result for the 52.8 keV resonance significantly increases the total reaction rate at \begin{document}$T_{9}<0.03$\end{document} .
The 26Mg
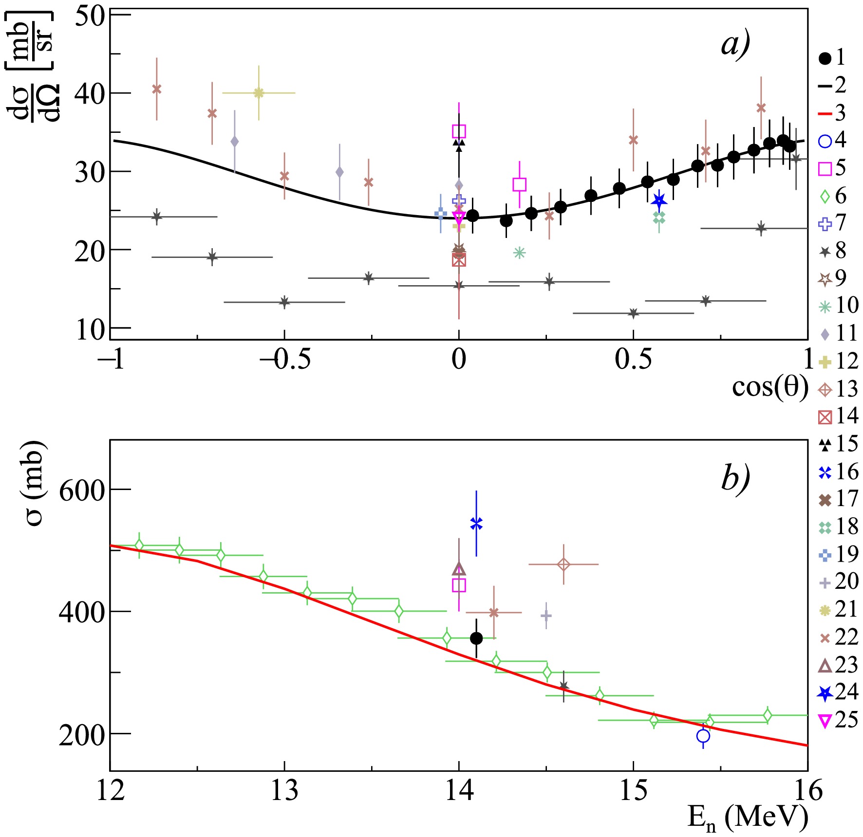
2026, 50(3): 034004. doi: 10.1088/1674-1137/ae1cb1
Abstract:
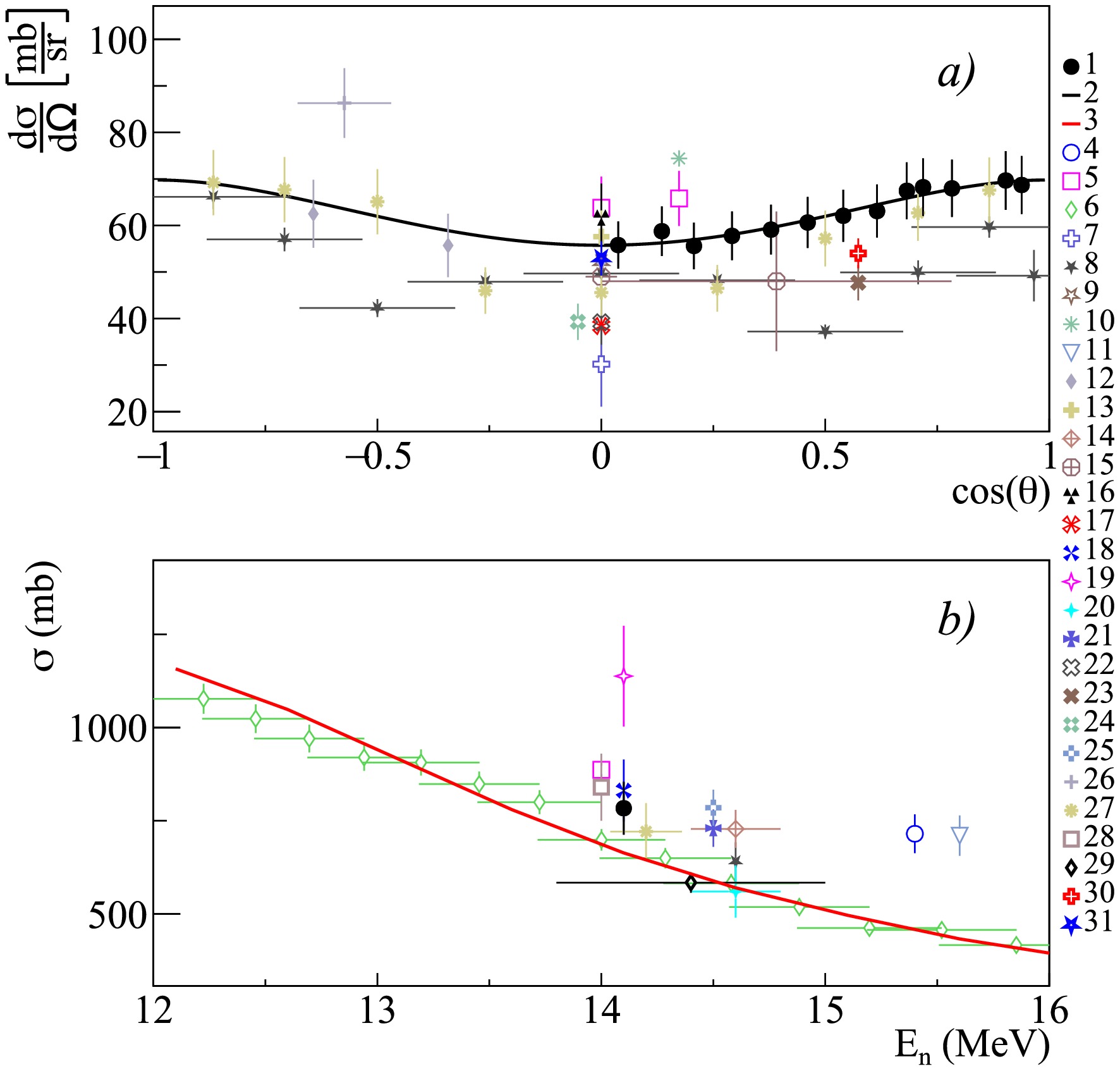
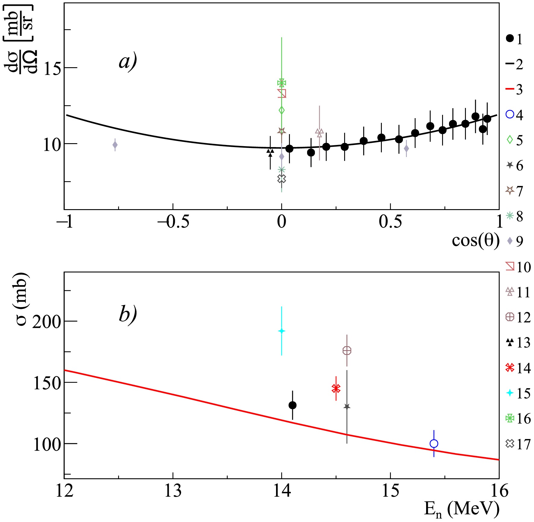
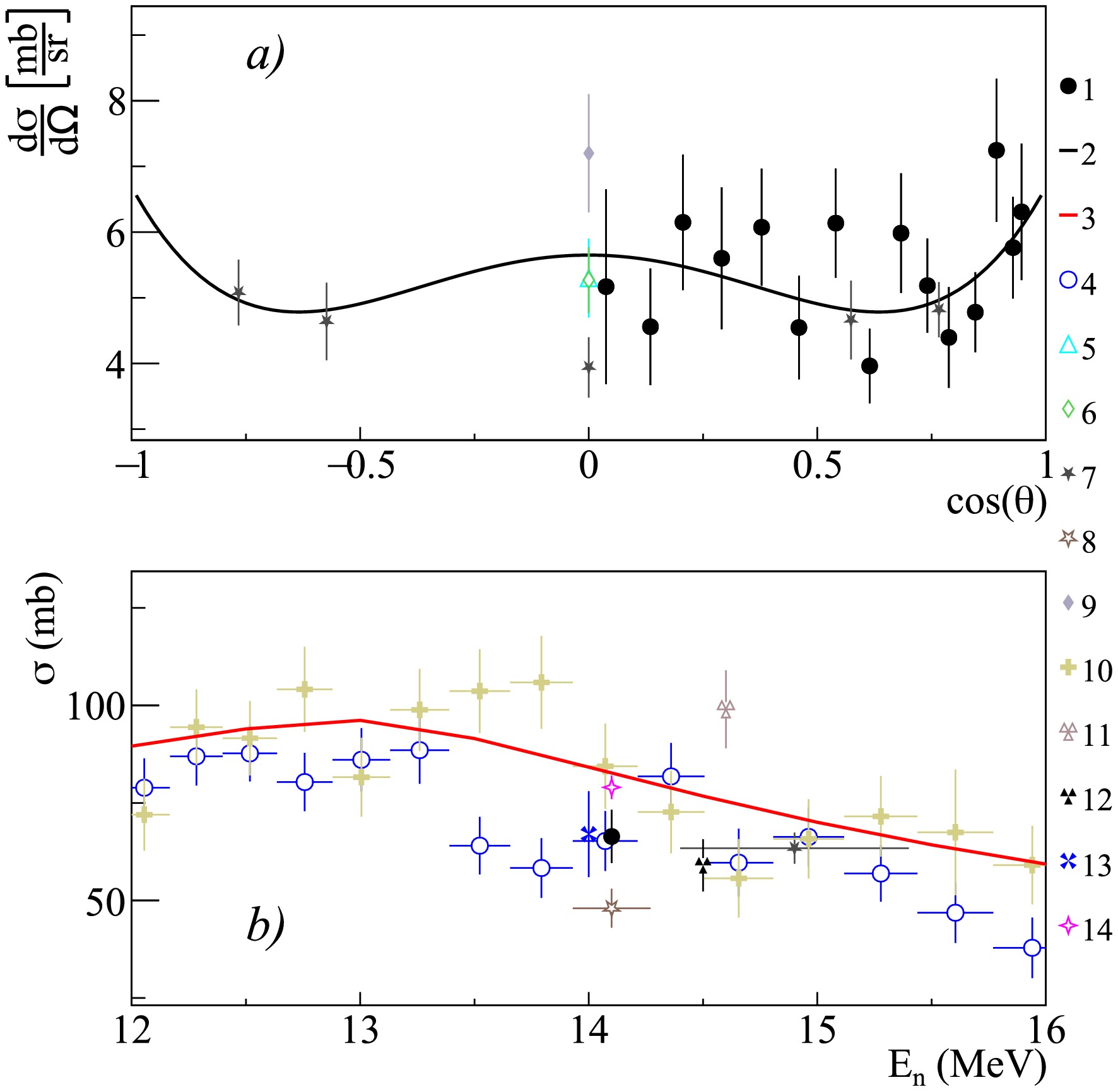
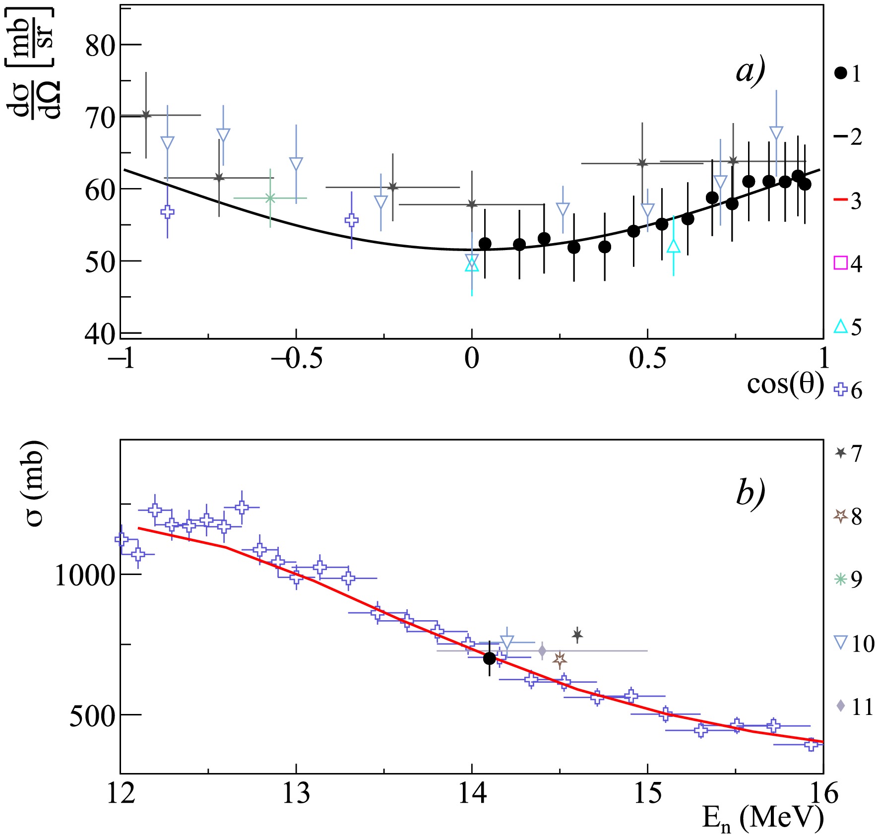
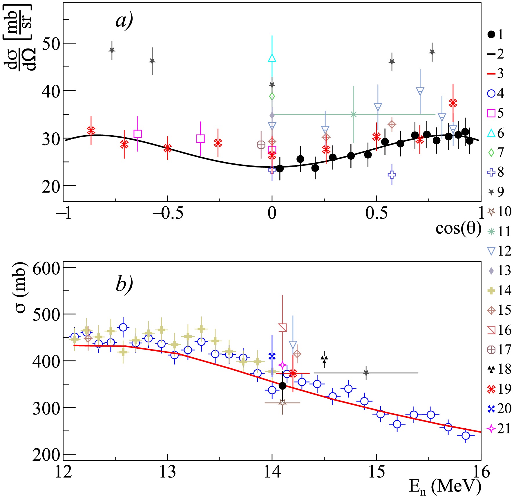
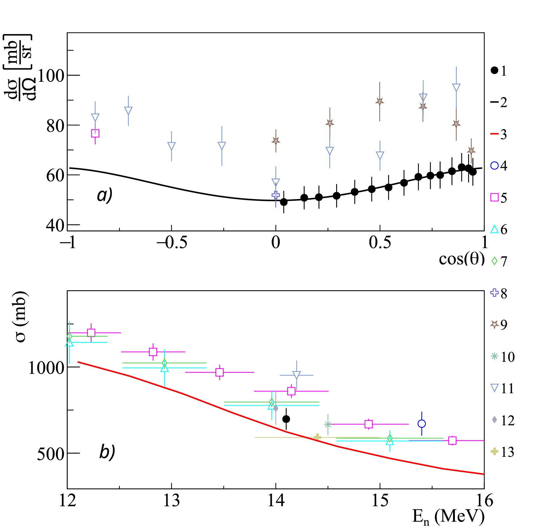
In this work, differential cross sections of\begin{document}$ \gamma $\end{document} -ray emission produced in nuclear reactions induced by 14.1 MeV neutrons are measured for the 4.439 MeV line from carbon, as well as for 10 individual \begin{document}$ \gamma $\end{document} -ray lines from aluminum, 6 from silicon, 8 from calcium, 16 from titanium, 6 from chromium, and 14 from iron. The measurements were conducted using the tagged neutron method with four LaBr3(Ce) scintillation detectors positioned at angles of 25°, 45°, 60°, and 70° relative to the generator target – sample center axis. A neutron generator that can produce 16 separate beams of tagged neutrons was employed, which combined with the detector system, enabled the determination of differential cross-sections for 64 distinct angle values in the range of 17° to 89°. To simplify data visualization, the angular distributions were divided into 5° intervals, with weighted mean values of the angle and differential cross-section calculated for each interval. Corrections for multiple neutron scattering and attenuation, \begin{document}$ \gamma $\end{document} -ray attenuation, and total detection efficiency computed using GEANT4 were accounted for in the cross-section calculations. Additional measurements were performed to validate the correction calculations. The total \begin{document}$ \gamma $\end{document} -ray emission cross-sections were obtained by approximating the angular distributions with even-order Legendre polynomial expansions up to the 6th degree, followed by integration over the full solid angle. The total systematic error for the obtained data was estimated as 9.1%.
In this work, differential cross sections of
2026, 50(3): 034101. doi: 10.1088/1674-1137/ae1c2a
Abstract:
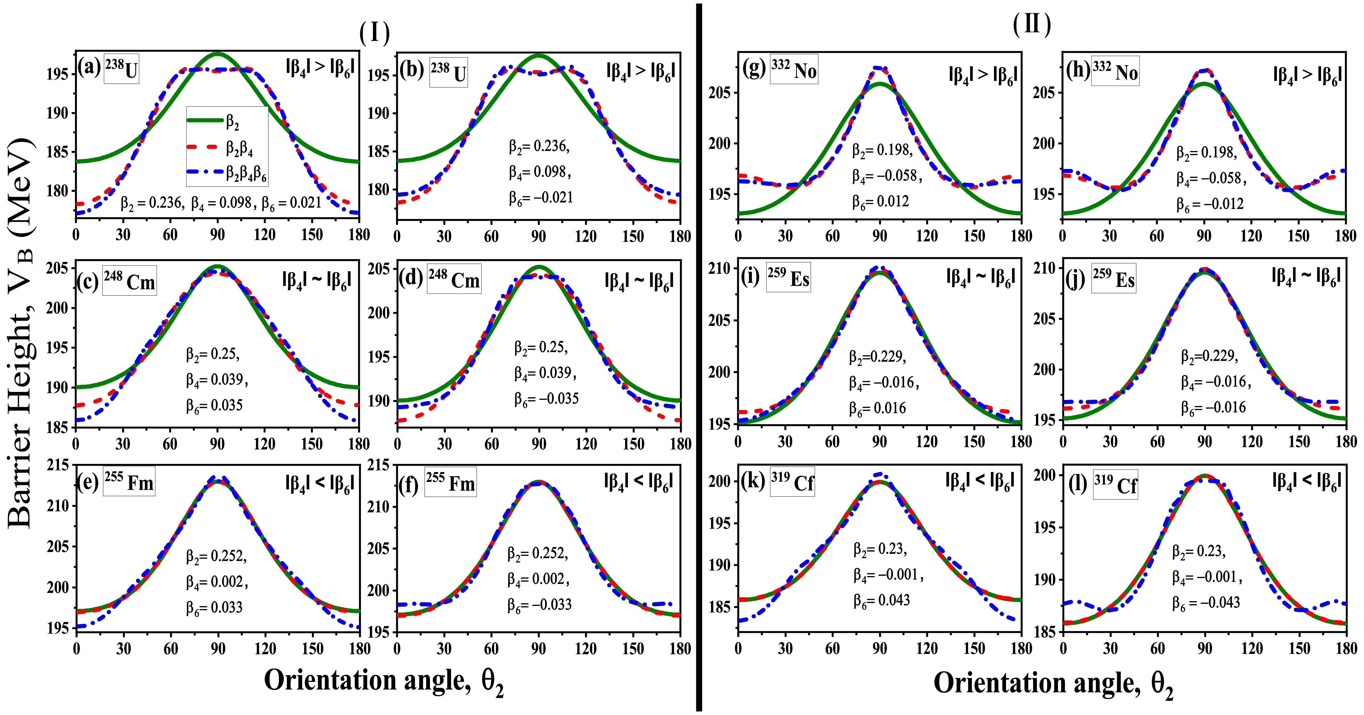
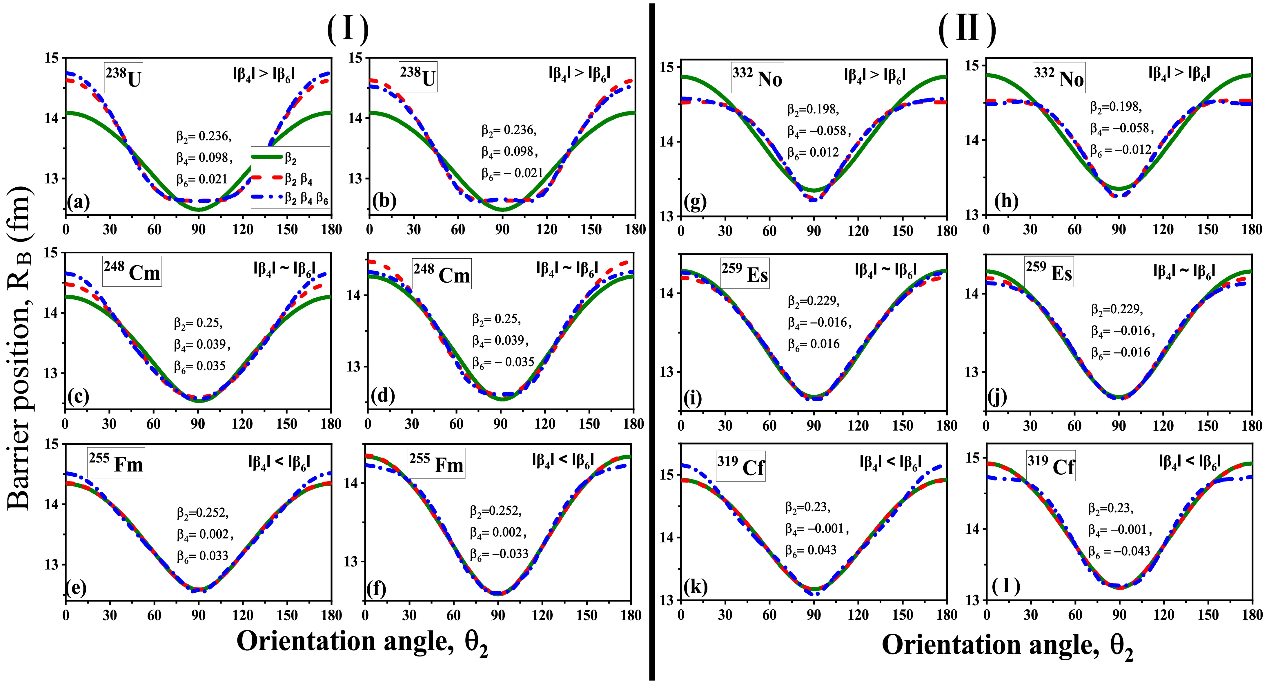
This study examines the impact of higher-order deformations up to hexacontatetrapole (\begin{document}$ \beta_6 $\end{document} ) deformation on the synthesis of superheavy nuclei (SHN) through heavy-ion induced fusion reactions. The main objective of the study is to examine the impact of modified nuclear shapes that result from the collective influence of deformations (up to \begin{document}$ \beta_6 $\end{document} ) on the barrier characteristics \begin{document}$ V_B $\end{document} and \begin{document}$ R_B $\end{document} and overall dynamics of nuclear reactions leading to the synthesis of SHN. The analysis takes into account both spherical+deformed and deformed+deformed projectile-target (P-T) combinations that lead to the synthesis of SHN. Furthermore, the analysis examines the influence of the sign (\begin{document}$ \pm $\end{document} ) and magnitude of \begin{document}$ \beta_6 $\end{document} on the barrier characteristics and overall reaction dynamics. This analysis is performed by utilizing 48Ca, 36S, and 48Ti induced reactions with \begin{document}$ \beta_6 $\end{document} -deformed actinide targets. The compact and elongated orientations, influenced by the sign and magnitude of \begin{document}$ \beta_2 $\end{document} , \begin{document}$ \beta_4 $\end{document} , and \begin{document}$ \beta_6 $\end{document} deformations, respectively, introduce further modifications in the reaction dynamics.The calculated capture cross-sections (\begin{document}$ \sigma_{\mathrm{cap}} $\end{document} ) result in better agreement with the experimental data for the case which incorporates \begin{document}$ \beta_6 $\end{document} along with \begin{document}$ \beta_2 $\end{document} and \begin{document}$ \beta_4 $\end{document} deformations than for the \begin{document}$ \beta_2\beta_4 $\end{document} deformations due to modified barrier characteristics, particularly at near-barrier energies. The findings underscore the importance and impact of incorporating deformations (up to \begin{document}$ \beta_6 $\end{document} ) and their corresponding orientations to achieve a thorough understanding of the dynamics of heavy-ion induced reactions pertaining to the superheavy mass region.
This study examines the impact of higher-order deformations up to hexacontatetrapole (
2026, 50(3): 034102. doi: 10.1088/1674-1137/ae039d
Abstract:
The theoretical study aims to synthesize superheavy elements with\begin{document}$ Z \geq 114 $\end{document} by irradiating an actinide target with a beam heavier than \begin{document}$^{48}\text{Ca}$\end{document} . The results of the \begin{document}$ \mathrm{^{244}Pu}(\mathrm{^{50}Ti}, \, \mathit{x} n)\, \mathrm{^{294-\mathit{x}}Lv} $\end{document} reaction are in good agreement with the experimental results first published by Lawrence Berkeley National Laboratory. The research indicates that reactions using \begin{document}$ \mathrm{^{50}Ti} $\end{document} have higher cross sections for the production of superheavy elements compared to reactions using \begin{document}$ \mathrm{^{54}Cr} $\end{document} . The production cross section for the \begin{document}$ \mathrm{^{249}Bk}(\mathrm{^{50}Ti}, \, \mathit{x} n)\, \mathrm{^{299-\mathit{x}}119} $\end{document} reaction is predicted to be \begin{document}$ \sigma_{\mathrm{prod}} = 21.72 $\end{document} fb at a center-of-target center-of-mass energy of 226(2) MeV, while for the \begin{document}$ \mathrm{^{249}Cf}(\mathrm{^{50}Ti}, \, \mathit{x} n)\, \mathrm{^{299-\mathit{x}}120} $\end{document} reaction, it is predicted to be \begin{document}$ \sigma_{\mathrm{prod}} = 1.80 $\end{document} fb at a higher center-of-target center-of-mass energy of 233(2) MeV. This suggests that with a \begin{document}$ \mathrm{^{50}Ti} $\end{document} beam, there is potential for synthesizing superheavy elements near the island of stability, as well as new elements beyond \begin{document}$ Z = 118 $\end{document} .
The theoretical study aims to synthesize superheavy elements with
2026, 50(3): 034103. doi: 10.1088/1674-1137/ae1f07
Abstract:
In this study, we perform a microscopic study of proton decay half-lives in neutron-deficient nuclei using the Hartree-Fock-Bogolyubov (HFB) approach with the Gogny D1S effective interaction. Proton emission half-lives from ground and isomeric states are computed by employing a single-folding potential constructed from a realistic M3Y-Paris nucleon-nucleon interaction. Deformed density distributions of daughter nuclei are calculated self-consistently within the same HFB framework. The resulting decay half-lives are systematically compared with recent experimental measurements and other theoretical models for evaluating the accuracy and predictive capacity of this fully microscopic methodology in describing proton radioactivity near the proton dripline.
In this study, we perform a microscopic study of proton decay half-lives in neutron-deficient nuclei using the Hartree-Fock-Bogolyubov (HFB) approach with the Gogny D1S effective interaction. Proton emission half-lives from ground and isomeric states are computed by employing a single-folding potential constructed from a realistic M3Y-Paris nucleon-nucleon interaction. Deformed density distributions of daughter nuclei are calculated self-consistently within the same HFB framework. The resulting decay half-lives are systematically compared with recent experimental measurements and other theoretical models for evaluating the accuracy and predictive capacity of this fully microscopic methodology in describing proton radioactivity near the proton dripline.
2026, 50(3): 034104. doi: 10.1088/1674-1137/ae1de5
Abstract:
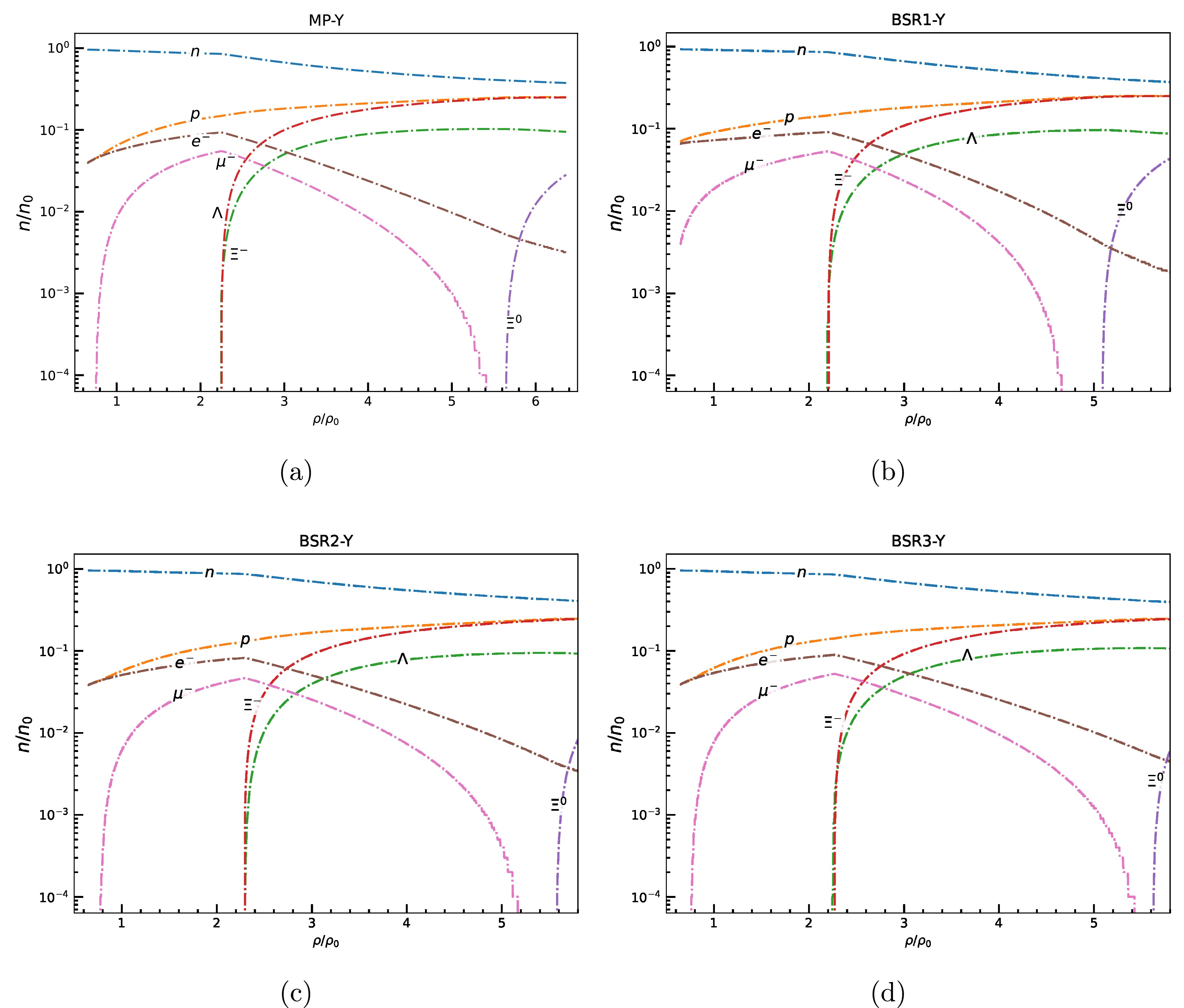
We employ a comprehensive set of relativistic mean-field (RMF) models to investigate the role of hyperons (Λ,\begin{document}$ \Sigma^{\pm,0} $\end{document} , and \begin{document}$ \Xi^{-,0} $\end{document} ) in dense nuclear matter. We consider various RMF models that span a wide range of high-density behaviors of equations of state (EoSs), symmetry energy coefficients, and hyperon-meson coupling schemes. Our aim is to assess how the inclusion of hyperons in nucleonic matter influences the key neutron star properties, including the maximum mass (M\begin{document}$ _{\rm max} $\end{document} ), stellar radius (R\begin{document}$ _{\rm max} $\end{document} ), and tidal deformability (\begin{document}$ \Lambda_{\rm max} $\end{document} ). By varying the vector meson-hyperon coupling strength (\begin{document}$ X_{\omega Y} $\end{document} ) over a wide range and considering the SU(6) symmetry, we find that a decrease in \begin{document}$ X_{\omega Y} $\end{document} results in an increased hyperon population. This leads to a significant softening of the EoS and a reduction in the maximum mass of a neutron star. The models with strong vector repulsion (larger value of \begin{document}$ X_{\omega Y} $\end{document} ) show a dominance of Λ and \begin{document}$ \Xi^- $\end{document} hyperons, with \begin{document}$ \Xi^0 $\end{document} appearing only at higher densities. The neutron star properties, such as M\begin{document}$ _{\rm max} $\end{document} , R\begin{document}$ _{\rm max} $\end{document} , and \begin{document}$ \Lambda_{\rm max} $\end{document} , are strongly affected by the hyperonization for all RMF models. It is observed that the canonical star properties like R\begin{document}$ _{1.4} $\end{document} and \begin{document}$ \Lambda_{1.4} $\end{document} remain largely unaffected by the presence of hyperons in nucleonic EoSs under fixed vector coupling strengths, except when couplings are based on SU(6) symmetry. This behavior can be attributed to the fact that, although hyperons appear in the very centre of a 1.4 M\begin{document}$ _{\odot} $\end{document} star, their population fraction is extremely small and therefore has a negligible effect on global stellar properties like R\begin{document}$ _{1.4} $\end{document} and \begin{document}$ \Lambda_{1.4} $\end{document} . Furthermore, to support a star with observational constraint of M\begin{document}$ _{\rm max} $\end{document} \begin{document}$ \ge $\end{document} 2 M\begin{document}$ _{\odot} $\end{document} , the vector coupling strength X\begin{document}$ _{\omega Y} $\end{document} must lie in the range 0.8−0.9. Our results highlight the critical role of vector coupling strength in governing hyperonization and its impact on neutron star observables. It is found that increasing X\begin{document}$ _{\omega Y} $\end{document} improves compliance with the 2 M\begin{document}$ _{\odot} $\end{document} mass constraint by suppressing early hyperonization. The critical role of the slope of symmetry energy (L) in regulating the impact of hyperonization on neutron star observables is also studied.
We employ a comprehensive set of relativistic mean-field (RMF) models to investigate the role of hyperons (Λ,
2026, 50(3): 034105. doi: 10.1088/1674-1137/ae1c29
Abstract:
In the framework of effective field theory, we derive the formula for the decay width of neutrinoless double beta-decay with the S-matrix theory, considering only the contribution from the exchange of light neutrinos. Our results agree with previous derivations for a left-right symmetric model. Detailed analyses of the nuclear matrix elements for 76Ge, 82Se, 130Te, and 136Xe from the quasi-particle random phase approximation method with realistic force and large-scale shell model calculations are performed. We compare the results of two many-body approaches and discuss possible origins of the deviation. We also compare our results with those from the so-called master formula, and observe good agreement between the two schemes. A deviation of the q-term in our scheme compared with the counterpart in the master formula can be explained by the distortion of the electron wave function under the static Coulomb field. We also provide constraints for the low energy effective field theory Wilson coefficients\begin{document}$ C_{VL}^{(6)} $\end{document} and \begin{document}$ C_{VR}^{(6)} $\end{document} from current experimental limits.
In the framework of effective field theory, we derive the formula for the decay width of neutrinoless double beta-decay with the S-matrix theory, considering only the contribution from the exchange of light neutrinos. Our results agree with previous derivations for a left-right symmetric model. Detailed analyses of the nuclear matrix elements for 76Ge, 82Se, 130Te, and 136Xe from the quasi-particle random phase approximation method with realistic force and large-scale shell model calculations are performed. We compare the results of two many-body approaches and discuss possible origins of the deviation. We also compare our results with those from the so-called master formula, and observe good agreement between the two schemes. A deviation of the q-term in our scheme compared with the counterpart in the master formula can be explained by the distortion of the electron wave function under the static Coulomb field. We also provide constraints for the low energy effective field theory Wilson coefficients
2026, 50(3): 034106. doi: 10.1088/1674-1137/ae1f7a
Abstract:
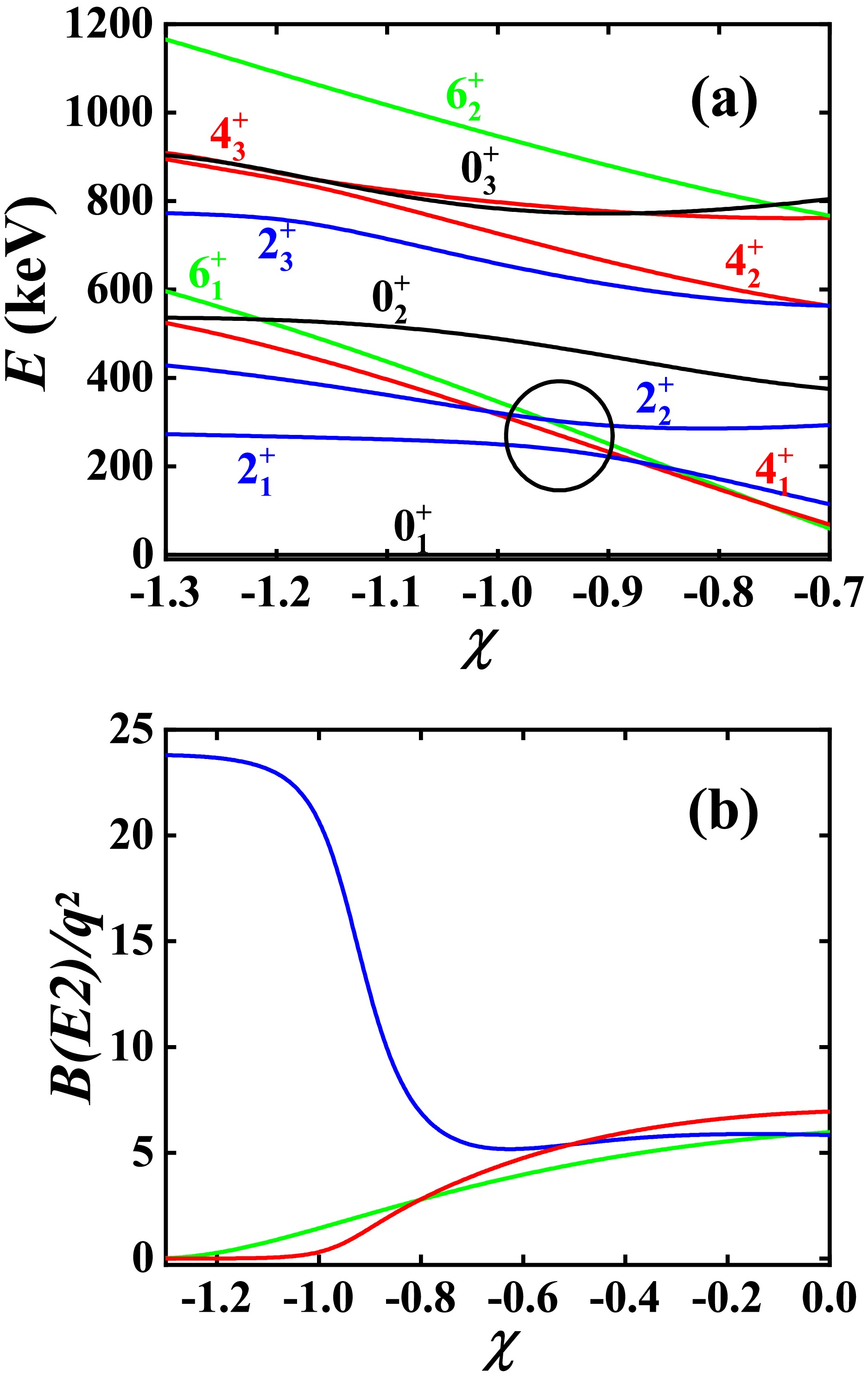
Recently, the very small\begin{document}$B(E2;2_{1}^{+}\rightarrow0_{1}^{+})$\end{document} value of 7(4) W.u. in \begin{document}$^{166}{\rm{Os}}$\end{document} was found experimentally. This result is much smaller than the values of 74(13) W.u. and 97(9) W.u. in the adjacent nuclei \begin{document}$^{168,170}{\rm{Os}}$\end{document} . Using the newly proposed technique called "\begin{document}$ S U$\end{document} (3) analysis" and the new explanatory framework for the SU(3) anomaly, the \begin{document}$B(E2;2_{1}^{+}\rightarrow0_{1}^{+})$\end{document} anomaly in \begin{document}$^{166}{\rm{Os}}$\end{document} is studied for the first time. Four results are used to fit the experimental data in \begin{document}$^{166,168,170}{\rm{Os}}$\end{document} successfully. This implies that the level-crossing or level-anticrossing explanation is applicable.
Recently, the very small
2026, 50(3): 034107. doi: 10.1088/1674-1137/ae1de6
Abstract:
The\begin{document}$ \pi d_{5/2} $\end{document} rotational bands in odd-even nuclei 117,119,121,123,125Cs are systematically investigated using the cranked shell model (CSM) with the pairing correlations modeled with a particle number conserving (PNC) method. In this PNC method, the particle number is conserved exactly while considering the blocking effects. The experimental observations of the \begin{document}$ \pi d_{5/2} $\end{document} bands with two upbendings for 117,119Cs and one backbending for 125Cs are reproduced very well by the PNC-CSM method. Furthermore, \begin{document}$ \pi d_{5/2} $\end{document} configuration bands with two upbendings for 121Cs and one backbending for 123Cs are predicted by the PNC-CSM calculations. The difference between the lighter 117,119,121Cs and heavier 123,125Cs isotopes is caused by the evolution of single-particle orbitals near the Fermi surface, and the high-j low-Ω orbital \begin{document}$ \pi [550]1/2 $\end{document} plays an important role. The proton shell gap of lighter isotopes is at \begin{document}$ Z=50 $\end{document} , whereas it appears at \begin{document}$ Z=48 $\end{document} for heavier ones. For lighter isotopes 117,119,121Cs, the first upbending is primarily due to the off-diagonal contributions of protons \begin{document}$ j_{x}(\pi5/2^{-}[532]\pi3/2^{-}[541]) $\end{document} and \begin{document}$ j_{x}(\pi1/2^{-}[550]\pi3/2^{-}[541]) $\end{document} . The second upbending is mainly effected by the off-diagonal contributions of neutrons \begin{document}$ j_{x}(\nu7/2^{-}[523] \nu5/2^{-}[532]) $\end{document} and \begin{document}$ j_{x}(\nu3/2^{-}[541] \nu5/2^{-}[532]) $\end{document} for 117,119Cs and \begin{document}$ j_{x}(\nu1/2^{-}[541] \nu5/2^{-}[532]) $\end{document} for 121Cs, respectively. For heavier isotopes such as 123,125Cs, the backbending is attributed mainly to the diagonal parts of proton \begin{document}$ j_{x}(\pi1/2^{-}[550]) $\end{document} and neutron \begin{document}$ \nu7/2^{-}[523] $\end{document} orbital related terms of diagonal \begin{document}$ j_{x}(\nu7/2^{-}[523]) $\end{document} and off-diagonal \begin{document}$ j_{x}(\nu7/2^{-}[523] \nu5/2^{-}[532]) $\end{document} contributions.
The
2026, 50(3): 034108. doi: 10.1088/1674-1137/ae2109
Abstract:
This work aims to analyze how hyperons affect neutrino radiation properties in nucleonic direct URCA processes, with the goal of providing useful references for identifying evidence of hyperons in astronomical observations. This analysis is conducted using the GM1 and NL3 parameter sets under the SU(6) and SU(3) flavor symmetries within the relativistic mean field theory framework. In conjunction with the inferred mass and radius values of PSRs J1231-1411, J0030+0451, and J0740+6620, our results indicate that nucleonic direct URCA processes are absent in PSR J1231-1411 due to momentum conservation violation. In the hyperon-containing PSR J0030+0451 (NL3 parameter set), the nucleonic direct URCA processes involving\begin{document}$e^{-}$\end{document} / \begin{document}$\mu^{-}$\end{document} would occur. A large inferred mass span induces hyperon fraction variations, which affect neutrino emissivity. If the inferred mass of PSR J0030+0451 exceeds approximately 1.8 \begin{document}$M_{\odot}$\end{document} , the neutrino luminosity of the nucleonic direct URCA processes under the SU(3) flavor symmetry remains nearly the same as that in npeµ matter, independent of hyperons. However, it shows an obvious hyperon dependence under the SU(6) spin-flavor symmetry. For hyperon-containing J0740+6620, the nucleonic direct URCA processes under the SU(3) flavor symmetry in the GM1 parameter set predict a faster decline in neutrino luminosity with the hyperonic fraction than in npeµ matter, and under the SU(6) spin-flavor symmetry in the NL3 parameter set, it shows a monotonic decreasing trend. The research indicates that the hyperonic fraction significantly affects the neutrino radiation properties of nucleonic direct URCA processes in neutron stars. Different-mass pulsars (e.g., PSRs J1231-1411, J0030+0451, J0740+6620) exhibit distinct behaviors of nucleonic direct URCA processes, depending on inferred masses/radii, parameter sets, and theoretical models.
This work aims to analyze how hyperons affect neutrino radiation properties in nucleonic direct URCA processes, with the goal of providing useful references for identifying evidence of hyperons in astronomical observations. This analysis is conducted using the GM1 and NL3 parameter sets under the SU(6) and SU(3) flavor symmetries within the relativistic mean field theory framework. In conjunction with the inferred mass and radius values of PSRs J1231-1411, J0030+0451, and J0740+6620, our results indicate that nucleonic direct URCA processes are absent in PSR J1231-1411 due to momentum conservation violation. In the hyperon-containing PSR J0030+0451 (NL3 parameter set), the nucleonic direct URCA processes involving
2026, 50(3): 034109. doi: 10.1088/1674-1137/ae25ca
Abstract:
A model for the nuclear medium modification of parton densities is presented. The approach is based on a global analysis of available deep inelastic scattering data for different nuclear targets within the rescaling model, combined with the effects of Fermi motion. The scale dependence is implemented through the DGLAP-evolved quark and gluon densities in a proton derived analytically at the leading order of QCD coupling. By fitting the rescaling parameters to experimental data on the ratio\begin{document}$F_2^A(x,Q^2)/F_2^{A^\prime}(x,Q^2) $\end{document} for several nuclear targets A and A', we obtain predictions for nuclear parton distributions, even for unmeasured nuclei. The effects of nuclear modifications are investigated with respect to the mass number A. We highlight distinct shadowing and antishadowing behaviors for gluons and quarks.
A model for the nuclear medium modification of parton densities is presented. The approach is based on a global analysis of available deep inelastic scattering data for different nuclear targets within the rescaling model, combined with the effects of Fermi motion. The scale dependence is implemented through the DGLAP-evolved quark and gluon densities in a proton derived analytically at the leading order of QCD coupling. By fitting the rescaling parameters to experimental data on the ratio
2026, 50(3): 035101. doi: 10.1088/1674-1137/ae210d
Abstract:
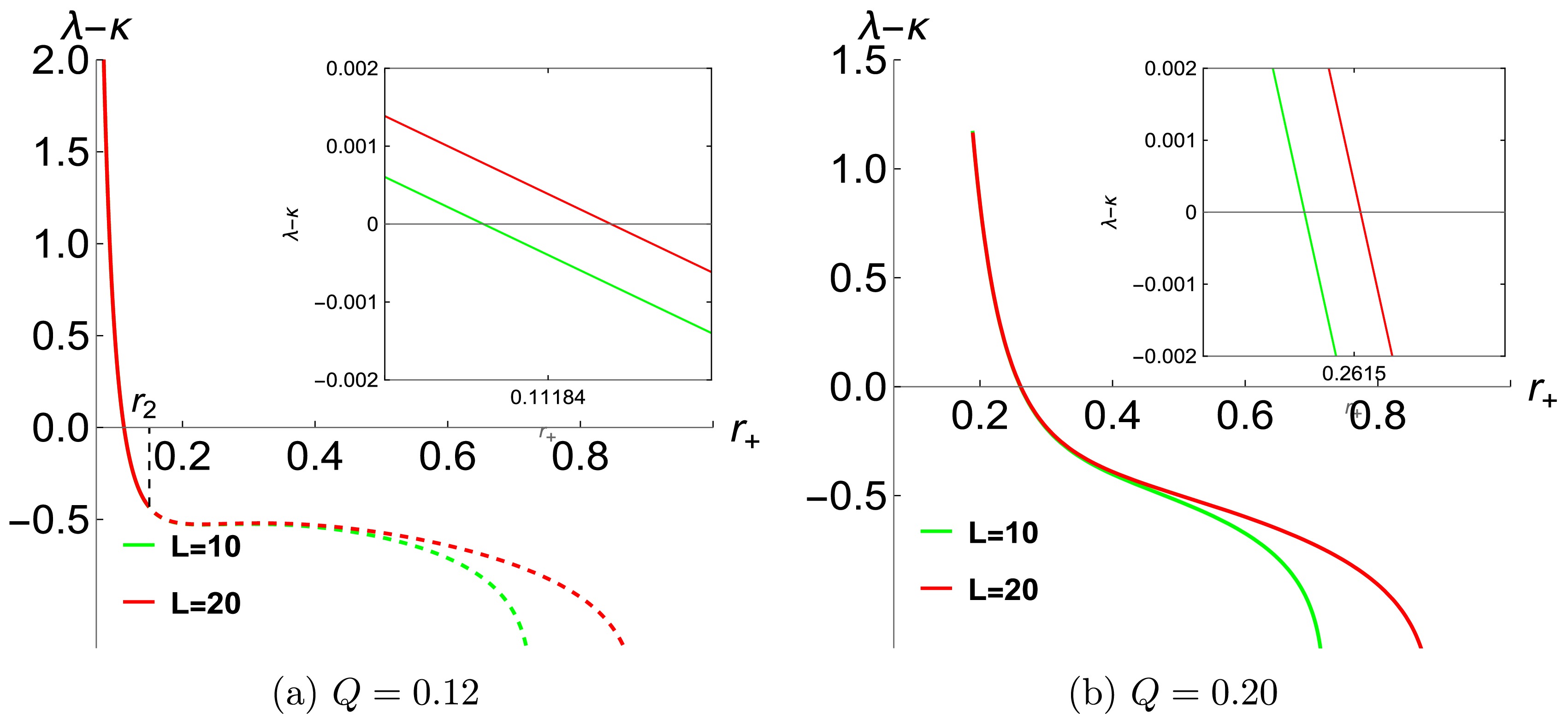
In this study, we investigate Lyapunov exponents of chaos for both massless and charged particles around a non-linear electrodynamics black hole and explore their relationships with a phase transition and chaos bound of this black hole. Our results indicate that these exponents can effectively reveal the phase transition. Specifically, during the phase transition, violation of the chaos bound occurs solely within a stable branch of a small black hole. Moreover, the violations are observed regardless of whether the phase transition takes place.
In this study, we investigate Lyapunov exponents of chaos for both massless and charged particles around a non-linear electrodynamics black hole and explore their relationships with a phase transition and chaos bound of this black hole. Our results indicate that these exponents can effectively reveal the phase transition. Specifically, during the phase transition, violation of the chaos bound occurs solely within a stable branch of a small black hole. Moreover, the violations are observed regardless of whether the phase transition takes place.
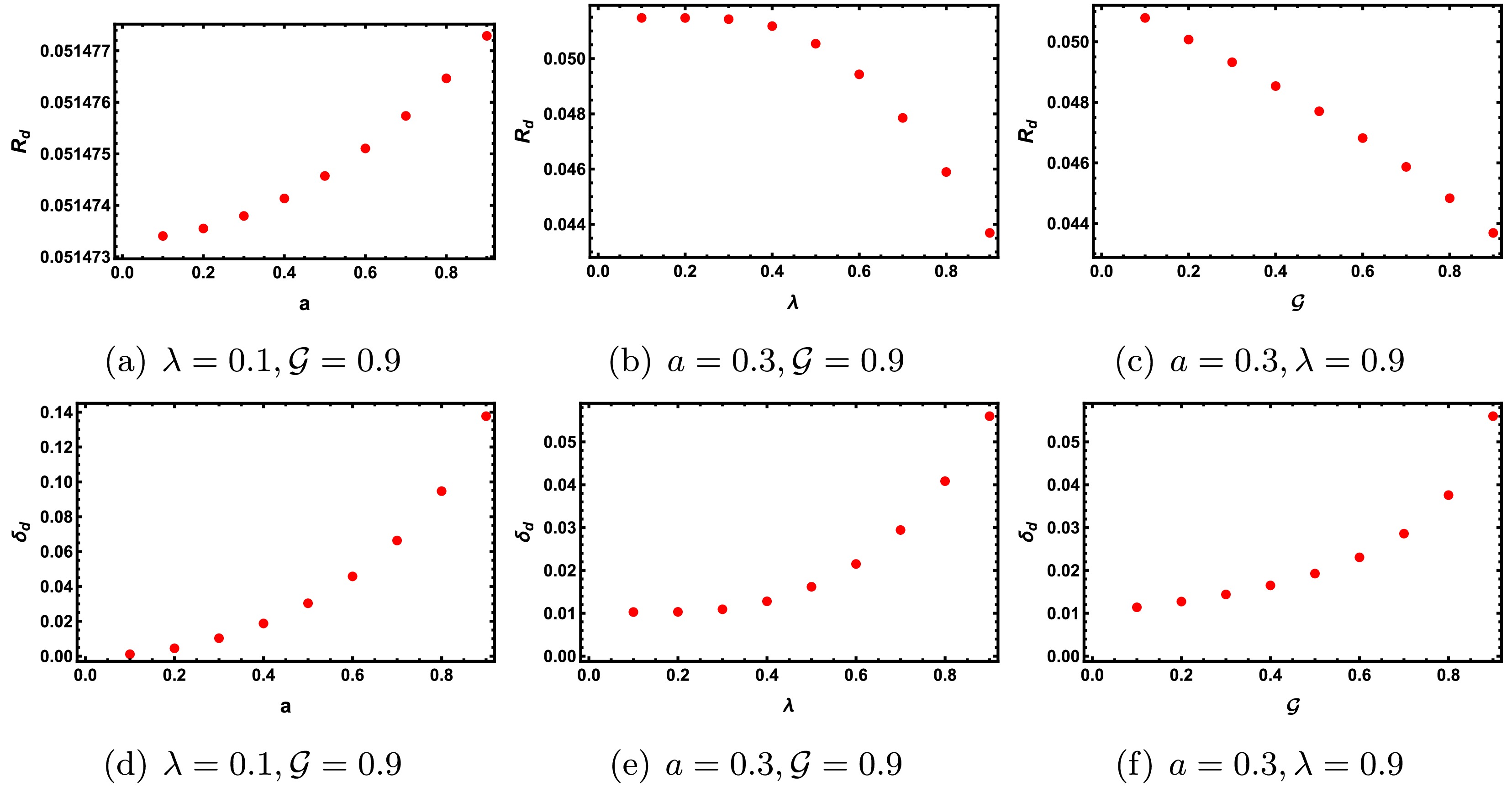
2026, 50(3): 035102. doi: 10.1088/1674-1137/ae1aff
Abstract:
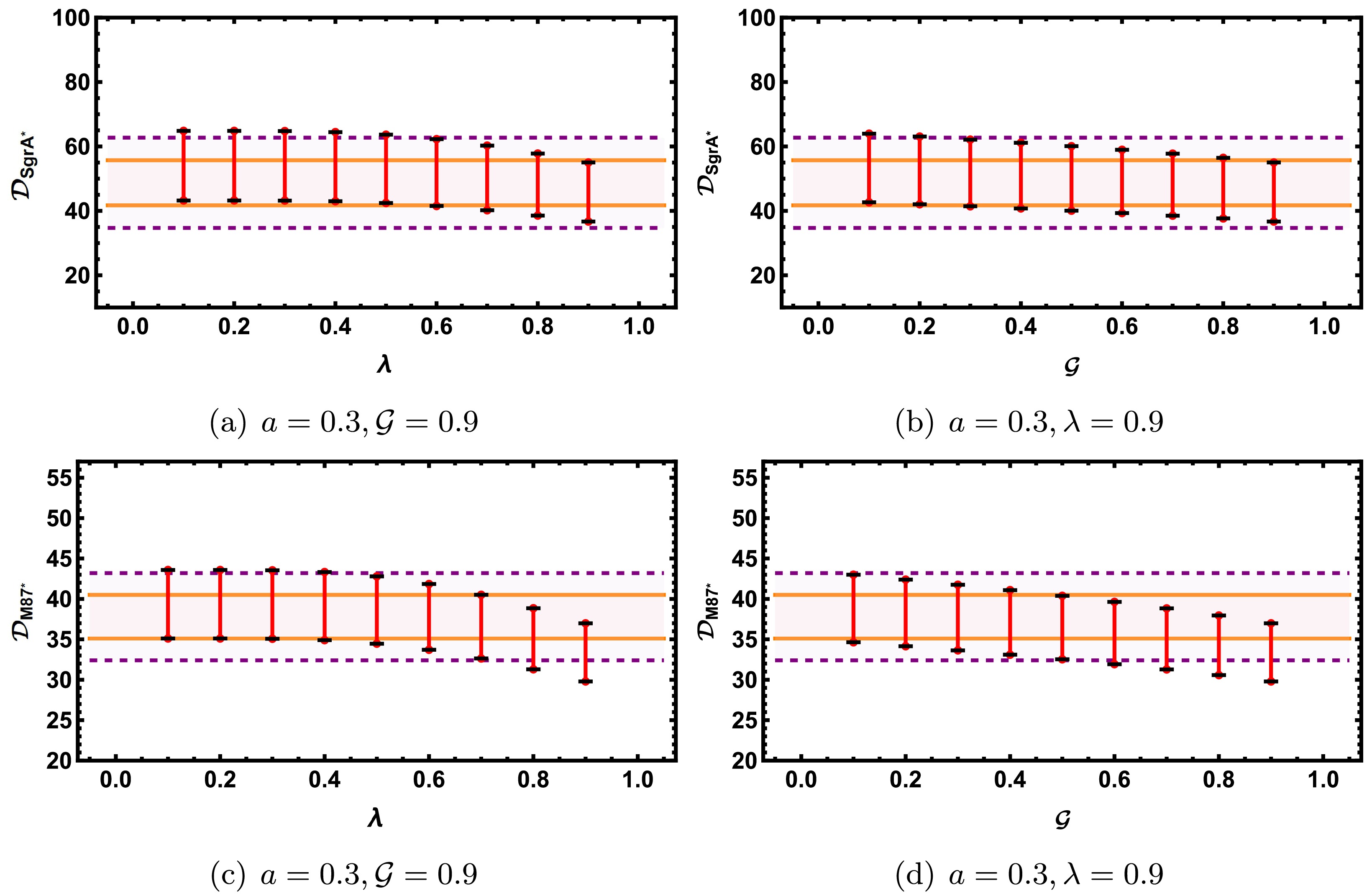
We investigate the shadow image of rotating black holes in Kalb-Ramond gravity using backward ray-tracing techniques. We consider two primary emission models: a spherical source and a optically and geometrically thin accretion disk. The results show that enhanced black hole rotation parameter a amplifies the shadow's departure from circular symmetry, whereas spontaneous Lorentz symmetry-breaking parameters\begin{document}${\cal{G}}$\end{document} and λ suppress the shadow radius. For accretion disk models, observer inclination angle \begin{document}$\theta_o$\end{document} predominantly governs the inner shadow morphology and photon ring brightness asymmetry, while a, \begin{document}${\cal{G}}$\end{document} , and λ primarily modulate the inner shadow scale. An increase in \begin{document}$\theta_o$\end{document} induces a morphological transition of the inner shadow from a circular to a D-shaped geometry, accompanied by enhanced brightness in a crescent-shaped region on the left side. Meanwhile, increasing the values of a, \begin{document}${\cal{G}}$\end{document} , or λ decrease the dimensions of the shadow. Furthermore, higher inclination angles \begin{document}$\theta_o$\end{document} further enhance spectral differentiation, that is, low inclination angles exhibit exclusively redshifted emission. Additionally, those at high inclination angles produce blueshifted components in both direct and lensed images. These characteristic signatures provide observational discriminators between rotating Kalb-Ramond black holes and alternative spacetime.
We investigate the shadow image of rotating black holes in Kalb-Ramond gravity using backward ray-tracing techniques. We consider two primary emission models: a spherical source and a optically and geometrically thin accretion disk. The results show that enhanced black hole rotation parameter a amplifies the shadow's departure from circular symmetry, whereas spontaneous Lorentz symmetry-breaking parameters
2026, 50(3): 035103. doi: 10.1088/1674-1137/ae28eb
Abstract:
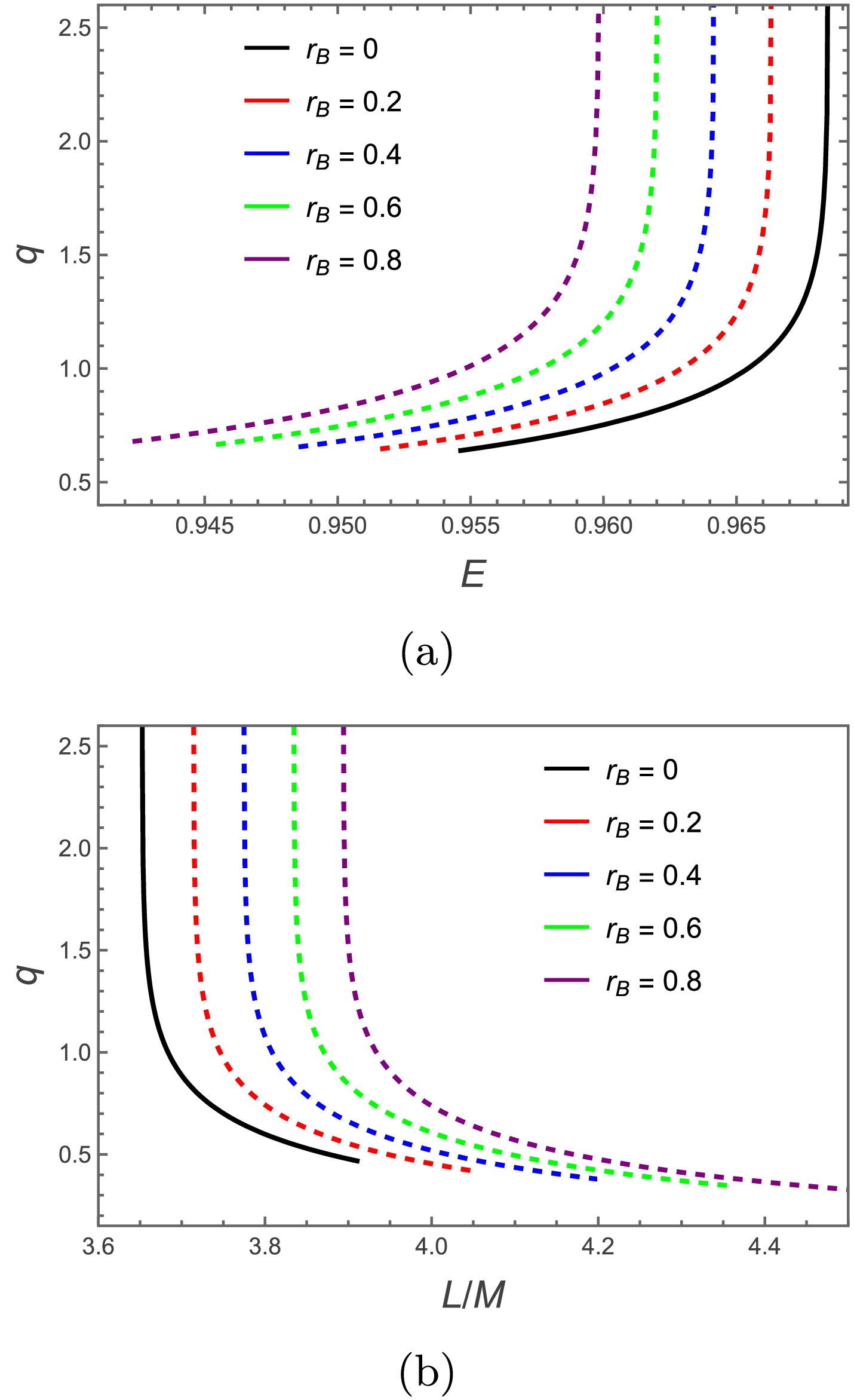
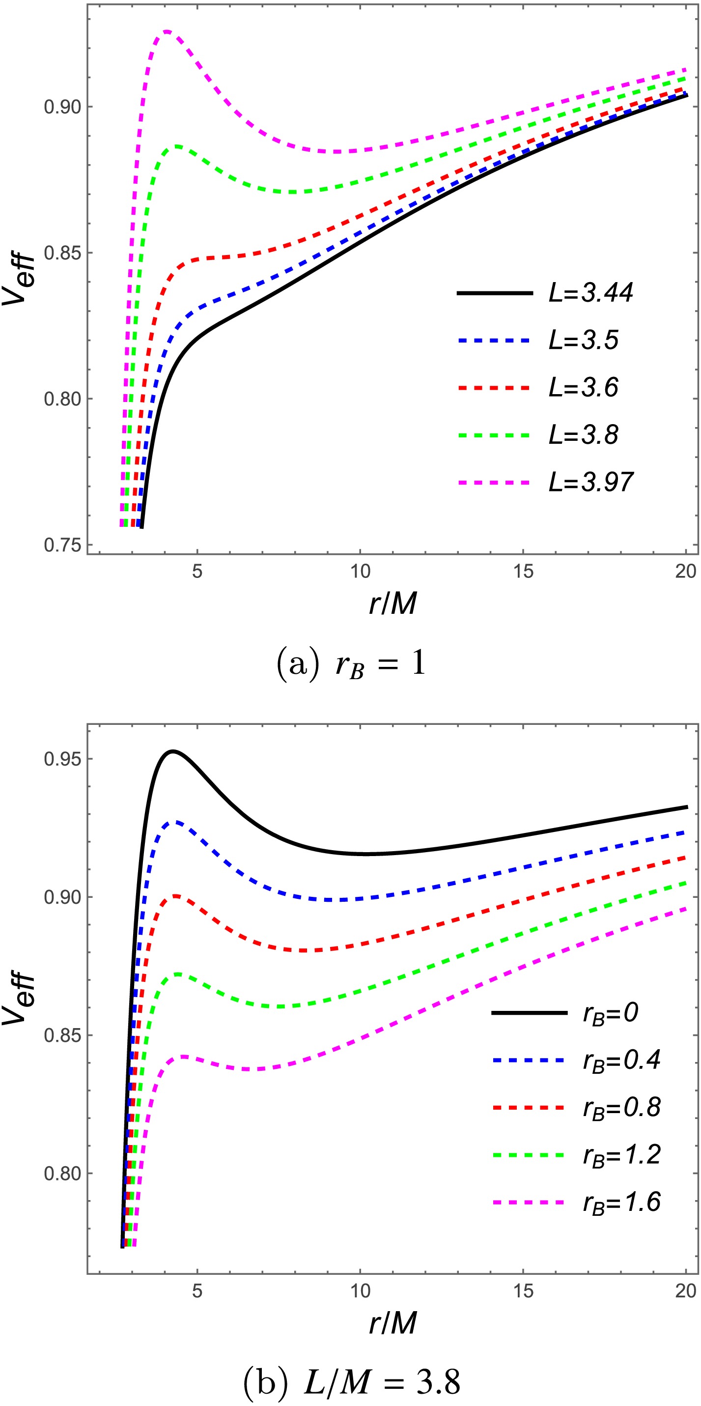
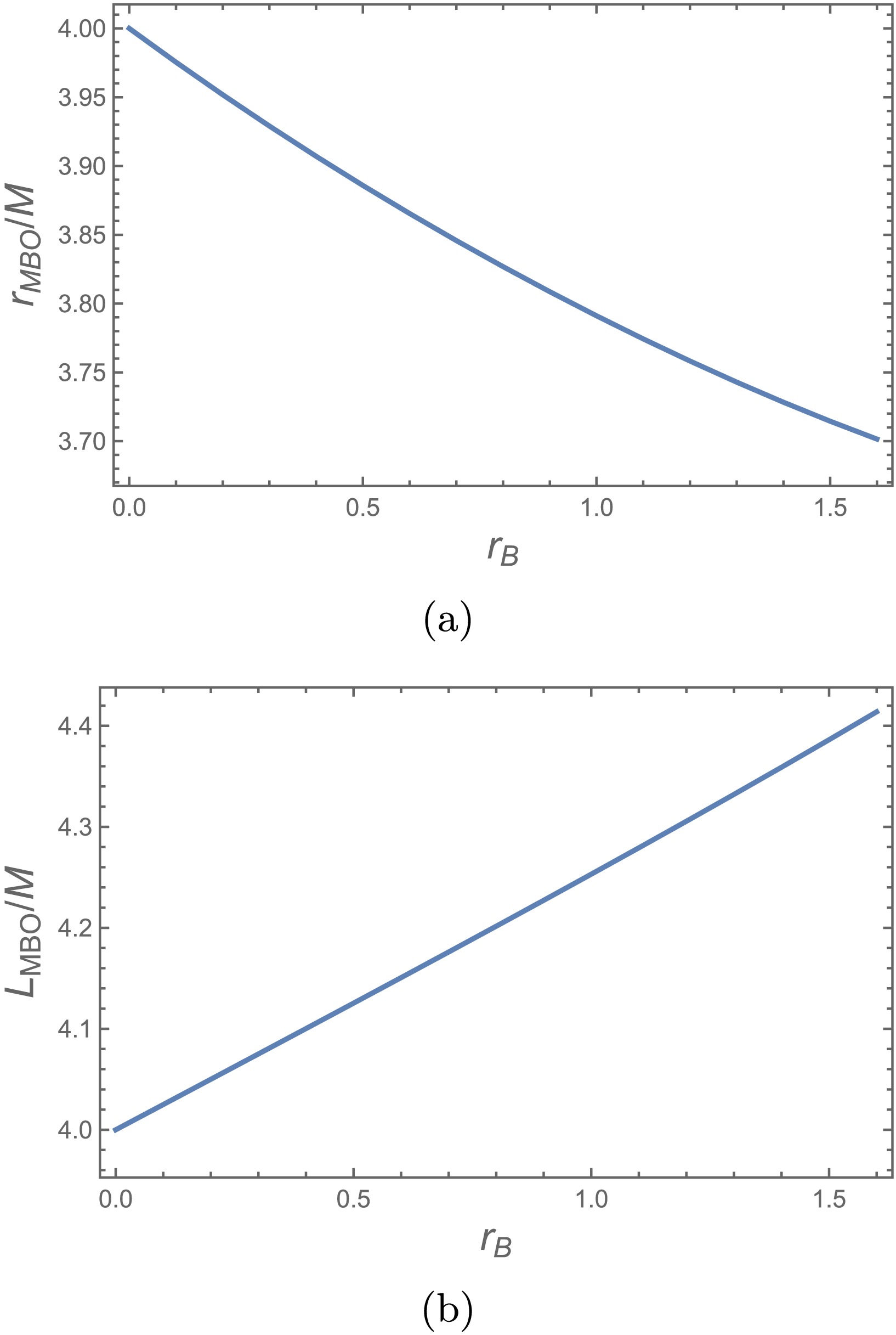
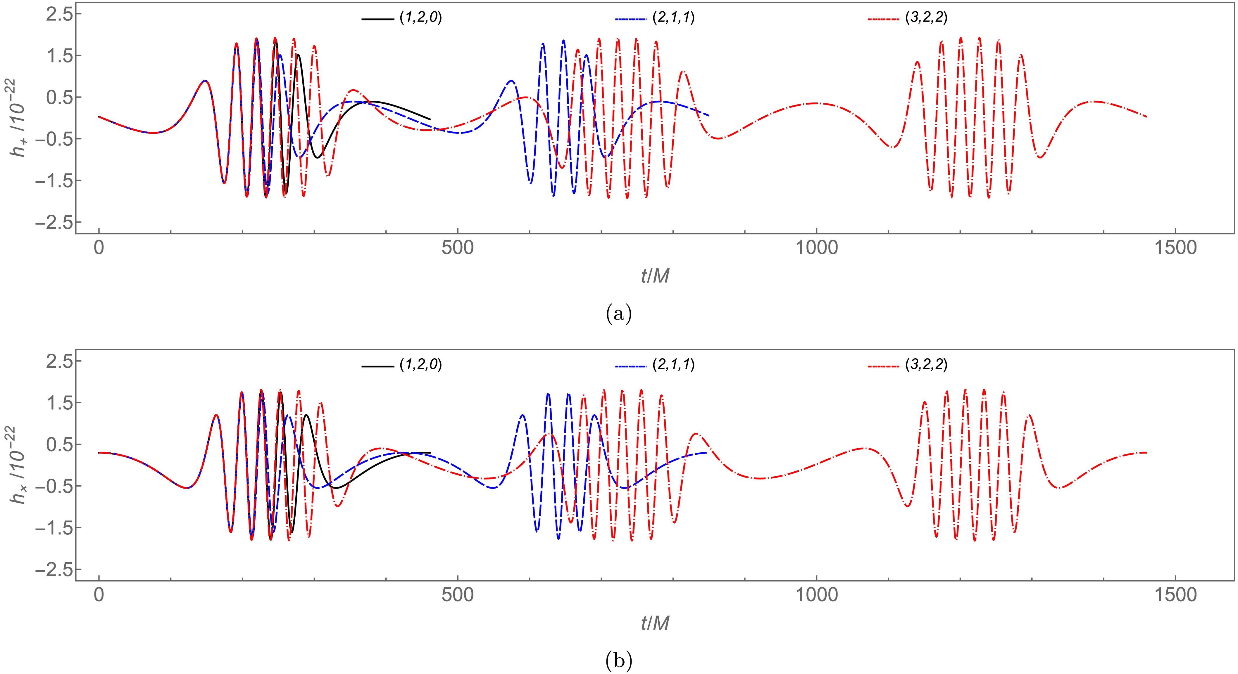
We investigated geodesic motion and gravitational-wave signatures of charged black holes with scalar hair. Using the effective potential approach, we analyzed marginally bound orbits and innermost stable circular orbits, showing how their positions and energy thresholds are modified by the scalar hair parameter\begin{document}$ r_B $\end{document} . These results demonstrate the role of scalar hair in altering the boundary of stable motion. We further explored periodic orbits characterized by rational frequency ratios, labeled by the index \begin{document}$ (z,w,v) $\end{document} , and quantified how scalar hair affects their orbital energy and angular momentum. Based on these orbital properties, we computed gravitational waveforms from extreme mass-ratio inspirals where a stellar-mass compact object orbits a supermassive charged black hole with scalar hair. Using the numerical kludge method, we generated waveforms that exhibit clear zoom-whirl patterns with morphology visibly affected by \begin{document}$ r_B $\end{document} . Our results show that scalar hair leaves distinguishable imprints on waveforms, suggesting that future space-based detectors could probe deviations from classical black hole spacetimes through extreme mass-ratio inspiral observations.
We investigated geodesic motion and gravitational-wave signatures of charged black holes with scalar hair. Using the effective potential approach, we analyzed marginally bound orbits and innermost stable circular orbits, showing how their positions and energy thresholds are modified by the scalar hair parameter
2026, 50(3): 035104. doi: 10.1088/1674-1137/ae042e
Abstract:
In this study, we explore the potential of using TianQin missions to probe the local gravitational effects of dark matter. The TianQin project plans to launch satellites at both low and high orbits. High-precision orbit determination is expected to aid in detecting Earth’s gravity or gravitational waves. By comparing the derived masses in low and high orbits, it is possible to constrain the amount of dark matter between the two spheres, hence placing a local constraint on dark matter’s gravitational effect. Our results show the capability of TianQin in detecting the density of dark matter around Earth, with an ultimate sensitivity to a value of 10−8 kg m−3. This detection limit surpasses the estimated bounds for the solar system and the observation results for our Galaxy by approximately 7 and 14 orders of magnitude, respectively.
In this study, we explore the potential of using TianQin missions to probe the local gravitational effects of dark matter. The TianQin project plans to launch satellites at both low and high orbits. High-precision orbit determination is expected to aid in detecting Earth’s gravity or gravitational waves. By comparing the derived masses in low and high orbits, it is possible to constrain the amount of dark matter between the two spheres, hence placing a local constraint on dark matter’s gravitational effect. Our results show the capability of TianQin in detecting the density of dark matter around Earth, with an ultimate sensitivity to a value of 10−8 kg m−3. This detection limit surpasses the estimated bounds for the solar system and the observation results for our Galaxy by approximately 7 and 14 orders of magnitude, respectively.
2026, 50(3): 035105. doi: 10.1088/1674-1137/ae2ab0
Abstract:
A class of gravity theories respecting spatial covariance and in the presence of non-dynamical auxiliary scalar fields with only spatial derivatives is investigated. Generally, without higher temporal derivatives in the metric sector, 3 degrees of freedom (DOFs) propagate due to the breaking of general covariance. Through a Hamiltonian constraint analysis, we examine the conditions to eliminate the scalar DOF such that only 2 DOFs propagate, which correspond the tensorial gravitational waves in a homogeneous and isotropic background. We find that two conditions are needed, each of which can eliminate half of a DOF. The second condition can be further classified into two cases according to its effect on the Dirac matrix. We also apply the formal conditions to a polynomial-type Lagrangian as a concrete example in which all the monomials are spatially covariant scalars containing two derivatives. Our results are consistent with a previous analysis based on the perturbative method.
A class of gravity theories respecting spatial covariance and in the presence of non-dynamical auxiliary scalar fields with only spatial derivatives is investigated. Generally, without higher temporal derivatives in the metric sector, 3 degrees of freedom (DOFs) propagate due to the breaking of general covariance. Through a Hamiltonian constraint analysis, we examine the conditions to eliminate the scalar DOF such that only 2 DOFs propagate, which correspond the tensorial gravitational waves in a homogeneous and isotropic background. We find that two conditions are needed, each of which can eliminate half of a DOF. The second condition can be further classified into two cases according to its effect on the Dirac matrix. We also apply the formal conditions to a polynomial-type Lagrangian as a concrete example in which all the monomials are spatially covariant scalars containing two derivatives. Our results are consistent with a previous analysis based on the perturbative method.
2026, 50(3): 035106. doi: 10.1088/1674-1137/ae265a
Abstract:
In this study, we investigate a scenario based on the effects of the Loop Quantum Gravity (LQG) on the electromagnetic sector of the Standard Model of Fundamental Interactions and Particle Physics (SM). Starting from a post-Maxwellian version of electromagnetism that includes LQG effects, we derive and discuss the influence of LQG parameters on classical quantities such as the components of the stress-tensor. Furthermore, we inspect the propagation of electromagnetic waves and examine the optical properties of the QED vacuum in this scenario. Among these, we contemplate the combined effect of the LQG parameters and a homogeneous background magnetic field on the propagation of electromagnetic waves by considering issues such as group velocities and refractive indices of the QED vacuum, in detail. Finally, with the aid of the previously analyzed LQG-extended photonic dispersion relations, we re-discuss the kinematics of the Compton effect and conclude that an interesting nonlinear profile emerges in the wavelengths of the incoming and deflected photons.
In this study, we investigate a scenario based on the effects of the Loop Quantum Gravity (LQG) on the electromagnetic sector of the Standard Model of Fundamental Interactions and Particle Physics (SM). Starting from a post-Maxwellian version of electromagnetism that includes LQG effects, we derive and discuss the influence of LQG parameters on classical quantities such as the components of the stress-tensor. Furthermore, we inspect the propagation of electromagnetic waves and examine the optical properties of the QED vacuum in this scenario. Among these, we contemplate the combined effect of the LQG parameters and a homogeneous background magnetic field on the propagation of electromagnetic waves by considering issues such as group velocities and refractive indices of the QED vacuum, in detail. Finally, with the aid of the previously analyzed LQG-extended photonic dispersion relations, we re-discuss the kinematics of the Compton effect and conclude that an interesting nonlinear profile emerges in the wavelengths of the incoming and deflected photons.
2026, 50(3): 039001. doi: 10.1088/1674-1137/ae18a9
Abstract:
ISSN 1674-1137 CN 11-5641/O4
Original research articles, Ietters and reviews Covering theory and experiments in the fieids of
- Particle physics
- Nuclear physics
- Particle and nuclear astrophysics
- Cosmology
Author benefits
- A SCOAP3 participating journal - free Open Access publication for qualifying articles
- Average 24 days to first decision
- Fast-track publication for selected articles
- Subscriptions at over 3000 institutions worldwide
- Free English editing on all accepted articles
News
- CPC Announces 2025 Outstanding Reviewers
- Chinese Physics C Outstanding Reviewer Award 2023
- Impact factor of Chinese Physics C is 3.6 in 2022
- 2022 CPC Outstanding Reviewer Awards
- The 2023 Chinese New Year-Office closure
Cover Story
- Cover Story (Issue 2, 2026) |The images of Brans-Dicke-Kerr type naked singularities
- Cover Story (Issue 1, 2026) A focused review of quintom cosmology: from quintom dark energy to quintom bounce
- Cover Story (Issue 11, 2025) The Earth-Magnet Assists DAMPE in Studying Cosmic Anti-Electrons
- Cover Story (Issue 9, 2025): Precise measurement of Ïc0 resonance parameters and branching fractions of Ïc0,c2âÏï¼Ïï¼/ K+K-
- Cover Story (Issue 8, 2025) A Novel Perspective on Spacetime Perturbations: Bridging Riemannian and Teleparallel Frameworks









