-
Discovering the structure of scalar potentials and consequently understanding the nature of electroweak symmetry breaking (EWSB) are the most important objectives of future colliders, e.g., the High-Luminosity Large Hadron Collider (HL-LHC) [1, 2] and future lepton colliders (LCs) [3, 4]. Hence, probing for multi-scalar boson productions is of interest to future colliders because accurate production cross-sections not only provide crucial information for extracting triple Higgs and quadruple Higgs self-couplings but also direct searches for new scalar particles. In the former case, indirect searches for new physics contributions can be performed through the corrected measurements for Higgs self-couplings. Recently, Standard Model-like (SM-like) Higgs boson pair productions have been probed at the LHC, e.g., via the events of two bottom quarks associated with two photons, four bottom quarks events, etc., as described in [5−16]. Future LCs have also been proposed to complement the physics at the LHC; for example, the LCs can significantly improve the accuracy of LHC measurements of many observables [17]. More importantly, photon-photon collision is considered an option of LCs [3, 4], through which scalar Higgs pair productions (
$ \phi_i\phi_j $ ) can be measured through scattering processes$ \ell \bar{\ell} \rightarrow \ell \bar{\ell} \gamma^*\gamma^* \rightarrow \ell \bar{\ell} \phi_i\phi_j $ for$ \ell \equiv e, \mu $ . Together with the LHC, LCs offer an opportunity to discover many concepts of physics beyond the SM (BSM) via multi-scalar Higgs productions.To match the higher-precision data at the future colliders, we require theoretical evaluations for one-loop contributing to the di-Higgs boson productions. One-loop contributions to the processes at the LHC in the frameworks of the SM of the Higgs Extensions of the SM (HESM) and other BSMs have been investigated in many studies, e.g., Refs. [18−80]. For high-energy photon-photon collisions, one-loop corrections to the di-Higgs boson productions within the SM and many of BSMs have been computed in Refs. [81−95]. For future linear LCs, including future multi-TeV muon colliders, the equivalent calculations for the Higgs pair productions have been considered in Refs. [96−99]. Additionally, one-loop corrections to the scattering processes
$ \gamma\gamma \rightarrow A^0A^0 $ ($ A^0 $ is CP-odd Higgs) in the Two Higgs Doublet Model are discussed in Ref. [100]. The partonic processes$ gg/\gamma \gamma \rightarrow \phi_i\phi_j $ will play an important role at future colliders. For example, we can construct the processes$ pp\rightarrow \phi_i\phi_j $ at the LHC by convoluting the parton distribution functions for the initial gluons. Moreover, we can generate the total cross-sections of the scattering processes$ \ell \bar{\ell} \rightarrow \ell \bar{\ell} \gamma^*\gamma^* \rightarrow \ell \bar{\ell} \phi_i\phi_j $ for$ \ell \equiv e, \mu $ using the convolution of the mentioned partonic channels with the photon energy spectrum in lepton beams. Subsequently, we can obtain the corresponding cross-sections for scalar boson pair productions at future colliders, including multi-TeV muon colliders. In the scope of this paper, we present general one-loop formulas for loop-induced partonic processes$ gg/\gamma \gamma \rightarrow \phi_i\phi_j $ with$ \phi_i\phi_j = hh,\; hH,\; HH $ , which are valid for a class of HESMs, e.g., Inert Doublet Higgs, Two Higgs Doublet, Zee-Babu, and Triplet Higgs models.In this computation, analytic expressions for one-loop form factors are expressed in terms of the basic scalar one-loop two-, three-, and four-point functions with the output format of the packages
$ {\tt LoopTools}$ [101] and$ {\tt Collier}$ [102]. Hence, a numerical investigation can be performed using one of these packages. Analytic results are confirmed using several checks, such as the ultraviolet finiteness and infrared finiteness of the one-loop amplitudes. Furthermore, the amplitudes obey the ward identity due to massless gauge bosons in the initial states. This identity is also verified numerically in this study. Concerning the applications, the phenomenological results for the calculated processes in the Zee-Babu Model are examined as a typical example. In particular, the production cross-sections for the scattering$ \gamma \gamma\rightarrow hh $ are scanned over the parameter space of the model under consideration.The remainder of this paper is structured as follows. Detailed evaluations for one-loop corrections to with CP-even Higgses
$ \phi_{i,j}\equiv h,\; H_j $ in the HESMs are presented in Sec. II. We then discuss the numerical checks for the calculation and present the applications of this study in the Sec. III. The conclusion and outlook are given in Sec. IV. Analytic expressions for one-loop form factors are given in Appendix B. Additional couplings in the Zee-Babu model are derived in Appendix C. -
This section presents detailed evaluations for one-loop contributions for the scattering processes
$gg/\gamma\gamma \rightarrow \phi_i\phi_j$ in the HESMs. We first provide concrete evaluations for the processes$ \gamma\gamma \rightarrow \phi_i\phi_j $ . We then extend these results to the processes$ gg \rightarrow \phi_i\phi_j $ .Additional scalar bosons in the mentioned HESMs are included as CP-even Higgses
$ \phi_i $ , CP-odd Higgses$ A_j^{0} $ , and singly (doubly) charged Higgses$ S\equiv S_k^Q $ with charged quantum number Q for$i,j, k = 1,2,\,\cdots$ . In this study,$ S_k^Q $ can be a singly charged Higgs$ H^{\pm} $ and doubly charged Higgs$ K^{\pm\pm} $ . Beyond the SM, the extra couplings relating to the mentioned scalar particles in the HESMs are parameterized in the general form$ g_{\text{vertex}} $ . Explicit formulas for$ g_{\text{vertex}} $ for each model under investigation are presented; see the Zee-Babu Model in the application of this study and our previous study [103] for examples.By employing the on-shell renormalization scheme developed in Refs. [104−106] for the fermion and gauge sectors and the improved on-shell renormalization scheme for the scalar sector using the method in Ref. [107], we plot one loop-induced Feynman diagrams for the production processes
$ \gamma \gamma \rightarrow \phi_i \phi_j $ with CP-even Higgses$ \phi_{i,j} \equiv h, H $ in the HESMs. The calculations are performed in the Hooft-Feynman (HF) gauge, in which one loop-induced Feynman diagrams can be categorized into several groups, as explained below. The first classification Feynman diagrams are shown in Fig. 1. In this group, we list all one-loop diagrams with$ \phi_k^* $ -poles for$ \phi_k^* = h^*,\; H^* $ . The types of diagrams in this group include all one-loop diagrams contributions for off-shell CP-even Higgs decay such as$ \phi_k^* \rightarrow \gamma\gamma $ with fermions (noted as$ G_1 $ ), W-boson, charged Goldstone$ \chi^{\pm} $ , Ghosht particles$ c^\pm $ (as$ G_2 $ ), and charged Higgs$ S^{Q} $ (as$ G_3 $ ) internal lines in connection with the vertices$ \phi_k^*\phi_i\phi_j $ .
Figure 1. All one-loop diagrams with fermions, W bosons (with charged Goldstone
$\chi^{\pm}$ and Ghosht particles$c^\pm$ ), and charged Higgs exchanging in the loop of$\phi_k^*$ -poles, for$\phi_k^*=h^*, H^*$ . The types of diagrams that appear in this group include one-loop contributions for off-shell CP-even Higgs decay such as$\phi_k^* \rightarrow \gamma\gamma$ in connection with the vertices$\phi_k^*\phi_i\phi_j$ .The second classification of one-loop Feynman diagrams is one-loop box diagrams. The first type of box diagrams contributing to the computed processes is plotted in Fig. 2. In these topologies, all fermion internal lines are considered (denoted as group
$ G_4 $ ).
Figure 2. One-loop four external legs with fermion internal lines contributing to the computed processes (denoted as group
$G_4$ ).Additionally, the second type of one-loop four-point Feynman diagrams with vector W-bosons, charged Goldstone bosons
$ \chi^{\pm} $ , and Ghosht particle$ c^\pm $ internal lines are considered in the calculated processes. These diagrams are grouped into$ G_5 $ as shown in Figs. 3 and 4.
Figure 3. All one-loop box diagrams contributing to the processes with W-boson exchanging in the loop (placed into
$G_5$ ).
Figure 4. All one-loop box diagrams contributing to the processes with W-boson exchanging in the loop (placed into
$G_5$ ).In the scope of the HESMs discussed in this study, we also have another type of one-loop box diagrams with both W-boson and singly charged Higgs
$ S^{Q} \equiv H^{\pm} $ propagating in the loop, shown in Figs. 5 and 6. We place these diagrams into group$ G_6 $ .
Figure 5. One-loop box diagrams with both W-boson and charged Higgs propagating in the loop (placed into
$G_6$ ).
Figure 6. Further one-loop box diagrams with both W-boson and charged Higgs propagating in the loop (placed into
$G_6$ ).Finally, we consider the last type of one-loop box diagrams with charged Higgses
$ S^{Q} \equiv H^{\pm},\; K^{\pm\pm} $ in the loop, as shown in Fig. 7. We then add these diagrams into$ G_7 $ . Here, both singly and doubly charged Higgses are considered as internal line particles.We now discuss the analytic results. Generally, the one-loop amplitude for scattering processes
$\gamma_\mu (q_1) \, \gamma_\nu (q_2) \rightarrow \phi_i (q_3) \, \phi_j (q_4)$ is presented in terms of the Lorentz structure as follows:$ {\mathcal{A}}_{\gamma \gamma \rightarrow \phi_i \phi_j} = \Big[ F_{00}^{(\gamma\gamma)} \; g^{\mu\nu} + \sum\limits_{i,j = 1; i\leq j}^{3} F_{ij}^{(\gamma\gamma)} \; q_i^{\nu} q_j^{\mu} \Big] \varepsilon_{\mu}(q_1) \varepsilon_{\nu}(q_2). $

(1) In this formula, the vector
$ \varepsilon_{\mu}(q) $ is the polarization vector of an external photon with a four-dimension momentum q. The scalar coefficients$ F_{ij}^{(\gamma\gamma)} $ for$ i,j = 1,2,3 $ are called one-loop form factors. They are expressed as the functions of the following kinematic invariant variables:$ \hat{s} = (q_1+q_2)^2 = q_1^2 + 2 q_1 \cdot q_2 + q_2^2 = 2 q_1 \cdot q_2, $

(2) $ \hat{t} = (q_1 - q_3)^2 = q_1^2 - 2 q_1 \cdot q_3 + q_3^2 = M_{\phi_i}^2 - 2 q_1 \cdot q_3, $

(3) $ \hat{u} = (q_2 - q_3)^2 = q_2^2 - 2 q_2 \cdot q_3 + q_3^2 = M_{\phi_i}^2 - 2 q_2 \cdot q_3. $

(4) The kinematic invariant masses for external legs are given as
$ q_1^2 = q_2^2 = 0 $ ,$ q_3^2 = M_{\phi_i}^2 $ , and$ q_4^2 = M_{\phi_j}^2 $ . These variables obey the identity$ \hat{s} + \hat{t} + \hat{u} = M_{\phi_i}^2 + M_{\phi_j}^2 $ . Associated with two massless photons in the initial states, the one loop-induced amplitude must satisfy the ward identity. Thus, we derive the following relations among the form factors:$ F_{00}^{(\gamma\gamma)} = \dfrac{ \hat{t} - M_{\phi_i}^2 }{2} \, F_{13}^{(\gamma\gamma)} - \dfrac{ \hat{s} }{2} \, F_{12}^{(\gamma\gamma)}, $

(5) $ F_{00}^{(\gamma\gamma)} = \dfrac{ \hat{u} - M_{\phi_i}^2}{2} \, F_{23}^{(\gamma\gamma)} - \dfrac{ \hat{s} }{2} \, F_{12}^{(\gamma\gamma)}, $

(6) $ F_{13}^{(\gamma\gamma)} = \dfrac{ \hat{u} - M_{\phi_i}^2} { \hat{s} } \, F_{33}^{(\gamma\gamma)}, $

(7) $ F_{23}^{(\gamma\gamma)} = \dfrac{ \hat{t} - M_{\phi_i}^2} { \hat{s} } \, F_{33}^{(\gamma\gamma)}. $

(8) Using these relations, we express the one-loop amplitude via two independent one-loop form factors, e.g.,
$ F_{12}^{(\gamma\gamma)} $ and$ F_{33} ^{(\gamma\gamma)} $ . In detail, the amplitude can be rewritten as follows:$ {\cal{A}}_{\gamma \gamma \rightarrow \phi_i \phi_j} = \Big[ {\cal{P}}^{\mu\nu} \cdot F_{12}^{(\gamma\gamma)} + {\mathcal{Q} }^{\mu\nu} \cdot F_{33}^{(\gamma\gamma)} \Big] \, \varepsilon_{\mu}(q_1) \varepsilon_{\nu}(q_2). $

The two given tensors are defined as
$ {\cal{P}}^{\mu\nu} = q_2^{\mu} q_1^{\nu} - \dfrac{ \hat{s} }{2} \cdot g^{\mu\nu}, $

(9) $ {\cal{Q}}^{\mu\nu} = \dfrac{(M_{\phi_i}^2 - \hat{t}) (M_{\phi_i}^2 - \hat{u})}{2 \hat{s} } \cdot g^{\mu\nu} + q_3^{\mu} q_3^{\nu} + \dfrac{( \hat{t} -M_{\phi_i}^2)} { \hat{s} } \cdot q_2^{\mu} q_3^{\nu}. $

(10) Analytic results for the one-loop form factors
$ F_{12}^{(\gamma\gamma)} $ and$ F_{33}^{(\gamma\gamma)} $ for the considered processes in the HESMs are determined in terms of the basic scalar one-loop functions. The form factors$ F_{ab}^{(\gamma\gamma)} $ for$ ab = \{12, 33\} $ are decomposed into triangle and box parts, which correspond to the contributions from one-loop triangle and one-loop box diagrams described above. In detail, the form factors are expressed as follows:$ \begin{aligned}[b] F_{12}^{(\gamma\gamma)} = \;& \sum\limits_{\phi_k^* = h^*, H^*} \dfrac{g_{\phi_k^* \phi_i \phi_j}} {\Big[ s - M_{\phi_k}^2 +\mathrm{i} \Gamma_{\phi_k} M_{\phi_k} \Big] } \Bigg[ \sum\limits_{f} g_{\phi_k^* ff} \cdot C^{\gamma\gamma}_f \cdot F_{12,f}^{\text{Trig}} + g_{\phi_k^* WW } \cdot F_{12,W}^{\text{Trig}} + \sum\limits_{S = H^{\pm}, K^{\pm\pm}} g_{\phi_k^*SS } \cdot F_{12,S}^{\text{Trig}} \Bigg] \\ & + \sum\limits_{f} g_{\phi_i ff} \cdot g_{\phi_j ff} \cdot C^{\gamma\gamma}_f \cdot F_{12,f}^{\text{Box}} + \Big[ g_{\phi_i W W} \cdot g_{\phi_j WW } \cdot F_{12,W}^{\text{Box, 1}} + g_{\phi_i \phi_j WW } \cdot F_{12,W}^{\text{Box, 2}} + g_{\phi_i \phi_j \chi\chi } \cdot F_{12,W}^{\text{Box, 3}} \Big] \\ & + \sum\limits_{S = H^{\pm}, K^{\pm\pm}} \Big[ g_{\phi_i SS} \cdot g_{\phi_j SS} \cdot F_{12,S}^{\text{Box},1} + g_{\phi_i \phi_j SS} \cdot F_{12,S}^{\text{Box},2} \Big] + g_{\phi_i H^{\pm} W^{\mp}} \cdot g_{\phi_j H^{\pm} W^{\mp}} \cdot F_{12,W, H^\pm}^{\text{Box}},\end{aligned} $ 
(11) $ F_{33}^{(\gamma\gamma)} = \sum\limits_{f} g_{\phi_i ff} \cdot g_{\phi_j ff} \cdot C^{\gamma\gamma}_f \cdot F_{33,f}^{\text{Box}} + g_{\phi_i W W} \cdot g_{\phi_j W W} \cdot F_{33,W}^{\text{Box}} + \sum\limits_{S^Q = H^{\pm}, K^{\pm\pm}} g_{\phi_i SS} \cdot g_{\phi_j SS} \cdot F_{33,S}^{\text{Box}} + g_{\phi_i H^{\pm} W^{\mp}} \cdot g_{\phi_j H^{\pm} W^{\mp}} \cdot F_{33,W, H^\pm}^{\text{Box}}. $

(12) In the above equations,
$ C^{\gamma\gamma}_f = N_C^{f} (eQ_f)^2 $ for the decay process$ \gamma \gamma \rightarrow \phi_i\phi_j $ .$ Q_f\; (N_C^f) $ denotes the charged (color) quantum number of the corresponding fermion f. Note that S is for both singly charged Higgs$ H^\pm $ and doubly charged Higgs$ K^{\pm\pm} $ . The first contributions to one-loop form factors$ F_{12}^{(\gamma\gamma)} $ calculated from one-loop diagrams appear in off-shell CP-even Higgs decay such as$ \phi_k^* \rightarrow \gamma\gamma $ in connection with vertices$ \phi_k^*\phi_i\phi_j $ (as plotted in Fig. 1). They are decomposed into each term in the bracket, e.g.,$ F_{12,f}^{\text{Trig}} $ (from fermions f in the loop of$ G_1 $ in Fig. 1),$ F_{12,W}^{\text{Trig}} $ (from the W boson in the loop of$ G_2 $ in Fig. 1), and$ F_{12,S}^{\text{Trig}} $ (from the charged Higgs in the loop of$ G_3 $ in Fig. 1). Subsequently, one-loop factors$ F_{12,f}^{\text{Box}} $ are computed from the fermions f exchanging in the box diagrams, as in Fig. 2. One-loop form factors determined from one-loop W boson propagating in the box diagrams as in Fig. 3 can be divided into the following parts, e.g.,$ F_{12,W}^{\text{Box, k}} $ for$ k = 1,2,3 $ , which correspond to the factors factorized out using general trilinear-couplings of$ \phi_i WW, \phi_j WW $ , quadratic-couplings of$ \phi_i\phi_j WW $ , and$ \phi_i\phi_j \chi\chi $ as in Eq. (11). We also express the factors attributed to the one-loop charged Higgs in the box diagrams into two sub-factors$ F_{12,S}^{\text{Box},k} $ for$ k = 1,2 $ , which are factorized out using general trilinear-couplings of$ \phi_i SS,\; \phi_j SS $ , quadratic-couplings of$ \phi_i\phi_j WW $ , and$ \phi_i\phi_j SS $ as in Eq. (11). Finally, from the diagrams with mixing W boson and singly charged Higgs in the loop, we have the factors$ F_{12,WH^\pm}^{\text{Box}} $ , which can be factorized out in terms of the trilinear-couplings$ \phi_i H^\pm\; W,\; \phi_jH^\pm\; W $ . Otherwise, the form factors$ F_{33}^{(\gamma\gamma)} $ are only contributed by one-loop box diagrams. They can be factorized out in terms of general couplings as in Eq. (12). The analytic results for one-loop form factors given in Eqs. (11) and (12) are shown explicitly in Appendix B.The analytic results presented in the above paragraphs can be extended to the channels
$ gg \rightarrow \phi_i\phi_j $ . No W boson or charged Higgs propagates in the loop diagrams of the processes$ gg\rightarrow \phi_i\phi_j $ . Here, all one-loop Feynman diagrams with f exchanging in the loop are considered. In detail, the first diagram$ G_1 $ in Fig. 1 and all diagrams$ G_4 $ in Fig. 2 contribute to the processes$ gg\rightarrow \phi_i\phi_j $ . Subsequently, all one-loop form factors$ F_{12,W}^{\text{Trig}} $ ,$ F_{12,S}^{\text{Trig}} $ ,$ F_{ab,W}^{\text{Box}} $ ,$ F_{ab,S}^{\text{Box}} $ , and$ F_{ab,WH^{\pm}}^{\text{Box}} $ for$ ab = \{12, 33\} $ are zero in this case. Finally, one-loop form factors in the channels$ gg\rightarrow \phi_i\phi_j $ are expressed as follows:$\begin{aligned}[b] F_{12}^{(gg)} = \;& \sum\limits_{f} \sum\limits_{\phi_k^* = h^*, H^*} C^{gg}_f \cdot \dfrac{ g_{\phi_k^* \phi_i \phi_j}} {\Big[ s - M_{\phi_k}^2 +i \Gamma_{\phi_k} M_{\phi_k} \Big] } \\& \times\Bigg[ g_{\phi_k^* ff} \cdot F_{12,f}^{\text{Trig}} + g_{\phi_i ff} \cdot g_{\phi_j ff} \cdot F_{12,f}^{\text{Box}} \Big], \end{aligned}$

(13) $ F_{33}^{(gg)} = \sum\limits_{f} C^{gg}_f \cdot g_{\phi_i ff} \cdot g_{\phi_j ff} \cdot F_{33,f}^{\text{Box}}. $

(14) where
$ C^{gg}_f = \sqrt{2}g_s^2 $ , with$ g_s = \sqrt{4\pi \alpha_s} $ ($ \alpha_s $ is a strong coupling constant).Having all the necessary form factors, we evaluate the cross sections as follows:
$ \hat{\sigma}_{\rm{HESM}} ^{gg/\gamma\gamma \rightarrow \phi_i \phi_j}(\hat{s}) = \dfrac{1}{n!} \dfrac{1}{16 \pi \hat{s}^2} \int \limits_{t_\text{min}} ^{t_\text{max}} \mathrm{d} \hat{t}\; \frac{1}{4} \sum \limits_\text{unpol.} \big| {\cal{A}}_{gg/\gamma \gamma \rightarrow \phi_i \phi_j} \big|^2 $

(15) with
$ n = 2 $ if the final particles are identical, such as for$ gg/\gamma \gamma \rightarrow hh, HH $ , and 1 otherwise, such as for$gg/\gamma \gamma \rightarrow h H$ . The integration limits are$\begin{aligned}[b] t_{\text{min} (\text{max})} =\; & -\dfrac{\hat{s}}{2} \Bigg\{ 1 - \dfrac{M_{\phi_i}^2 + M_{\phi_j}^2}{s} \pm \Bigg[ 1 - 2 \Bigg( \dfrac{M_{\phi_i}^2 + M_{\phi_j}^2}{s} \Bigg) \\& + \Bigg( \dfrac{M_{\phi_i}^2 - M_{\phi_j}^2}{s} \Bigg)^2 \Bigg]^{1/2} \Bigg\}. \end{aligned} $

(16) The total amplitude is given by
$ \begin{aligned}[b] \frac{1}{4} \sum \limits_\text{unpol.} \big| {\cal{A}}_{gg/\gamma \gamma \rightarrow \phi_i \phi_j} \big|^2 = \;&\dfrac{ M_{\phi_i}^4 \; \hat{s}^2 + ( M_{\phi_i}^2 M_{\phi_j}^2 - \hat{t}\; \hat{u} )^2 } {8\; \hat{s}^2} \, \big| F_{33}^{(gg/\gamma\gamma)} \big|^2 \\ & - \dfrac{ M_{\phi_i}^2 \hat{s} } {4} \, {\cal{R}}e \Big[ F_{33}^{(gg/\gamma\gamma)} \cdot \big( F_{12}^{(gg/\gamma\gamma)} \big)^* \Big] \\& +\dfrac{ \hat{s}^2 } {8} \, \big| F_{12}^{(gg/\gamma\gamma)} \big|^2 . \end{aligned} $

-
Here, we present the phenomenological results of this study. We consider two typical applications: the SM and Zee-Babu Model. We operate in the
$ G_{\mu} $ -scheme and use the same input parameters in the SM as in our previous studies [108, 109]. In the phenomenological results for the Zee-Babu model, the parameter space will be taken appropriately in the next subsections. Hereafter, we discuss only the partonic processes$ \gamma\gamma \rightarrow \phi_i \phi_j $ as typical examples for the numerical tests and phenomenological analysis. -
We first perform numerical tests for the calculations. The form factors must be the ultraviolet finiteness and infrared finiteness. Furthermore, the one-loop amplitude must follow the ward identity due to the initial photons. Numerical checks for the ultraviolet finiteness and infrared finiteness for one-loop form factors are shown in Table 1. For this test, we set the couplings
$ \lambda_{H\Phi} = +2 $ ,$ \lambda_{K\Phi} = -1 $ and the charged scalar masses as follows:$ M_{H^\pm} = 500 $ GeV and$ M_{K^{\pm\pm}} = 1000 $ GeV. Additionally, we set$ \hat{s} = 1500^2 $ GeV and$ \hat{t} = -200^2 $ GeV2. By varying the parameters$ C_{UV},\; \lambda^2 $ (see Appendix A for the definition of these parameters) in a wide range, we find that the results are stable up to last digits (over 15 digits at the amplitude level).$\big( C_{UV}, \lambda^2 \big)$ 

$F_{12}^{(\gamma\gamma)}$ 

$F_{33}^{(\gamma\gamma)}$ 

$(0,1)$ 

$-4.432377929637615 \times 10^{-10}$ 

$-1.274104987282513 \times 10^{-8}$ 

$+ 7.427714924247333 \times 10^{-10} \, {\rm{i}}$ 

$+ 2.439535005865118 \times 10^{-7} \,{\rm{i}}$ 

$(10^2, 10^4)$ 

$-4.432377929637721 \times 10^{-10}$ 

$-1.274104987282583 \times 10^{-8}$ 

$+ 7.427714924247333 \times 10^{-10} \, {\rm{i}}$ 

$+ 2.439535005865118 \times 10^{-7} \, {\rm{i}}$ 

$(10^4, 10^8)$ 

$-4.432377929637489 \times 10^{-10}$ 

$-1.274104987282561 \times 10^{-8}$ 

$+ 7.427714924247333 \times 10^{-10} \, {\rm{i}}$ 

$+ 2.439535005865118 \times 10^{-7} \, {\rm{i}}$ 

Table 1. Numerical checks for the UV- and IR- finiteness for one-loop form factor
$F_{12}^{(\gamma\gamma)}$ ,$F_{33}^{(\gamma\gamma)}$ . For this test, we set the couplings$\lambda_{H\Phi}=+2$ ,$\lambda_{K\Phi}=-1$ and the charged scalar Higgs masses as follows:$M_{H^\pm}=500$ GeV and$M_{K^{\pm\pm}}=1000$ GeV. Additionally, we set$\hat{s} =1500^2$ GeV2 and$\hat{t} = -200^2$ GeV2.Because the initial photons partake in the scattering processes, the one-loop amplitude must follow the ward identity. The identity is verified numerically in this work. This can be performed as follows. We collect analytic results for one-loop form factors
$ F_{00}^{(\gamma\gamma)} $ ,$ F_{12}^{(\gamma\gamma)} $ ,$ F_{23}^{(\gamma\gamma)} $ , and$ F_{33}^{(\gamma\gamma)} $ independently. All the relations in Eqs. (5−8) are confirmed numerically. The form factor$ F_{TT}^{(\gamma\gamma)} $ is given by$ F_{TT}^{(\gamma\gamma)} = \dfrac{\hat{u} - M_{\phi_i}^2}{2} \cdot \dfrac{\hat{t} - M_{\phi_i}^2}{\hat{s} } \cdot F_{33}^{(\gamma\gamma)} - \dfrac{\hat{s} }{2} \cdot F_{12}^{(\gamma\gamma)}. $

(17) We then numerically verify that
$ F_{TT}^{(\gamma\gamma)} = F_{00}^{(\gamma\gamma)} $ . In Table 2, we show the numerical results for the test. In this table, we fix the value of$ (\hat{t}, \lambda_{H\Phi}, \lambda_{K\Phi}) $ in the first column. The results of form factors$ F_{TT}^{(\gamma\gamma)} $ obtained from$ F_{12}^{(\gamma\gamma)} $ and$ F_{33}^{(\gamma\gamma)} $ using Eq. (17) are shown in the second column. The last column presents the results of$ F_{00}^{(\gamma\gamma)} $ . The relation$ F_{00}^{(\gamma\gamma)} = F_{TT}^{(\gamma\gamma)} $ is confirmed numerically in this table. From the data, we find that the results have good stability over 12 digits.$F_{12}^{(\gamma\gamma)}$ 

$-$ 

$\big( \hat{t}, \lambda_{H\Phi}, \lambda_{K\Phi} \big)$ 

$F_{33}^{(\gamma\gamma)}$ 

$-$ 

$F_{TT}^{(\gamma\gamma)}$ [given in Eq. 17]

$F_{00}^{(\gamma\gamma)}$ 

$-3.506673731227688 \times 10^{-9}$ 

$-$ 

$- 9.48914729381836 \times 10^{-9} \, {\rm{i}}$ 

$\big( +300^2 , +1.5 , +0.5 \big)$ 

$-2.073875880451545 \times 10^{-7}$ 

$-$ 

$+ 3.018956669634884 \times 10^{-8} \, {\rm{i}}$ 

$-0.01566372086843976$ 

$-0.01566372086843974$ 

$+ 0.01122720571181518 \, {\rm{i}}$ 

$+ 0.01122720571181515 \, {\rm{i}}$ 

$-2.473869485576741 \times 10^{-9}$ 

$-$ 

$- 1.389444047877029 \times 10^{-8} \, {\rm{i}}$ 

$\big( +300^2 , -1.5 , +0.5 \big)$ 

$-2.073875880451545 \times 10^{-7}$ 

$-$ 

$+ 3.018956669634884 \times 10^{-8} \, {\rm{i}}$ 

$+0.005051569661633232$ 

$+0.005051569661633237$ 

$+ 0.0118652133892367 \, {\rm{i}}$ 

$+ 0.0118652133892366 \, {\rm{i}}$ 

$-3.691602634060829 \times 10^{-9}$ 

$-$ 

$- 1.389444047877029 \times 10^{-8} \, {\rm{i}}$ 

$\big( +300^2 , -1.5 , -0.5 \big)$ 

$-2.073875880451545 \times 10^{-7}$ 

$-$ 

$+ 3.018956669634884 \times 10^{-8} \, {\rm{i}}$ 

$+0.03914990554641669$ 

$+0.03914990554641665$ 

$+ 0.0118652133892367 \, {\rm{i}}$ 

$+ 0.0118652133892364 \,{\rm{i}}$ 

$+1.601959722985257 \times 10^{-9}$ 

$-$ 

$- 3.179364680100479 \times 10^{-11} \, {\rm{i}}$ 

$\big( -300^2 , +1.5 , +0.5 \big)$ 

$-1.286260135515678 \times 10^{-8}$ 

$-$ 

$+ 1.785310771633653 \times 10^{-7} \, {\rm{i}}$ 

$-0.03002288877158604$ 

$-0.03002288877158601$ 

$+ 0.01073513714169602 \, i$ 

$+ 0.01073513714169605 \, {\rm{i}}$ 

$+1.417030820152116 \times 10^{-9}$ 

$-$ 

$- 4.437086831752933 \times 10^{-9} \, {\rm{i}}$ 

$\big( -300^2 , -1.5 , -0.5 \big)$ 

$-1.286260135515678 \times 10^{-8}$ 

$-$ 

$+ 1.785310771633653 \times 10^{-7} \, {\rm{i}}$ 

$+0.02479073764327042$ 

$+0.02479073764327045$ 

$+ 0.01137314481911753 \, {\rm{i}}$ 

$+ 0.01137314481911754 \, {\rm{i}}$ 

Table 2. Ward identity check, confirming the relation
$F_{TT}^{(\gamma\gamma)} =F_{00}^{(\gamma\gamma)}$ , for$M_{H^\pm}=500$ GeV,$M_{K^{\pm\pm}} =1000$ GeV,$\hat{s} = 1500^2$ GeV2, and varying$\hat{t},~\lambda_{H\Phi},~\lambda_{K\Phi}$ . -
In this case, we have no contributions of charged Higgs or the mixing of charged Higgs with W bosons in the loop. By replacing the general couplings with SM couplings, we obtain the analytical results for the process
$ \gamma \gamma \rightarrow hh $ in the SM. Additionally, cross sections for the process$ \gamma \gamma \rightarrow hh $ have been calculated in the SM in many previous studies. For example, those in Ref. [98] are shown in the α-scheme,$ \alpha = 1/137.035999 084(21) $ , and the cross-section for$ \gamma \gamma \rightarrow hh $ at$ \sqrt{\hat{s}_{\gamma\gamma}} = 470 $ GeV is$ \sim 0.28 $ fb. In our study, the result corresponds to$ 0.275 $ fb. This value agrees with the result in Ref. [98]. We note that part of the results of$ \gamma\gamma \rightarrow hh $ in the SM are shown together with those of$ \gamma\gamma \rightarrow hh,\; hH,\; HH $ in the Inert Higgs Doublet and Two Higgs Doublet Models as in our previous paper [103]. In this paper, we do not present the phenomenological results for$ \gamma\gamma \rightarrow hh $ in the SM further. -
The Zee-Babu model is another typical application. We first briefly review the Zee-Babu model based on previous papers [110, 111]. The model is added to two complex scalars, which are a singly charged scalar
$ H^{\pm} $ and doubly charged scalar$ K^{\pm\pm} $ with the quantum numbers$ H^{\pm}\sim(1,1,\pm1) $ and$ K^{\pm\pm}\sim(1,1,\pm2) $ , respectively. The Lagrangian of the Zee-Babu model is constructed as follows:$ {\cal{L}}_{ZB} = {\cal{L}}_{SM} +{\cal{L}}_{K}^{ZB} - {\cal{V}}_{ZB} +{\cal{L}}_{Y}^{ZB}. $

(18) In the Lagrangian, the kinetic term for the scalar fields K and H is expressed explicitly as
$ {\cal{L}}_{K}^{ZB} = (D_{\mu}H)^{\dagger} (D^{\mu}H)+(D_{\mu}K)^{\dagger}(D^{\mu}K) $

(19) with the covariant derivatives given by
$D_{\mu} = \partial_\mu+ \mathrm{i}g_{H/K}Y_{H/K} B_{\mu}$ . The electromagnetic charge operator is given by$ Q{H/K} = T_L^3+Y $ , in which the hypercharge is taken as$ Y_{H^\pm} = \pm{1} $ $ (Y_{K^{\pm\pm}} = \pm{2}) $ . Two additional scalars do not carry the color or weak isopin. Thus, additional scalar particles interact only with the$ U(1)_Y $ group.The Zee-Babu scalar potential takes the form
$ \begin{aligned}[b] {\cal{V}}_{ZB} =\;& \mu_1^2H^\dagger{H} +\mu^2_2K^\dagger{K}+\lambda_H(H^\dagger{H})^2 +\lambda_K(K^\dagger{K})^2\\& +\lambda_{HK}(H^\dagger{H})(K^\dagger{K}) +(\mu_L{HHK^\dagger} +\mu^{\dagger}_L{H^{\dagger}H^{\dagger}K}) \\& +\lambda_{K\Phi}(K^{\dagger}K)(\Phi^\dagger\Phi) +\lambda_{H\Phi}(H^{\dagger}H)(\Phi^\dagger\Phi). \end{aligned} $

(20) For the EWSB, the Higgs doublet field of the SM Φ is parameterized as follows:
$ \Phi = \left(\begin{array}{c} \chi^{\pm} \\ \dfrac{v+h+\mathrm{i}\chi_0 }{\sqrt{2}} \end{array}\right) $

(21) with
$ v\sim 246. $ GeV, coinciding with the SM case. The particles$ h,\; \chi_0 $ , and$ \chi^{\pm} $ correspond to the Higgs bosons of the SM and neutral and charged Goldstone bosons. From the Zee-Babu scalar potential, the masses of$ H^\pm $ and$ K^{\pm\pm} $ can be determined as$ M_{K^{\pm\pm}}^2 = \mu_2^2+\frac{\lambda_{K\Phi}}{2}v^2, \quad M_{H^{\pm}}^2 = \mu_1^2+\frac{\lambda_{H\Phi}}{2}v^2. $

(22) The Yukawa Lagrangian
$ {\cal{L}}_{ZB} $ part, which describes the interactions between the SM leptons and the additional scalar fields K and H, is given by$ {\cal{L}}_{Y}^{ZB} = f_{ij}\overline{\tilde{L^i}}L^{j}H^\dagger +g_{ij}\overline{(e_R^c)^i}e_R^jK^\dagger +\overline{f}_{ij}(\overline{\tilde{L^i}}L^{j})^{\dagger}H +\overline{g}_{ij}(\overline{(e_R^c)^i}e_R^j )^{\dagger}K. $

(23) In the Yukawa sector
$ {\cal{L}}_{Y}^{ZB} $ , we denote$ L^i = (\nu_L^i,e_L^i) $ and$ \tilde{L}^i = i\sigma_2(L^{*})^i $ with generation index$ i = 1,2,3 $ . Additionally, we denote$ L\sim(1,2,{\mp}1/2)\sim(\nu_L,\ell_L)^T $ and$ \ell_R \sim (1,1,{\mp}1) $ . The$ 3\times{3} $ Yukawa coupling matrices$ f_{ij} $ and$ g_{ij} $ are anti-symmetric$ (f_{ij} = -f_{ji}) $ and symmetric$ (g_{ij} = g_{ji}) $ , respectively.All the additional couplings from the Zee-Babu model are listed in Table 3. Several couplings in this table are considered in the processes under investigation.
Vertices Notations Couplings $Z_{\mu}H^{\pm}(K^{\pm\pm})H^{\mp}(K^{\mp\mp})$ 

$ g_{ZHH(KK)}\times \Big( p_{H^\pm(K^{\pm\pm})} -p_{H^\mp(K^{\mp\mp})} \Big)_{\mu} $ 

${\rm i}e\dfrac{s_W}{c_W}Q_{H(K)}\times \Big(p_{H^\pm(K^{\pm\pm})}-p_{H^\mp(K^{\mp\mp})} \Big)_{\mu} $ 

$A_{\mu}H^{\pm} (K^{\pm\pm})H^{\mp}(K^{\mp\mp})$ 

$g_{AH^{\pm}H^{\mp} (K^{\pm\pm}K^{\mp\mp})}\times \Big( p_{H^\pm(K^{\pm\pm})} -p_{H^\mp(K^{\mp\mp})} \Big)_{\mu} $ 

$-{\rm i}eQ_{H(K)} \times \Big( p_{H^\pm(K^{\pm\pm})} - p_{H^\mp(K^{\mp\mp})} \Big)_{\mu} $ 

$A_{\mu}A_{\nu}H^{\pm}H^{\mp} (K^{\pm\pm}K^{\mp\mp})$ 

$g_{AAH^{\pm}H^{\mp} (K^{\pm\pm}K^{\mp\mp})} \cdot g_{\mu\nu}$ 

$\mathrm{i}e^2Q_{H(K)}^2 \cdot g_{\mu\nu}$ 

$Z_{\mu}Z_{\nu} H^{\pm}H^{\mp}(K^{\pm\pm}K^{\mp\mp})$ 

$g_{ZZH^{\pm}H^{\mp} (K^{\pm\pm}K^{\mp\mp})} \cdot g_{\mu\nu}$ 

$\mathrm{i}e^2 \left( \dfrac{s_W^2}{c_W^2}Q_{H(K)}^2 \right) \cdot g_{\mu\nu}$ 

$A_{\mu}Z_{\nu}H^{\pm} H^{\mp} (K^{\pm\pm} K^{\mp\mp})$ 

$g_{AZH^{\pm}H^{\mp} (K^{\pm\pm}K^{\mp\mp})} \cdot g_{\mu\nu}$ 

$-\mathrm{i}e^2 \left( \dfrac{s_{2W} } {c_W^2}Q_{H(K)}^2 \right) \cdot g_{\mu\nu}$ 

$H^{\pm}H^{\pm}K^{\mp\mp}$ 

$g_{H^{\pm}H^{\pm}K^{\mp\mp}}$ 

$-i\mu_L$ 

$hH^{\mp}H^{\pm}$ 

$g_{hH^{\mp}H^{\pm}}$ 

$-\mathrm{i}v\lambda_{H\Phi} =\mathrm{i}\dfrac{2(\mu_1^2-M_{H^\pm}^2)}{v}$ 

$hK^{\mp\mp}K^{\pm\pm}$ 

$g_{hK^{\mp\mp}K^{\pm\pm}}$ 

$-\mathrm{i}v\lambda_{K\Phi} =\mathrm{i}\dfrac{2(\mu_2^2-M_{K^{\pm\pm} }^2)}{v}$ 

$hhH^{\mp}H^{\pm}$ 

$g_{hhH^{\mp}H^{\pm}}$ 

$-\mathrm{i}\lambda_{H\Phi} =\mathrm{i}\dfrac{2(\mu_1^2-M_{H^\pm}^2) }{v^2}$ 

$hhK^{\mp\mp}K^{\pm\pm}$ 

$g_{hhK^{\mp\mp}K^{\pm\pm}}$ 

$-\mathrm{i}\lambda_{K\Phi} =\mathrm{i}\dfrac{2(\mu_2^2-M_{K^{\pm\pm} }^2)}{v^2}$ 

$H^{\pm}H^{\mp}K^{\mp\mp}K^{\pm\pm}$ 

$g_{H^{\pm}H^{\mp}K^{\mp\mp}K^{\pm\pm}}$ 

$-i\lambda_{HK}$ 

$H^{\pm}H^{\mp}\chi^{\mp}\chi^{\pm}$ 

$g_{H^{\pm}H^{\mp}\chi^{\mp}\chi^{\pm}}$ 

$-\mathrm{i}\lambda_{H\Phi} =\mathrm{i}\dfrac{2(\mu_1^2-M_{H^\pm}^2)}{v^2}$ 

$K^{\pm\pm}K^{\mp\mp}\chi^{\mp}\chi^{\pm}$ 

$g_{K^{\pm\pm}K^{\mp\mp}\chi^{\mp}\chi^{\pm}}$ 

$-\mathrm{i}\lambda_{K\Phi} =\mathrm{i}\dfrac{2(\mu_2^2-M_{K^{\pm\pm} }^2)}{v^2}$ 

Table 3. Additional couplings from the ZB model. Some of these are considered in the processes under investigation.
Note that the Yukawa Lagrangian
$ {\cal{L}}_{ZB} $ part presented above is not related to the computed processes. Thus, the parameter space of the Zee-Babu model for our next phenomenological studies is included as${\cal{P}}_{\text{ZB}} = $ $\{M_{H^\pm}^2, M_{K^{\pm\pm}}, \lambda_{K\Phi}, \lambda_{H\Phi} \}$ . For the updated parameter space in the Zee-Babu, refer to [112−117].We now discuss the phenomenological results for the Zee-Babu model. To the best of our knowledge, all the phenomenological results presented in the following paragraphs for the Zee-Babu model can be considered to be first results from this study. First, cross-sections are presented as functions of center-of-mass (CoM) energies (
$ \sqrt{\hat{s}} $ ). For this plot, we fix$ M_{H^\pm} = 400 $ GeV,$ M_{K^{\pm\pm}} = 800 $ GeV, and$ \lambda_{K\Phi} = \pm 0.7, \lambda_{H\Phi} = \pm 2 $ . In the following plot, the CoM energies are varied from 500 to$ 2000 $ GeV. The red line presents cross sections with$ \lambda_{K\Phi} = +0.7, \lambda_{H\Phi} = 2 $ , the blue line presents data with$ \lambda_{K\Phi} = +0.7, \lambda_{H\Phi} = -2 $ , and the green line corresponds to the results for$\lambda_{K\Phi} = -0.7, \lambda_{H\Phi} = -2$ (and pink line for the data at$ \lambda_{K\Phi} = -0.7, \lambda_{H\Phi} = +2 $ ). The black line represents the data of the process in the SM. Generally, we observe two peaks of cross sections at$ \sqrt{\hat{s}}\sim 2M_{H^{\pm} } = 800 $ GeV and$ \sqrt{\hat{s}}\sim 2M_{K^{\pm\pm} } = 1600 $ GeV. We find that production cross-sections are proportional to$ \hat{s}^{-2} $ as in Eq. (15). Therefore, the production cross-sections generally decrease with increasing CoM energies. The cross-sections are enhanced near the thresholds of producing the pair of charged Higgses. Depending on the signs of$ \lambda_{H\Phi} $ and$ \lambda_{K\Phi} $ , the threshold enhanced cross-sections exhibit different behaviors in each case. This can be explained as follows. If we consider the same input configurations for both singly charged Higgs and doubly charged Higgs in the loop, e.g., the same values for the masses and the couplings. The one-loop amplitude with doubly charged Higgs internal lines may be estimated at four times that with the singly charged Higgs in the loop. This is owing to the couplings of$ g_{A K^{\pm\pm} K^{\mp\mp} } = 2g_{A H^{\pm}H^{\mp} } $ . The contributions of the doubly charged Higgs are domimant compared with the corresponding ones from singly charged Higgs. Further examining the contributions from doubly charged Higgs in the loop, we find that the couplings$ g_{h K^{\pm\pm} K^{\mp\mp}}^2 $ appear in the one-loop box diagrams. However, the couplings$ g_{h K^{\pm\pm}K^{\mp\mp}} $ are only considered in one-loop triangle diagrams. Consequently, the squared amplitudes of one-loop box diagrams may cancel those from the mixing of one-loop triangle diagrams and box diagrams when the couplings$ g_{h K^{\pm\pm}K^{\mp\mp}} $ have negative values. This explains why the cross-sections for$ \lambda_{K\Phi} = +0.7, \lambda_{H\Phi} = 2 $ ($\lambda_{K\Phi} = -0.7, \lambda_{H\Phi} = 2$ as same reason) tend to the SM case. In other cases, we find that the large contributions from charged scalars in the loop are around the peaks.We next study the enhancement factor, which is given by
$ \mu_{hh}^{\rm{ZB}} = \dfrac{\hat{\sigma}_{hh}^{\rm{ZB}} }{\hat{\sigma}_{hh}^{\rm{SM}} } (\sqrt{\hat{s}}, {\cal{P}}_{\text{ZB}}) $

(24) over the parameters of the Zee-Babu model.
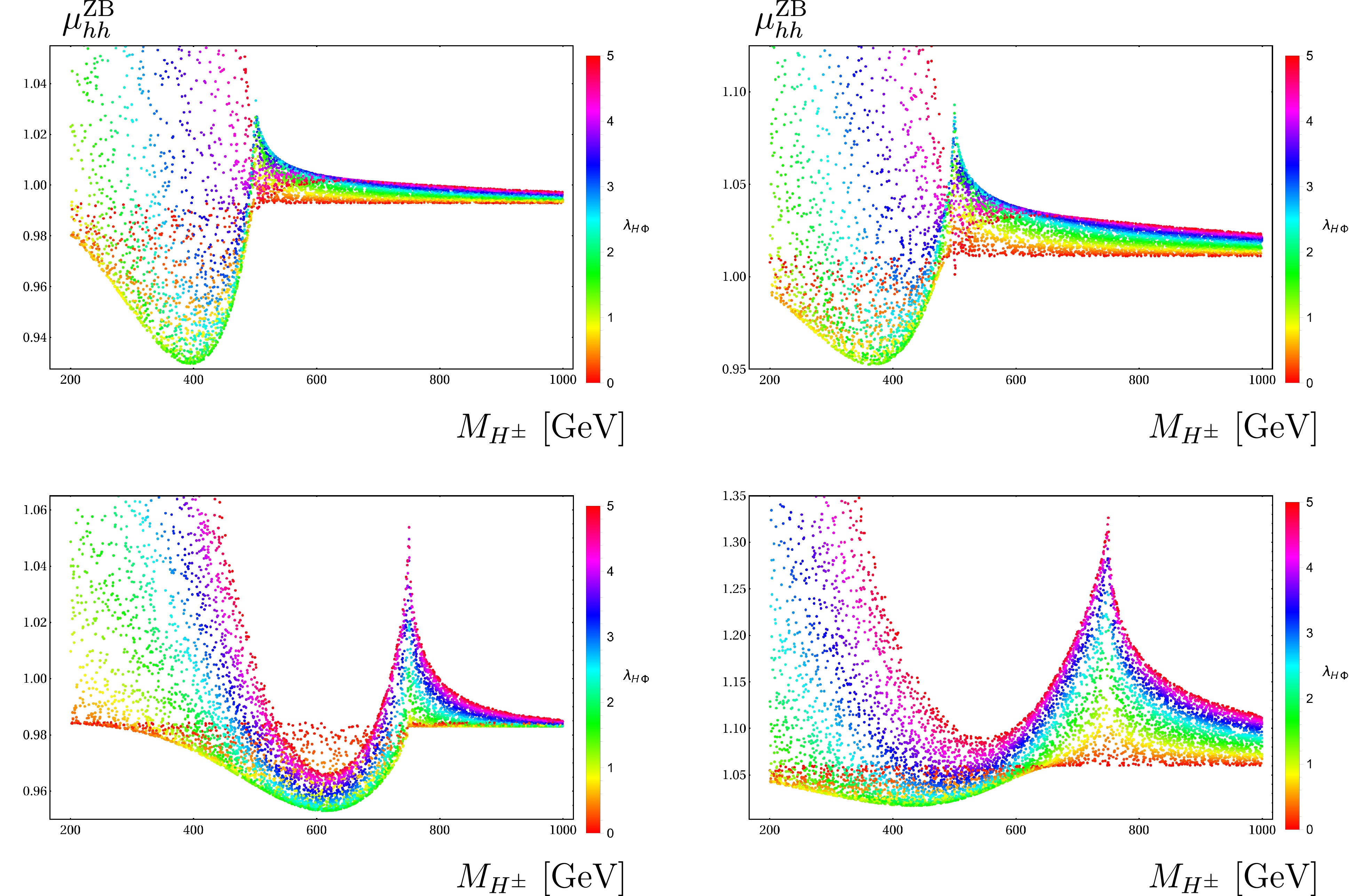
In Fig. 8, the factors are scanned over the singly charged Higgs masses
$ M_{H^\pm} $ and$ \lambda_{H\Phi} $ . In the scatter plots, we fix$ M_{K^{\pm\pm}} = 800 $ GeV,$ \lambda_{K\Phi} = -0.7 $ (left panel plots), and$ \lambda_{K\Phi} = +0.7 $ (right panel plots). In the following plots, we set$ \sqrt{\hat{s}} = 1000 $ GeV (for all top plots) and$ \sqrt{\hat{s}} = 1500 $ GeV (for the bottom plots). We vary$ 200 $ GeV$ \leq M_{H^\pm} \leq 1000 $ GeV and$ 0\leq \lambda_{H\Phi} \leq 5 $ . We find that the factors tend to 1 (tend to the SM case) when$ \lambda_{H\Phi}\rightarrow 0 $ . In this limit, the contributions of singly charged Higgses approach zero, because of the small contributions of doubly charged Higgs due to the large value of$ M_{K^{\pm\pm}} $ and the small value of the couplings$ \lambda_{K\Phi} $ . At$ \sqrt{\hat{s}} = 1 $ TeV, we observe a narrove peak of producing two charged Higgses at 500 GeV. The factors are sensitive to$ \lambda_{H\Phi} $ in the$ M_{H^\pm} $ regions of the below the peak. Above the peak region of$ M_{H^{\pm}} $ , the factor depends slightly on$ \lambda_{H\Phi} $ , and its value approaches 1. This shows that the contributions of singly and doubly charged Higgses are small in the concerned regions. We note that, for$ \lambda_{K\Phi} = +0.7 $ , the factors are larger than those for$ \lambda_{K\Phi} = -0.7 $ . This can be explained by the same reason as that for Fig. 9. We obtain the same behavior for the enhancement factors at$ \sqrt{\hat{s}} = 1.5 $ TeV.
Figure 8. (color online) Scatter plots as functions of
$(M_{H^\pm}^2, \lambda_{H\Phi})$ . In these plots, we vary$200$ GeV$\leq M_{H^\pm} \leq 1000$ GeV and$0\leq \lambda_{H\Phi}\leq 5$ .
Figure 9. (color online) Cross sections as functions of CoM.
$M_{H^\pm} = 400$ GeV,$M_{K^{\pm\pm}} =800$ GeV and$\lambda_{K\Phi}=\pm 0.7,~\lambda_{H\Phi}=\pm 2$ . In the following plots, we vary$\sqrt{\hat{s}} =500$ GeV to$\sqrt{\hat{s}} =2$ TeV.We now investigate the enhancement factors in the parameter space of
$ (M_{H^\pm},\; M_{K^{\pm\pm}}) $ . For this study, we take$ \lambda_{K\Phi} = \lambda_{H\Phi} = \pm 0.7 $ . In the following plots, we vary$ 200 $ GeV$ \leq M_{H^\pm},\; M_{K^{\pm\pm}} \leq 1000 $ GeV at a fixed$ \sqrt{\hat{s}} = 1 $ TeV (for all plots in Fig. 10) and$ \sqrt{\hat{s}} = 1.5 $ TeV (for all plots in Fig. 11). Generally, the factors are inversly propotional to$ M_{H^\pm},\; M_{K^{\pm\pm}} $ . For$ \lambda_{H\Phi} = \mp 0.7 $ and$ \lambda_{K\Phi} = - 0.7 $ (in the left panels), the enhancements are domimant at low mass regions of$ M_{H^\pm},\; M_{K^{\pm\pm}} $ . We have no peak of the factor around 500 GeV in this case. The factors tend to 1 beyond the regions of$ M_{K^{\pm\pm}}> 500 $ GeV. For$ \lambda_{H\Phi} = \mp 0.7 $ ,$ \lambda_{K\Phi} = + 0.7 $ (in the right panels), the factors are suppressed in the low mass regions of$ M_{H^\pm},\; M_{K^{\pm\pm}} $ . They develop to the peak$ 2M_{K^{\pm\pm}} = 2M_{H^\pm} = 500 $ GeV. The factors are in the range of$ [\sim 1.0, \sim 1.15] $ beyond the peak regions.
Figure 10. (color online) Scatter plots as functions of
$(M_{H^\pm},~M_{K^{\pm\pm}})$ at$1$ TeV of CoM. In these plots, we vary$200$ GeV$\leq M_{H^\pm},~M_{K^{\pm\pm}} \leq 1000$ GeV.The enhancement factors are examined in the parameter space of
$ (M_{H^\pm},\; M_{K^{\pm\pm}}) $ at$ 1.5 $ TeV of CoM. We observe the same behavior of the factors as previous 1 TeV of CoM. In both CoM energies, the factors for$ (\lambda_{H\Phi} = + 0.7 $ ,$ \lambda_{K\Phi} = + 0.7) $ are the smallest compared with those in other cases. This is explained by the data in Fig. 9.
Figure 11. (color online) Scatter plots as functions of
$(M_{H^\pm},~M_{K^{\pm\pm}})$ at$1.5$ TeV of CoM. In these plots, we vary$200$ GeV$\leq M_{H^\pm},~M_{K^{\pm\pm}} \leq 1000$ GeV.As mentioned in the introduction, we use the convolution of the partonic processes with the photon energy spectrum in lepton beams or with the parton distribution functions for initial gluons. Subsequently, we can obtain the corresponding cross-sections for scalar boson pair productions at future colliders including multi-TeV muon collider or the HL-LHC in many of HESMs. These topics are beyond the scope of this study and will be addressed in future studies.
-
General one-loop formulas for loop-induced processes
$ gg/\gamma \gamma\rightarrow \phi_i\phi_j $ with CP-even Higgses$ \phi_i,\phi_j = h,\; H_j $ , which are valid for a class of HESMs, e.g., Inert Doublet Higgs Models, Two Higgs Doublet Models, Zee-Babu Models, and Triplet Higgs Models, are presented in this paper. Analytic expressions for one-loop form factors are presented in terms of the basic scalar one-loop functions. The scalar functions are output in the packages$ {\tt LoopTools}$ and$ {\tt Collier}$ . Hence, physical results are evaluated numerically using one of these packages. Analytic results are tested using several checks such as the ultraviolet finiteness, infrared finiteness of the one-loop amplitudes. Furthermore, the amplitudes obey the ward identity owing to massless gauge bosons in the initial states. This identity is also verified numerically. Additionally, both the packages$ {\tt LoopTools}$ and$ {\tt Collier}$ are used for cross-checking for the final results before generating physical results. Regarding applications, we show phenomenological results for the studied processes in the Zee-Babu model as a typical example. We study the production cross-section for the processes$ \gamma \gamma\rightarrow hh $ scanned over the masses of singly and doubly charged Higgses as well as their couplings to SM-like Higgs. -
We apply the tensor reduction method developed in Ref. [118] for this computation. The method is described briefly. With the technique, tensor one-loop integrals of rank P with N-external legs can be decomposed into the basic scalar one-loop functions with
$ N\leq 4 $ (they are labeled as$ A_0 $ ,$ B_0 $ ,$ C_0 $ ,$ D_0 $ ). The tensor integral with rank P (taking$ N\leq 4 $ external legs for examples) is defined as$\begin{aligned}[b] \{A; B; C; D\}^{\mu_1\mu_2\cdots \mu_P} = \;&(\mu^2)^{2-d/2} \int \frac{\mathrm{d}^dk}{(2\pi)^d} \\& \dfrac{k^{\mu_1}k^{\mu_2}\cdots k^{\mu_P}}{\{D_1;\; D_1 D_2;\; D_1D_2D_3; \; D_1D_2D_3D_4\}}. \end{aligned}$

(A1) In this formula,
$ D_j $ ($j = 1,\,2,\,3,\, 4$ ) denotes the inverse Feynman propagators:$ D_j = (k+ q_j)^2 -m_j^2 +{\rm i}\rho, $

(A2) $ q_j = \displaystyle\sum\limits_{i = 1}^j p_i $ ,$ p_i $ are the external momenta, and$ m_j $ are internal masses in the loops. One-loop integrals are solved in the space-time dimension$ d = 4-2\varepsilon $ . Note that one-loop integrals contain the ultraviolet divergences. The divergent part is defined as$ C_{UV} = 1/\varepsilon - \log(4\pi) +\gamma_E $ with the EulerGamma$ \gamma_E\sim 0.57721\cdots $ . Furthermore, a fictitious mass λ is introduced for a virtual photon to regularize the infrared divergences. The parameter$ \mu^2 $ plays a key role as a renormalization scale. Explicit reduction formulas for one-loop one-, two-, three-, and four-point tensor integrals up to rank$ P = 3 $ [118] are presented as follows. For one-loop one-, two-, three-point tensor integrals, we have$ A^{\mu} = 0, $

(A3) $ A^{\mu\nu} = g^{\mu\nu} A_{00}, $

(A4) $ A^{\mu\nu\rho} = 0, $

(A5) $ B^{\mu} = q^{\mu} B_1, $

(A6) $ B^{\mu\nu} = g^{\mu\nu} B_{00} + q^{\mu}q^{\nu} B_{11}, $

(A7) $ B^{\mu\nu\rho} = \{g, q\}^{\mu\nu\rho} B_{001} + q^{\mu}q^{\nu}q^{\rho} B_{111}, $

(A8) and
$ C^{\mu} = q_1^{\mu} C_1 + q_2^{\mu} C_2 = \sum\limits_{i = 1}^2q_i^{\mu} C_i, $

(A9) $ C^{\mu\nu} = g^{\mu\nu} C_{00} + \sum\limits_{i,j = 1}^2q_i^{\mu}q_j^{\nu} C_{ij}, $

(A10) $ C^{\mu\nu\rho} = \sum\limits_{i = 1}^2 \{g,q_i\}^{\mu\nu\rho} C_{00i}+ \sum\limits_{i,j,k = 1}^2 q^{\mu}_i q^{\nu}_j q^{\rho}_k C_{ijk}. $

(A11) For one-loop four-point tensor functions, the reduction formulas are given by
$ D^{\mu} = q_1^{\mu} D_1 + q_2^{\mu} D_2 + q_3^{\mu}D_3 = \sum\limits_{i = 1}^3q_i^{\mu} D_i, $

(A12) $ D^{\mu\nu} = g^{\mu\nu} D_{00} + \sum\limits_{i,j = 1}^3q_i^{\mu}q_j^{\nu} D_{ij}, $

(A13) $ D^{\mu\nu\rho} = \sum\limits_{i = 1}^3 \{g,q_i\}^{\mu\nu\rho} D_{00i}+ \sum\limits_{i,j,k = 1}^3 q^{\mu}_i q^{\nu}_j q^{\rho}_k D_{ijk}. $

(A14) The tensor
$ \{g, q_i\}^{\mu\nu\rho} $ [118] is given by$ \{g, q_i\}^{\mu\nu\rho} = g^{\mu\nu} q^{\rho}_i + g^{\nu\rho} q^{\mu}_i + g^{\mu\rho} q^{\nu}_i $ . The scalar Passarino-Veltman functions (PV-functions) [118] are$ A_{00}, B_1, \cdots, D_{333} $ on the right hand side. The PV-functions are calculated in terms of the basic scalar one-loop functions with$ N\leq 4 $ , e.g.,$ A_0 $ -,$ B_0 $ -,$ C_0 $ -, and$ D_0 $ - scalar functions, which are implemented into$ {\tt LoopTools}$ [101] and$ {\tt Collier}$ [102] for numerical computation. -
In this appendix, we show the analytic results for the one-loop form factors given in the Eqs. (11) and (12). In the analytic expressions, we use the following kinematic variables:
$ x_{t(u)} = \dfrac{\hat{t}(\hat{u})}{\hat{s} }, \quad x_{\phi_{i,j,k}} = \dfrac{M_{\phi_{i,j,k}}^2 } {\hat{s} }, $

(B1) $ x_{f} = \dfrac{m_f^2}{\hat{s}}, \quad x_{W} = \dfrac{M_W^2} {\hat{s} }, \quad x_{S} = \dfrac{M_S^2}{\hat{s} } $

(B2) for
$ S\equiv S^Q \equiv H^{\pm} $ ,$ K^{\pm\pm} $ in the following results. We first arrive at the factors$ F_{12,f/W/S}^{\text{Trig}} $ calculated from one-loop triangle with connecting to$ \phi_k^* $ -poles. The factors are expressed in terms of scalar one-loop three-point functions$ C_0 $ . We first consider all fermions propagating in the loop; as plotted in Fig. 1 ($ G_1 $ ), the factors are given explicitly as$ F_{12,f}^{\text{Trig}} = \dfrac{1 }{4 \pi ^2} \Big[ 4 x_f + 2 m_f^2 \big( 4 x_f-1 \big) C_0(0,\hat{s},0; m_f^2,m_f^2,m_f^2) \Big]. $

(B3) We next consider one-loop diagrams with the W boson exchanged in the loop in connection with
$ \phi_k^* $ -poles ($ G_2 $ ), as shown in Fig. 1. The corresponding factors are given by$\begin{aligned}[b] F_{12,W}^{\text{Trig}} = \;&\dfrac{e^2}{8\pi^2\; M_W^2} \Big[ x_{\phi_k} + 6 x_W + 2M_W^2 \big( x_{\phi_k} + 6 x_W - 4 \big) \\& \times C_0(0,\hat{s},0;M_W^2,M_W^2,M_W^2) \Big]. \end{aligned} $

(B4) Furthermore, considering singly (as well as doubly) charged Higgses in the loop, as plotted in Fig. 1 (
$ G_3 $ ), the respective factors are determined as$ F_{12,S}^{\text{Trig}} = - \dfrac{ e^2 Q_S^2 }{4 \pi ^2 \; \hat{s} } \Big[ 1 + 2 M_S^2 \, C_0(0,\hat{s},0; M_S^2,M_S^2,M_S^2) \Big]. $

(B5) Here,
$ Q_S $ denotes charged quantum numbers for charged scalars (S).We then determine the factors contributing from the one-loop box diagrams with fermions f, W-bosons, and singly (doubly) charged Higgs S internal lines, denoted as
$ F_{ab, P}^{\text{Box}} $ with$ ab \equiv 12, 33 $ and$ P = f,\; W,\; S $ . For all fermions propagating in the loop, the factors are in the form$ \begin{array}{l} F_{ab,f}^{\text{Box}} = \dfrac{1}{4 \pi ^2} \Bigg[ \delta_{ab}^f + \eta_{ab,f}^{(0)} \cdot C_0(0,\hat{s},0; m_f^2,m_f^2,m_f^2) \\ \;\;\;\;\;\;\;\;\;\;\;\;\;\;\;\; + \eta_{ab,f}^{(1)} \cdot C_0(M_{\phi_i}^2,M_{\phi_j}^2, \hat{s};m_f^2,m_f^2,m_f^2) \\ \;\;\;\;\;\;\;\;\;\;\;\;\;\;\;\; + \eta_{ab,f}^{(2)} \cdot C_0(\hat{t},M_{\phi_i}^2,0 ;m_f^2,m_f^2,m_f^2) \\ \;\;\;\;\;\;\;\;\;\;\;\;\;\;\;\; + \eta_{ab,f}^{(3)} \cdot C_0(M_{\phi_i}^2,0, \hat{u};m_f^2,m_f^2,m_f^2) \\ \;\;\;\;\;\;\;\;\;\;\;\;\;\;\;\; + \eta_{ab,f}^{(4)} \cdot C_0(0,M_{\phi_j}^2,\hat{t} ;m_f^2,m_f^2,m_f^2) \\ \;\;\;\;\;\;\;\;\;\;\;\;\;\;\;\; + \eta_{ab,f}^{(5)} \cdot C_0(\hat{u},M_{\phi_j}^2,0 ;m_f^2,m_f^2,m_f^2) \\ \;\;\;\;\;\;\;\;\;\;\;\;\;\;\;\; + \zeta_{ab,f}^{(0)} \cdot D_0(0,M_{\phi_j}^2,M_{\phi_i}^2,0 ;\hat{t},\hat{s}; m_f^2,m_f^2,m_f^2,m_f^2) \\ \;\;\;\;\;\;\;\;\;\;\;\;\;\;\;\; + \zeta_{ab,f}^{(1)} \cdot D_0(0,M_{\phi_i}^2,M_{\phi_j}^2,0 ;\hat{u},\hat{s}; m_f^2,m_f^2,m_f^2,m_f^2) \\ \;\;\;\;\;\;\;\;\;\;\;\;\;\;\;\; + \zeta_{ab,f}^{(2)} \cdot D_0(M_{\phi_i}^2,0,M_{\phi_j}^2,0 ;\hat{u},\hat{t}; m_f^2,m_f^2,m_f^2,m_f^2) \Bigg]. \end{array} $

(B6) In this formulas, we have used the notations
$ \delta_{12}^f = 4 x_f $ ,$ \delta_{33}^f = 0 $ . All presented coefficients in the above-mentioned factors are given by$ \begin{aligned}[b] \eta_{12,f}^{(0)} =\;& \dfrac{ m_f^2 }{ \Big[ (x_{\phi_i}-x_t) (x_{\phi_j}-x_t) +x_t \Big]^2 } \\ & \times \Bigg\{ 2 x_{\phi_i}^2 \Big[ 4 x_f [ 1 + (x_{\phi_j}-x_t)^2 ] -2 x_{\phi_j}+x_t+1 \Big] \\& + 8 x_t^2 x_f ( 1-x_{\phi_j}+x_t )^2 - x_{\phi_i}^3 \\ & + x_{\phi_i} \Big[ 2 x_t^2 [ 8 x_f (2 x_{\phi_j} - x_t - 1) - 1 ] + (1 - x_{\phi_j}) \\& \big( 16 x_{\phi_j} x_t x_f - 8 x_f - 2 x_t + x_{\phi_j} - 1 \big) \Big] \Bigg\}, \end{aligned} $

(B7) $\begin{aligned}\\[-8pt] \eta_{12,f}^{(1)} = \dfrac{ m_f^2 \; x_{\phi_i} \big( x_{\phi_i}+x_{\phi_j}- 8 x_f-1 \big) \Big[ x_{\phi_i}^2 + x_{\phi_j}^2 + 1 + 2 (x_t + 1) \big( x_t - x_{\phi_i} - x_{\phi_j} \big) \Big] }{\Big[ (x_{\phi_i}-x_t) (x_{\phi_j}-x_t) + x_t \Big]^2}, \end{aligned}$ 
(B8) $ \begin{aligned}[b] \eta_{12,f}^{(2)} =& \dfrac{ m_f^2 \; (x_{\phi_i}-x_t)^2 }{\Big[ (x_{\phi_i}-x_t) (x_{\phi_j}-x_t) + x_t \Big]^2} \times \Bigg\{ (8 x_f-x_{\phi_i}-x_{\phi_j}) \Big[ x_t^2 (x_{\phi_i}+2 x_{\phi_j} - x_t - 2) + x_{\phi_i} x_{\phi_j}^2 \Big] + x_t \Big[ (2 x_{\phi_i} +x_{\phi_j}-2) \\& \big[ x_{\phi_j} (x_{\phi_i}+x_{\phi_j}) - 8 x_f x_{\phi_j} \big] - 8 x_f + x_{\phi_j} \Big] + x_{\phi_i} x_{\phi_j} \Bigg\}. \end{aligned} $

(B9) We also have the following coefficients:
$ \begin{aligned}[b] \zeta_{12,f}^{(0)} = \;& \dfrac{ \hat{s}^2 \; x_f } { \Big[ (x_{\phi_i} - x_t) (x_{\phi_j} - x_t) + x_t \Big]^2} \Bigg\{ 16 x_f^2 \Big[ (x_{\phi_i}-x_t) (x_{\phi_j}-x_t) +x_t \Big] \times \Big[ x_{\phi_i} (x_{\phi_j} + 1) - x_t (x_{\phi_i}+x_{\phi_j} - x_t - 1) \Big] \\& +2 x_f \Big\{ -x_{\phi_i}^2 x_{\phi_j} \Big[ x_{\phi_j} (x_{\phi_i}+x_{\phi_j}+2) + x_{\phi_i} - 1 \Big] + x_t^3 (x_{\phi_i}+x_{\phi_j}+1) \Big[ - x_t + 2 \big( x_{\phi_i} +x_{\phi_j}-1 \big) \Big] \\& -x_t^2 \Big[ x_{\phi_i} \big[ x_{\phi_j} \big( 5 x_{\phi_i} + 5 x_{\phi_j} + 1 \big) + x_{\phi_i}^2 + 2 \big] +(x_{\phi_j}-1)^2 (x_{\phi_j}+1) \Big] \\& + x_{\phi_i} x_t (x_{\phi_i}+x_{\phi_j}-1) \Big[ x_{\phi_i} (2 x_{\phi_j} + 1) + x_{\phi_j} (2 x_{\phi_j}+3) - 1 \Big] \Big\} + x_{\phi_i} x_t \big( x_{\phi_i} x_{\phi_j}+x_t^2 \big) \Bigg\}, \end{aligned} $

(B10) $ \begin{aligned}[b] \zeta_{12,f}^{(2)} =\;& \dfrac{ \hat{s}^2 \, x_f }{\Big[ (x_{\phi_i}-x_t) (x_{\phi_j}-x_t) + x_t \Big]} \Bigg\{ 16 x_f^2 \Big[ -x_t (x_{\phi_i}+x_{\phi_j}-x_t-1) + x_{\phi_i} (x_{\phi_j}+1) \Big] -2 x_f \Big\{ x_t^2 \Big[ 4 \big( x_{\phi_i}^2+x_{\phi_j}^2 \big) \\ & - 7 \big( x_{\phi_i}+x_{\phi_j} \big) + 16 x_{\phi_i} x_{\phi_j} + 5 \Big] + x_{\phi_i} \Big[ x_{\phi_i} \big( 4 x_{\phi_j}^2+x_{\phi_j}+1 \big) + x_{\phi_j} (x_{\phi_j}+2)-1 \Big] -x_t (x_{\phi_i}+x_{\phi_j}-1) \\ & \Big[ x_{\phi_i} \big( 8 x_{\phi_j} + 1 \big) + x_{\phi_j} + 1 \Big] + 4 x_t^3 \big[ x_t - 2 (x_{\phi_i} + x_{\phi_j} -1 ) \big] \Big\} + (x_{\phi_i}+x_{\phi_j}) \Big[ (x_{\phi_i}-x_t) (x_{\phi_j}-x_t) + x_t \Big]^2 \Bigg\}. \end{aligned} $

(B11) The corresponding coefficients for the factors
$ F_{33,f}^{\text{Box}} $ are expressed as follows:$ \begin{aligned}[b] \eta_{33,f}^{(0)} =\; &\dfrac{ m_f^2 }{\Big[ (x_{\phi_i}-x_t) (x_{\phi_j}-x_t) + x_t \Big]^2} \Bigg\{ 8 x_f (x_{\phi_i}+x_{\phi_j}-1) + x_{\phi_i} \big( 2 x_t -4 x_{\phi_j}-x_{\phi_i} + 2 \big) + 2 x_t (x_{\phi_j}-x_t-1) - (x_{\phi_j}-1)^2 \Bigg\}, \end{aligned} $

(B12) $ \eta_{33,f}^{(1)} = \dfrac{1}{x_{\phi_i}} \times \eta_{12,f}^{(1)}, $

(B13) $ \eta_{33,f}^{(2)} = \dfrac{ m_f^2 \; \big( x_{\phi_i}-x_t \big) \Big[ x_t \big(x_t-8 x_f \big) + x_{\phi_i} x_{\phi_j} \Big] }{\Big[ (x_{\phi_i}-x_t) (x_{\phi_j}-x_t) + x_t \Big]^2}, $

(B14) $\begin{aligned}[b] \zeta_{33,f}^{(0)} =\;& \dfrac{ s^2 \, x_f }{\Big[ (x_{\phi_i}-x_t) (x_{\phi_j}-x_t) + x_t \Big]^2} \times \Bigg\{ 16 x_f^2 \Big[ (x_{\phi_i}-x_t) (x_{\phi_j}-x_t) + x_t \Big] + x_t \big( x_{\phi_i} x_{\phi_j} + x_t^2 \big) +2 x_f \Big[ -x_t^2 (x_{\phi_i}+x_{\phi_j}+3)\\& + \big[ x_t (x_{\phi_i}+x_{\phi_j}-1) - x_{\phi_i} x_{\phi_j} \big] (x_{\phi_i}+x_{\phi_j}-1) \Big] \Bigg\}, \end{aligned} $

(B15) and we also have
$ \zeta_{33,f}^{(2)} = \dfrac{ 2m_f^4 \; \big( 8 x_f-x_{\phi_i}-x_{\phi_j}+1 \big) }{\Big[ (x_{\phi_i}-x_t) (x_{\phi_j}-x_t) + x_t \Big]}. $

(B16) We next consider one-loop box diagrams with vector boson
$ W $ in the loop. The factors are presented as follows:$ \begin{aligned}[b] F_{ab,W}^{\text{Box},1} =\;& \dfrac{e^2}{(4 \pi)^2} \dfrac{1}{ M_W^2 } \Bigg\{ \delta_{ab}^W + \varepsilon_{ab}^W \Big[ B_0(\hat{s}; M_W^2,M_W^2) - B_0(0; M_W^2,M_W^2) \Big] + \eta_{ab,W}^{(0)} \cdot C_0(0,\hat{s},0; M_W^2,M_W^2,M_W^2) + \eta_{ab,W}^{(1)} \\& \cdot C_0(M_{\phi_i}^2, M_{\phi_j}^2,\hat{s}; M_W^2,M_W^2,M_W^2) + \eta_{ab,W}^{(2)} \cdot C_0(\hat{t},M_{\phi_i}^2,0; M_W^2,M_W^2,M_W^2) + \eta_{ab,W}^{(3)} \\&\cdot C_0(M_{\phi_i}^2,0,\hat{u}; M_W^2,M_W^2,M_W^2) + \eta_{ab,W}^{(4)} \cdot C_0(0,M_{\phi_j}^2,\hat{t}; M_W^2,M_W^2,M_W^2) + \eta_{ab,W}^{(5)} \cdot C_0(\hat{u},M_{\phi_j}^2,0; M_W^2,M_W^2,M_W^2) \\& + \zeta_{ab,W}^{(0)} \cdot D_0(0,M_{\phi_j}^2,M_{\phi_i}^2,0 ;\hat{t},\hat{s}; M_W^2,M_W^2,M_W^2,M_W^2) + \zeta_{ab,W}^{(1)} \cdot D_0(0,M_{\phi_i}^2,M_{\phi_j}^2,0 ;\hat{u},\hat{s}; M_W^2,M_W^2,M_W^2,M_W^2) \\ &+ \zeta_{ab,W}^{(2)} \cdot D_0(M_{\phi_i}^2,0,M_{\phi_j}^2,0 ;\hat{u},\hat{t}; M_W^2,M_W^2,M_W^2,M_W^2) \Bigg\}, \end{aligned} $

(B17) $ \begin{array}{l} F_{12,W}^{\text{Box, 2}} = \dfrac{e^2}{(4\pi)^2} \dfrac{2}{\hat{s} } \Bigg\{ 5 +2 \Big[ B_0(\hat{s},M_W^2,M_W^2) - B_0(0,M_W^2,M_W^2) \Big] + 2 \hat{s} \big( 5 x_W - 2 \big) C_0(0,\hat{s},0,M_W^2,M_W^2,M_W^2) \Bigg\}, \end{array} $

(B18) $ F_{12,W}^{\text{Box, 3}} = -\dfrac{e^2}{(4\pi)^2} \dfrac{4}{\hat{s}} \Bigg[ 1 + 2 x_W \; \hat{s} \; C_0(0,\hat{s},0; M_W^2,M_W^2,M_W^2) \Bigg]. $

(B19) where we define the functions
$ \varepsilon_{12}^W = \dfrac{2}{\hat{s} } $ ,$ \delta_{12}^W = - \dfrac{1}{\hat{s} } $ ,$ \varepsilon_{33}^W = 0 $ , and$ \delta_{33}^W = 0 $ . All coefficients involved with one-loop form factors are calculated from the$ W $ -boson box diagram contributions. The coefficients are given explicitly as follows:$ \begin{aligned}[b] \eta_{12,W}^{(0)} =\;& \dfrac{1}{x_W \Big[ (x_{\phi_i}-x_t) (x_{\phi_j}-x_t) + x_t \Big]^2} \times \Bigg\{ - 2 x_t^2 x_W \big(x_W+2\big) \big(1 -x_{\phi_j}+x_t \big)^2 + x_{\phi_i}^2 \Big\{ x_{\phi_j} - x_{\phi_j}^2 \Big[ 2 x_W \big(x_W+2 \big) + 1 \Big]\\& + 4 x_{\phi_j} x_W \Big[ x_t \big(x_W+2 \big) + 3 \Big] - 2 x_W \Big[ x_t \big( 2 x_t +4 \big) + \big( x_t^2 + 6 \big) x_W + 3 \Big] \Big\} + 2 x_{\phi_i} x_W \Big\{ x_{\phi_j}^2 \Big[ 2 x_t \big(x_W+2 \big) + 1 \Big] \\ & - x_{\phi_j} \Big[ 2 x_t \big( 2 x_t x_W + 4 x_t+x_W+4 \big) +6 x_W+3 \Big] + 2 x_t \big(x_t+1\big) \Big[ x_t \big(x_W+2\big) +2 \Big] +6 x_W+2 \Big\} - x_{\phi_i}^3 \big( x_{\phi_j} - 2 x_W \big) \Bigg\}, \end{aligned} $

(B20) $\begin{array}{l} \eta_{12,W}^{(1)} = \dfrac{ x_{\phi_i} } { x_W \Big[ (x_{\phi_i}-x_t) (x_{\phi_j}-x_t) + x_t \Big]^2 } \times \Big[ x_{\phi_i} x_{\phi_j} - 2 x_W (x_{\phi_i}+x_{\phi_j}-6 x_W-2) \Big] \times \Big[ x_{\phi_i}^2 + x_{\phi_j}^2 + 1 + 2 \big( x_t - x_{\phi_i} - x_{\phi_j} \big) \big( x_t+1 \big) \Big], \end{array} $

(B21) $ \begin{aligned}[b] \eta_{12,W}^{(2)} =\;& - \dfrac{ (x_{\phi_i}-x_t)^2 }{ x_W \Big[ (x_{\phi_i}-x_t) (x_{\phi_j}-x_t) + x_t \Big]^2 } \times \Bigg\{ x_{\phi_i} \big( x_{\phi_j}-x_t \big)^2 \Big[ x_{\phi_i} \big( x_{\phi_j}-2 x_W \big) + 12 x_W^2 \Big] -2 x_{\phi_i} x_W \Big[ x_{\phi_j} \big(x_{\phi_j}^2 + 2 x_t -2 \big) \\& - x_t^2 \big( x_t - 3 x_{\phi_j} + 2 \big) + x_t \big( 1 - 3 x_{\phi_j}^2 \big) \Big] + x_t \big( 1-x_{\phi_j}+x_t \big)^2 \Big[ 2 x_W \big( x_{\phi_j}-6 x_W \big) - x_{\phi_i} x_{\phi_j} \Big] \Bigg\}. \end{aligned} $

(B22) All coefficients for scalar one-loop four-point functions in the above equations are given by
$ \begin{aligned}[b] \zeta_{12,W}^{(0)} =\;& \dfrac{ \hat{s} }{x_W \Big[ (x_{\phi_i}-x_t) (x_{\phi_j}-x_t) + x_t \Big]^2} \times \Bigg\{ 2 x_W x_{\phi_i}^3 \big( x_t - x_{\phi_j} \big) \Big[ x_{\phi_j}^2 - x_{\phi_j} \big(x_t+2 x_W+1 \big) + 2 x_W \big(x_t-1 \big) + 2 x_t \Big] \\& + x_{\phi_i}^2 \Big\{ 2 x_t x_W \Big[ x_{\phi_j}^2 \big(2 x_{\phi_j}-5 \big) + 2 x_t^2 \big(x_{\phi_j}-2 \big) + x_{\phi_j} x_t \big(9-4 x_{\phi_j} \big) + x_{\phi_j}-3 x_t \Big] + 4 x_W^2 \Big[ x_t^2 \big(5 x_{\phi_j}+1 \big) \\& + x_t \big( -4 x_{\phi_j}^2 -4 x_{\phi_j} + 3 \big) + x_{\phi_j} \big( x_{\phi_j}^2 + 3 x_{\phi_j} - 2 \big) - 2 x_t^3 \Big] - 24 x_W^3 \big(x_{\phi_j}-x_t \big) \big(x_{\phi_j}-x_t+1 \big) + x_{\phi_j} x_t^2 \Big\} \\& + 2 x_{\phi_i} x_t x_W \Big\{ x_t \Big[ 2 x_{\phi_j}^2 \big(x_t+2 \big) - x_{\phi_j} \big(x_t^2 + 6x_t + 4 \big) + 2 \big(x_t^2+x_t+1\big) - x_{\phi_j}^3 \Big] \\& + 2 x_W \Big[ x_t^3 - 2 x_t - 2 - 2 x_t^2 \big(2 x_{\phi_j}+1 \big) + 5 x_{\phi_j} x_t \big(x_{\phi_j}+1 \big) + x_{\phi_j} \big(7- 2 x_{\phi_j}^2 - 3 x_{\phi_j} \big) \Big] \\& + 12 x_W^2 \big(x_{\phi_j}-x_t-1 \big) \big(2 x_{\phi_j} -2 x_t+1 \big) \Big\} + 4 x_t^2 x_W^2 \big(x_{\phi_j}-6 x_W+2 \big) \big(1-x_{\phi_j}+x_t \big)^2 \Bigg\}, \end{aligned} $

(B23) $\begin{aligned}[b] \zeta_{12,W}^{(2)} =\;& \dfrac{\hat{s} } {x_W \Big[ (x_{\phi_i}-x_t) (x_{\phi_j}-x_t) + x_t \Big]} \Bigg\{ x_{\phi_i}^3 \big(x_{\phi_j}-2 x_W \big) \big(x_{\phi_j}-x_t \big)^2 + 2 x_{\phi_i}^2 \Big\{ 2 x_W^2 \Big[ x_{\phi_j} \big( 3 x_{\phi_j} - 6 x_t + 1 \big) + x_t \big(3 x_t-1 \big) + 1 \Big] \\& - x_W \Big[ x_{\phi_j}^2 \big(x_{\phi_j}-4 x_t+1 \big) + x_{\phi_j} \big(5 x_t^2+x_t-1\big) - 2 x_t \big(x_t^2+x_t-1\big) \Big] \\& - x_{\phi_j} x_t \big(x_{\phi_j}-x_t \big) \big(x_{\phi_j}-x_t-1 \big) \Big\} + x_{\phi_i} \Big\{ -4 x_W^2 \Big[ x_{\phi_j}^2 \big(6 x_t-1 \big) -x_{\phi_j} \big( 12 x_t^2 + 4 x_t + 3 \big) + x_t \big(6 x_t^2 + 5 x_t + 1 \big) + 2 \Big] \\& + 2 x_t x_W \big(x_{\phi_j}-x_t-1 \big) \Big[ x_t \big( x_t + 1 \big) - 2 + x_{\phi_j} \big( 2 x_{\phi_j} - 3 x_t + 1 \big) \Big] + x_{\phi_j} x_t^2 \big(-x_{\phi_j}+x_t+1 \big)^2 - 24 x_W^3 \big(x_{\phi_j}-x_t+1 \big) \Big\} \\& - 2 x_t x_W \big(x_{\phi_j}-x_t-1 \big) \times \Big[ x_t \big(x_{\phi_j}-6 x_W \big) \big( x_{\phi_j} - x_t - 1 \big) + 2 x_W \big(x_{\phi_j}-6 x_W + 2 \big) \Big] \Bigg\}.\end{aligned} $

(B24) Furthermore, the coefficients are as follows in the factors
$ F_{33,W}^{\text{Box}} $ $ \begin{aligned}[b] \eta_{33,W}^{(0)} =\;& \dfrac{1}{x_W \Big[ (x_{\phi_i}-x_t) (x_{\phi_j}-x_t) + x_t \Big]^2} \Bigg\{ \big( 12 x_W^2 + x_{\phi_i} x_{\phi_j} \big) \big( 1-x_{\phi_i}-x_{\phi_j} \big) + 2 x_W \Big[ x_{\phi_i} \big( x_{\phi_i} +6 x_{\phi_j}-4 x_t-3 \big)\\& + \big(x_{\phi_j}-2 x_t \big)^2 - 3 x_{\phi_j} + 4 x_t + 2 \Big] \Bigg\}, \end{aligned} $

(B25) $ \eta_{33,W}^{(1)} = \dfrac{1}{x_{\phi_i}} \times \eta_{12,W}^{(1)}, $

(B26) $ \eta_{33,W}^{(2)} = \dfrac{\big(x_{\phi_i}-x_t \big) \Big[ x_{\phi_i} x_{\phi_j} \big(x_t-4 x_W \big) + 2 x_t x_W \big(x_{\phi_j} + x_{\phi_i} - 2 x_t+6 x_W \big) \Big] }{ x_W \Big[ (x_{\phi_i}-x_t) (x_{\phi_j}-x_t) + x_t \Big]^2}. $

(B27) Furthermore, we obtain
$\begin{aligned}[b] \zeta_{33,W}^{(0)} = \;&\dfrac{\hat{s} }{x_W \Big[ (x_{\phi_i}-x_t) (x_{\phi_j}-x_t) +x_t \Big]^2} \times \Bigg\{ 2 x_{\phi_i}^2 x_W \big(x_{\phi_j}-x_t \big) \big(x_{\phi_j}-2 x_t+2 x_W \big) + 8 x_W^2 x_{\phi_i} x_t \\& + x_{\phi_i} \Big\{ 4 x_W^2 \Big[ x_{\phi_j}^2 + \big(x_t - 2 x_{\phi_j}\big) \big(x_t+1\big) \Big] + 2 x_t x_W \Big[ x_{\phi_j} \big( - 3 x_{\phi_j} + 7 x_t + 1\big) - x_t \big(4 x_t+3\big) \Big] \\& + 24 x_W^3 \big(x_t-x_{\phi_j}\big) + x_{\phi_j} x_t^2 \Big\} +2 x_t x_W \Big\{ x_t \Big[ x_{\phi_j} \big(2 x_{\phi_j} - 4 x_t - 3\big) + 2 \big(x_t^2+x_t+1\big) \Big] \\& +12 x_W^2 \big(x_{\phi_j}-x_t-1 \big) +2 x_W \Big[ x_{\phi_j} \big(-x_{\phi_j}+x_t+3 \big) + x_t-2 \Big] \Big\} \; \Bigg\},\end{aligned} $

(B28) $ \zeta_{33,W}^{(2)} = \dfrac{2 \hat{s} \Big[ x_{\phi_i} \big( x_{\phi_j} - 2 x_t+2 x_W \big) + 2 x_W \big(x_{\phi_j}-6 x_W-2 \big) + 2 x_t \big( x_t - x_{\phi_j} + 1 \big) \Big] }{\Big[ (x_{\phi_i}-x_t) (x_{\phi_j}-x_t) + x_t \Big]}. $

(B29) Moreover, the remaining factors with subscripts
$ P \equiv f, W, S $ are directly expressed by the following relations:$ \eta_{ab,P}^{(3)} \equiv \eta_{ab,P}^{(2)} \, \big(x_t \leftrightarrow x_u \big),\;\;\;\;\;\;\;\; \eta_{ab,P}^{(4)} = \dfrac{x_{\phi_j} - x_t}{x_{\phi_i} - x_t} \times \eta_{ab,P}^{(2)}, $

(B30) $ \eta_{ab,P}^{(5)} = \dfrac{x_{\phi_j} - x_u}{x_{\phi_i} - x_u} \times \eta_{ab,P}^{(3)},\;\;\;\;\;\;\;\; \zeta_{ab,P}^{(1)} \equiv \zeta_{ab,P}^{(0)} \, \big(x_t \leftrightarrow x_u \big). $

(B31) For the contributions of singly (doubly) charged Higgses exchanging in the loop, the factors are given by
$ \begin{aligned}[b] F_{ab,S}^{\text{Box}, 1} =\;& \dfrac{ e^2 Q_S^2 }{4 \pi ^2} \Bigg\{ \eta_{ab,S}^{(0)} \cdot C_0(0,\hat{s},0 ;M_S^2,M_S^2,M_S^2) + \eta_{ab,S}^{(1)} \cdot C_0(M_{\phi_i}^2,M_{\phi_j}^2 ,\hat{s} ;M_S^2,M_S^2,M_S^2) + \eta_{ab,S}^{(2)} \cdot C_0(\hat{t},M_{\phi_i}^2,0 ;M_S^2,M_S^2,M_S^2) \\& + \eta_{ab,S}^{(3)} \cdot C_0(M_{\phi_i}^2,0,\hat{u} ;M_S^2,M_S^2,M_S^2) + \eta_{ab,S}^{(4)} \cdot C_0(0,M_{\phi_j}^2,\hat{t} ;M_S^2,M_S^2,M_S^2) \\& + \eta_{ab,S}^{(5)} \cdot C_0(\hat{u},M_{\phi_j}^2,0 ;M_S^2,M_S^2,M_S^2) + \zeta_{ab,S}^{(0)} \cdot D_0(0,M_{\phi_j}^2,M_{\phi_i}^2,0 ;\hat{t},\hat{s};M_S^2,M_S^2,M_S^2,M_S^2) \\& + \zeta_{ab,S}^{(1)} \cdot D_0(0,M_{\phi_i}^2,M_{\phi_j}^2,0 ;\hat{u},\hat{s};M_S^2,M_S^2,M_S^2,M_S^2) + \zeta_{ab,S}^{(2)} \cdot D_0(M_{\phi_i}^2,0,M_{\phi_j}^2,0 ;\hat{u},\hat{t};M_S^2,M_S^2,M_S^2,M_S^2) \Bigg\}, \end{aligned} $

(B32) $ F_{12,S}^{\text{Box},2} = \dfrac{ e^2 Q_S^2 }{4 \pi ^2} \Big[ -\dfrac{1}{\hat{s} } - 2 x_{S} \, C_0(0,\hat{s},0,M_S^2,M_S^2,M_S^2) \Big]. $

(B33) All coefficients related to the above formulas are given explicitly by
$ \eta_{12,S}^{(0)} = -\dfrac{x_{\phi_i} \big( x_{\phi_i}+x_{\phi_j}-1 \big)}{s \Big[\big(x_{\phi_i}-x_t\big) \big(x_{\phi_j}-x_t\big) + x_t \Big]^2}, $

(B34) $ \eta_{12,S}^{(1)} = \dfrac{x_{\phi_i} \Big[ x_{\phi_i}^2 + x_{\phi_j}^2 + 2 \big( x_t - x_{\phi_i} - x_{\phi_j} \big) \big( x_t+1 \big) + 1 \Big] }{s \Big[\big(x_{\phi_i}-x_t\big) \big(x_{\phi_j}-x_t\big) + x_t \Big]^2}, $

(B35) $ \eta_{12,S}^{(2)} = -\dfrac{(x_{\phi_i}-x_t)^2 \Big[ x_{\phi_i} \big( x_{\phi_j}-x_t \big)^2 - x_t \big( -x_{\phi_j}+x_t+1 \big)^2 \Big] }{s \Big[ \big(x_{\phi_i}-x_t\big) \big(x_{\phi_j}-x_t\big) + x_t \Big]^2}. $

(B36) The coefficients of scalar one-loop four-point integrals in the above equations are
$\begin{array}{l} \zeta_{12,S}^{(0)} = \dfrac{1}{ \Big[ \big(x_{\phi_i}-x_t\big) \big(x_{\phi_j}-x_t\big) + x_t \Big]^2} \times \Bigg\{ x_{\phi_i} x_t^2 - 2 x_{S} \Big[ \big( x_{\phi_i}-x_t \big) \big( x_{\phi_j}-x_t \big) + x_t \Big] \times \Big[ -x_t \big( x_{\phi_i}+x_{\phi_j} - 1 \big) +x_{\phi_i} \big( x_{\phi_j}+1 \big) + x_t^2 \Big] \Bigg\}, \end{array} $

(B37) $ \begin{array}{l} \zeta_{12,S}^{(2)} = \dfrac{1}{ \Big[ \big(x_{\phi_i}-x_t\big) \big(x_{\phi_j}-x_t\big) + x_t \Big]} \times \Bigg\{ \Big[ \big(x_{\phi_i}-x_t\big) \big(x_{\phi_j}-x_t\big) + x_t \Big]^2 - 2 x_{S} \Big[ -x_t \big(x_{\phi_i}+x_{\phi_j} - 1\big) + x_{\phi_i} \big(x_{\phi_j}+1\big) + x_t^2 \Big] \Bigg\}. \end{array} $

(B38) Other coefficients are calculated as
$ \eta_{33,S}^{(0)} = \dfrac{1}{x_{\phi_i}} \times \eta_{12,S}^{(0)}, $

(B39) $ \eta_{33,S}^{(1)} = \dfrac{1}{x_{\phi_i}} \times \eta_{12,S}^{(1)}, $

(B40) $ \eta_{33,S}^{(2)} = \dfrac{x_t \big(x_{\phi_i}-x_t\big)}{s \Big[ \big(x_{\phi_i}-x_t\big) \big(x_{\phi_j}-x_t\big) + x_t \Big]^2}, $

(B41) $ \zeta_{33,S}^{(0)} = \dfrac{x_t^2-2 x_{S} \Big[ \big(x_{\phi_i}-x_t\big) \big(x_{\phi_j}-x_t\big) + x_t \Big]}{ \Big[\big(x_{\phi_i}-x_t\big) \big(x_{\phi_j}-x_t\big) + x_t \Big]^2}, $

(B42) $ \zeta_{33,S}^{(2)} = -\dfrac{2 x_{S}}{ \Big[\big(x_{\phi_i}-x_t\big) \big(x_{\phi_j}-x_t\big) + x_t \Big]}. $

(B43) We arrive at contributions of mixing charged Higgs
$ H^\pm $ and vector boson$ W^\pm $ in box diagrams as follows:$ \begin{aligned}[b] F_{ab,W, H^\pm}^{\text{Box}} =\;& \dfrac{e^2}{4 \pi^2} \Bigg\{ \delta_{ab}^{W, H^\pm} + \varepsilon_{ab}^{W, H^\pm} \Big[ B_0(\hat{s},M_W^2,M_W^2) - B_0(0,M_W^2,M_W^2) \Big] + \eta_{ab,W, H^\pm}^{(0)} \cdot C_0(0,\hat{s},0 ;M_W^2,M_W^2,M_W^2) \\& + \eta_{ab,W, H^\pm}^{(1)} \cdot C_0(0,\hat{s},0; M_{H^\pm}^2,M_{H^\pm}^2, M_{H^\pm}^2) + \eta_{ab,W, H^\pm}^{(2)} \cdot \Big[ C_0(M_{\phi_i}^2,\hat{s},M_{\phi_j}^2 ;M_{H^\pm}^2,M_W^2,M_W^2) + C_0(\hat{s},M_{\phi_i}^2,M_{\phi_j}^2 ;M_{H^\pm}^2,M_{H^\pm}^2,M_W^2) \Big] \\& + \eta_{ab,W, H^\pm}^{(3)} \cdot \Big[ C_0(\hat{t},0,M_{\phi_i}^2 ;M_{H^\pm}^2,M_W^2,M_W^2) + C_0(0,\hat{t},M_{\phi_i}^2 ;M_{H^\pm}^2,M_{H^\pm}^2,M_W^2) \Big] + \eta_{ab,W, H^\pm}^{(4)} \cdot \Big[ C_0(\hat{t},0,M_{\phi_j}^2 ;M_{H^\pm}^2,M_W^2,M_W^2) \\& + C_0(0,\hat{t},M_{\phi_j}^2 ;M_{H^\pm}^2,M_{H^\pm}^2,M_W^2) \Big] + \eta_{ab,W, H^\pm}^{(5)} \cdot \Big[ C_0(\hat{u},0,M_{\phi_i}^2 ;M_{H^\pm}^2,M_W^2,M_W^2) \\& + C_0(0,\hat{u},M_{\phi_i}^2 ;M_{H^\pm}^2,M_{H^\pm}^2,M_W^2) \Big] + \eta_{ab,W, H^\pm}^{(6)} \cdot \Big[ C_0(\hat{u},0,M_{\phi_j}^2; M_{H^\pm}^2,M_W^2,M_W^2) \\& + C_0(0,\hat{u},M_{\phi_j}^2; M_{H^\pm}^2,M_{H^\pm}^2,M_W^2) \Big] + \zeta_{ab,W, H^\pm}^{(0)} \cdot D_0(\hat{t},0,\hat{s},M_{\phi_i}^2 ;M_{\phi_j}^2,0; M_{H^\pm}^2,M_W^2,M_W^2,M_W^2) \\& + \zeta_{ab,W, H^\pm}^{(1)} \cdot D_0(\hat{u},0,\hat{s},M_{\phi_j}^2 ;M_{\phi_i}^2,0; M_{H^\pm}^2,M_W^2,M_W^2,M_W^2) + \zeta_{ab,W, H^\pm}^{(2)} \cdot D_0(0,\hat{s},M_{\phi_i}^2,\hat{t} ;0,M_{\phi_j}^2; M_{H^\pm}^2,M_{H^\pm}^2, M_{H^\pm}^2,M_W^2) \\& + \zeta_{ab,W, H^\pm}^{(3)} \cdot D_0(0,\hat{s},M_{\phi_j}^2,\hat{u}; 0,M_{\phi_i}^2; M_{H^\pm}^2,M_{H^\pm}^2, M_{H^\pm}^2,M_W^2) + \zeta_{ab,W, H^\pm}^{(4)} \cdot D_0(0,\hat{u},0,\hat{t} ;M_{\phi_i}^2,M_{\phi_j}^2; M_{H^\pm}^2,M_{H^\pm}^2,M_W^2,M_W^2) \Bigg\}. \end{aligned} $

(B44) In the above equations, we have used the following functions:
$ \varepsilon_{12}^{W, H^\pm} = 2/\hat{s} $ ,$ \delta_{12}^{W, H^\pm} = - 1/\hat{s}, $ $ \varepsilon_{33}^{W, H^\pm} = 0 $ , and$ \delta_{33}^{W, H^\pm} = 0. $ The other coefficients relating to the formulas are given by$ \begin{aligned}[b] \eta_{12,W, H^\pm}^{(0)} =\;& \dfrac{1}{x_W \Big[ (x_{\phi_i}-x_t) (x_{\phi_j}-x_t) + x_t \Big]^2} \times \Bigg\{ x_{\phi_i} x_W \Big[ 2 x_{H^\pm} \big( x_{\phi_i} +x_{\phi_j}-3 x_{H^\pm}+1 \big) + 4 x_{\phi_i} x_{\phi_j} \big( 2 - x_{\phi_j} \big) + x_{\phi_i} \big( x_{\phi_i} - 3 \big) \\& + x_{\phi_j} \big( x_{\phi_j} - 3 \big) + 2 \Big] - 4 x_t^2 x_W \Big[ x_{\phi_i}^2 + x_t^2 + \big( 4 x_{\phi_i} + x_{\phi_j} - 1 \big) \big( x_{\phi_j}-1 \big) \Big] + 8 x_t x_W \big( x_{\phi_i}+x_{\phi_j}-1 \big) \Big[ x_t^2 + x_{\phi_i} \big( x_{\phi_j}-1 \big) \Big] \\& + x_{\phi_i} x_W^2 \Big[ 4 x_t^2 \big( 2 x_{\phi_j}-x_t-1 \big) + \big( 1 - 4 x_{\phi_j} x_t \big) \big( x_{\phi_j}-1 \big) + 6 x_{H^\pm} - 2 \Big] + x_{\phi_i}^2 x_W^2 \Big[ 1 + 2 \big( x_{\phi_j}-x_t \big)^2 \Big] \\& + 2 x_t^2 x_W^2 \big( x_{\phi_j}-x_t-1 \big)^2 + x_{\phi_i} \Big[ \big( x_{H^\pm}-x_{\phi_i} \big) \big( x_{H^\pm}-x_{\phi_j} \big) \big( 2 x_{H^\pm}-x_{\phi_i}-x_{\phi_j}+1 \big) - 2 x_W^3 \Big] \Bigg\}, \end{aligned} $

(B45) $ \begin{aligned}[b] \eta_{12,W, H^\pm}^{(1)} =\;& \dfrac{1}{x_W \Big[ (x_{\phi_i}-x_t) (x_{\phi_j}-x_t) + x_t \Big]^2} \times \Bigg\{ x_{\phi_i} x_{H^\pm}^2 \big( x_{\phi_i}+x_{\phi_j} -2 x_{H^\pm}+6 x_W+1 \big) \\& + x_{H^\pm} \Big\{ x_{\phi_i}^2 \Big[ x_{\phi_i} + 2 x_W - 1 - 4 x_W \big( x_{\phi_j}-x_t \big)^2 \Big] - 2 x_W \Big[ 3 x_{\phi_i} x_W + 2 x_t^2 \big( x_{\phi_j}-x_t-1 \big)^2 \Big] \\& + 2 x_{\phi_i} x_W \Big[ 4 x_{\phi_j} x_t \big( x_{\phi_j}+2 x_t-1 \big) + 4 x_t^2 \big( x_t+1 \big) - 3 \Big] + x_{\phi_i} x_{\phi_j} \big( x_{\phi_j}+2 x_W-1 \big) \Big\} \\& - x_{\phi_i} \big( x_{\phi_i} + x_{\phi_j} -2 x_W-1 \big) \Big[ x_{\phi_i} x_{\phi_j} - x_W \big( x_{\phi_i} +x_{\phi_j}-x_W-2 \big) \Big] \Bigg\},\end{aligned} $

(B46) $ \begin{aligned}[b] \eta_{12,W, H^\pm}^{(2)} =\;& \dfrac{x_{\phi_i}}{x_W \Big[ (x_{\phi_i}-x_t) (x_{\phi_j}-x_t) + x_t \big]^2} \times \Big[ x_{\phi_i}^2 + x_{\phi_j}^2 + 2 \big(x_t+1 \big) \big(x_t - x_{\phi_i} - x_{\phi_j} \big) + 1 \Big] \\& \times \Big[ x_{\phi_i} x_{\phi_j} - x_{H^\pm} \big( x_{\phi_i} +x_{\phi_j} -x_{H^\pm} +2 x_W \big) - x_W \big( x_{\phi_i} +x_{\phi_j} -x_W -2 \big) \Big], \end{aligned} $

(B47) $ \begin{aligned}[b] \eta_{12,W, H^\pm}^{(3)} =\;& \dfrac{ (x_{\phi_i}-x_t)^2 }{x_W \Big[ (x_{\phi_i}-x_t) (x_{\phi_j}-x_t) + x_t \Big]^2} \times \Bigg\{ x_{H^\pm} \big( x_{\phi_i}+x_{\phi_j} -x_{H^\pm}+2 x_W \big) \Big[ x_{\phi_i} \big( x_{\phi_j}-x_t \big)^2 - x_t \big( x_{\phi_j}-x_t-1 \big)^2 \Big] \\& + x_W x_{\phi_i} \Big[ x_{\phi_j} \big( x_{\phi_j}^2 - 3 x_{\phi_j} x_t + 3 x_t^2 + 2 x_t - 2 \big) - x_t \big( x_t^2 + 2 x_t - 1 \big) \Big] + x_{\phi_j} x_t x_{\phi_i} \big( x_{\phi_j}-x_t-1 \big)^2 - x_W^2 x_{\phi_i} \big( x_{\phi_j}-x_t \big)^2 \\& + \big( x_W-x_{\phi_j} \big) \Big[ x_t x_W \big( x_{\phi_j}-x_t-1 \big)^2 + x_{\phi_i}^2 \big( x_{\phi_j}-x_t \big)^2 \Big] \Bigg\}. \end{aligned} $

(B48) Other terms are presented as follows:
$ \begin{aligned}[b] \zeta_{12,W, H^\pm}^{(0)} =\;& \dfrac{ \hat{s} }{x_W \Big[ (x_{\phi_i}-x_t) (x_{\phi_j}-x_t) + x_t \Big]^2} \times \Bigg\{ x_{\phi_i} x_{H^\pm} \Big[ 2 x_{\phi_i}^2 x_W \big( x_{\phi_j} - x_t \big) \big( x_{\phi_j} - x_t + 1 \big) - x_{H^\pm}^2 \big( x_{\phi_i}+x_{\phi_j} - x_{H^\pm}+2 x_t +4 x_W \big) \Big] \\& - 2 x_{\phi_i}^3 x_W \big( x_{\phi_j}-x_t \big) \Big[ 2 x_t + x_W \big( x_t-1 \big) - x_{\phi_j} \big( x_t+x_W-x_{\phi_j}+1 \big) \Big] + 2 x_W x_t^2 \big( x_{\phi_j}-x_t-1 \big)^2 \Big[ x_W \big( x_{\phi_j}-x_W \big) \\& + x_{H^\pm} \big( x_{\phi_j}+2 x_W-2 \big) \Big] + x_{\phi_i} x_{\phi_j} x_t^2 \big( x_{\phi_i} - x_{H^\pm} \big) + x_{H^\pm}^2 \Big\{ x_{\phi_i}^2 \Big[ x_{\phi_j} + 2 x_t + x_W - 2 x_W \big( x_{\phi_j}-x_t \big) \big( x_{\phi_j}-x_t+1 \big) \Big] \\& + x_{\phi_i} \Big[ x_{\phi_j} x_W \big( 4 x_{\phi_j} x_t + 1 \big) - 2 x_{\phi_j} x_t \big( 4 x_t x_W + x_W-1 \big) + 2 x_W \big( 2 x_t + 1 \big) \big( x_t^2 + 1 \big) + x_t^2 + 6 x_W^2 \Big] - 2 x_t^2 x_W \big( x_{\phi_j}-x_t\\& - 1 \big)^2 \Big\} + x_{\phi_i}^2 x_{H^\pm} \Big\{ 2 x_W \big( x_{\phi_j} - x_t \big) \Big[ x_t \big( 2 x_t - 3 x_{\phi_j} + 3 \big) + x_{\phi_j} \big( x_{\phi_j} - 1 \big) + 1 \Big] + x_W^2 \big( 2 x_{\phi_j} - 2 x_t+1 \big)^2 - x_t \big( 2 x_{\phi_j} +x_t \big) \Big\} \\& + x_{\phi_i} x_{H^\pm} \Big\{ x_W^2 \Big[ x_{\phi_j} - 4 x_W - 2 x_t \big( 4 x_{\phi_j}^2 + 4 x_t^2 + 2 x_t + 1 \big) + 4 x_{\phi_j} x_t \big( 4 x_t+1 \big) - 4 \Big] + 2 x_t x_W \Big[ x_{\phi_j}^2 \big( 5 x_t -2 x_{\phi_j} +5 \big) \\& - x_{\phi_j} \big( 4 x_t^2 +11x_t +5 \big) + x_t \big( x_t^2+6x_t+6 \big) \Big] \Big\} + x_{\phi_i}^2 \Big\{ x_W^3 \Big[ 2 x_t \big( 2 x_{\phi_j}- x_t+1 \big) - 2 x_{\phi_j} \big( x_{\phi_j}+1 \big) - 1 \Big] \\& + x_W^2 \Big[ x_{\phi_j} \big( 2 x_{\phi_j}^2 +2 x_{\phi_j}-7 \big) + 2 x_t^2 \big( 5 x_{\phi_j} - 2 x_t-1 \big) - 8 x_t \big( x_{\phi_j}^2-1 \big) \Big] + x_t x_W \Big[ x_t \big( 18 x_{\phi_j} -8 x_{\phi_j}^2-5 \big) \\& + 2 x_{\phi_j} \big( x_{\phi_j}-2 \big) \big( 2 x_{\phi_j}-1 \big) + 4 x_t^2 \big( x_{\phi_j}-2 \big) \Big] \Big\} + x_{\phi_i} x_W \Big\{ 2 x_t x_W \big( 1-2 x_{\phi_j} \big) \big( x_{\phi_j}^2-x_{\phi_j} x_W-2 \big) \\& + 2 x_t^4 \big( x_W-x_{\phi_j}+2 \big) + 4 x_t^3 \Big[ x_{\phi_j} \big( x_{\phi_j}-3 \big) + x_W \big( x_W-2 x_{\phi_j}+1 \big) + 1 \Big] + x_t^2 \Big[ 2 x_W^2 \big( 1-4 x_{\phi_j} \big) \\& + 2 x_{\phi_j} x_W \big( 5 x_{\phi_j}-3 \big) + x_{\phi_j} \big( 8 x_{\phi_j} -2 x_{\phi_j}^2 -7 \big) - 5 x_W + 2 \Big] + x_W^2 \big( x_W-x_{\phi_j}+2 \big) \Big\} \Bigg\}, \end{aligned} $

(B49) $ \begin{aligned}[b] \zeta_{12,W, H^\pm}^{(2)} = \;&\dfrac{\hat{s}}{x_W \Big[ (x_{\phi_i}-x_t) (x_{\phi_j}-x_t) + x_t \Big]^2}\times \Big[ x_{\phi_i} x_{\phi_j} - x_{H^\pm} \big( x_{\phi_i} +x_{\phi_j} -x_{H^\pm}+2 x_W \big) - x_W \big( x_{\phi_i} +x_{\phi_j}-x_W -2 \big) \Big] \\& \times \Bigg\{ x_{\phi_i} \Big[ x_{H^\pm}^2 + \big( x_t-x_W \big)^2 \Big] - 2 x_{H^\pm} \Big[ x_{\phi_i}^2 \big( x_{\phi_j}-x_t \big) \big( x_{\phi_j}-x_t+1 \big) \\& - x_{\phi_i} x_t \big(x_{\phi_j} - x_t \big) \big(2 x_{\phi_j} -2 x_t-1 \big) + x_t^2 \big( x_{\phi_j} -x_t-1 \big)^2 + x_{\phi_i} x_W \Big] \Bigg\},\end{aligned} $

(B50) $ \zeta_{12,W, H^\pm}^{(4)} = \dfrac{2 \hat{s} }{x_W \Big[ (x_{\phi_i}-x_t) (x_{\phi_j}-x_t) + x_t \Big]^2} \times \kappa_{12,W, H^\pm}^{(4)}, $

(B51) with
$ \begin{aligned}[b] \kappa_{12,W, H^\pm}^{(4)} = \;& - x_{\phi_i}^2 x_{H^\pm}^3 \Big[ x_{\phi_j} \big( x_{\phi_j} -2 x_t +1 \big) - x_t \big( 1-x_t \big) + 1 \Big] - x_t^2 x_{H^\pm}^3 \big( x_{\phi_j}-x_t-1 \big)^2 - x_{\phi_i} x_{H^\pm}^3 \Big[ x_t^2 \big( 4 x_{\phi_j} -2 x_t-1 \big) + x_{\phi_j} x_t \big( 1-2 x_{\phi_j} \big) \\& + x_t + x_{\phi_j} + 4 x_W - x_{H^\pm} \Big] + x_{H^\pm}^2 x_{\phi_i}^3 \big( x_{\phi_j}-x_t \big) \Big[ x_{\phi_j} \big( x_{\phi_j}-2 x_t +1 \big) + x_t \big( x_t-1 \big) + 1 \Big] + x_{H^\pm}^2 x_{\phi_i}^2 \Big\{ x_{\phi_j}^2 \Big[ x_{\phi_j} \big( 1-3 x_t \big) \\& - x_t \big( 1 - 9 x_t \big) + x_W + 1 \Big] + x_{\phi_j} \Big[ 1 + x_W \big( 1-2 x_t \big) - x_t^2 \big( 1+9 x_t \big) \Big] + x_W \big( 1-x_t \big) + x_t \Big[ x_t^2 \big( 1+3 x_t \big) + x_t \big( x_W-1 \big) + 1 \Big] \Big\} \\& + x_{H^\pm}^2 x_{\phi_i} x_W \Big[ 6 x_W + x_t^2 \big( 4 x_{\phi_j}-2 x_t-1 \big) + x_{\phi_j} x_t \big( 1-2 x_{\phi_j} \big) + x_t + x_{\phi_j} + 2 \Big] + x_t \big( x_{\phi_j}-x_t-1 \big) x_{H^\pm}^2 x_{\phi_i} \Big[ x_{\phi_j}^2 \big( 3 x_t-2 \big)\\& - x_{\phi_j} \big( 1+6 x_t^2 \big) + x_t \big( x_t+1 \big) \big( 3 x_t-1 \big) \Big] + x_t^2 x_{H^\pm}^2 \big( x_{\phi_j}-x_t-1 \big)^2 \Big[ x_t \big( 1+x_t \big) + x_{\phi_j} \big( 1-x_t \big) + x_W \Big] + x_{H^\pm} x_{\phi_i}^3 \big( x_t-x_{\phi_j} \big) \\& \times \Big[ x_{\phi_i} \big( x_{\phi_j}-x_t \big)^2 + x_{\phi_j}^2 \big( x_{\phi_j} -5 x_t +2 x_W +1 \big) - 2 x_W \big( x_{\phi_j}+1 \big) + x_{\phi_j} \big( 7 x_t^2 - 4 x_W x_t + 2 x_t + 1 \big) + x_t \big( x_t+1 \big) \big( 2 x_W-3 x_t \big) \Big] \\& - x_{H^\pm} x_{\phi_i}^2 \Big\{ - x_W^2 \Big[ 1 + x_{\phi_j} \big( x_{\phi_j}-2 x_t +1 \big) + x_t \big( x_t-1 \big) \Big] + 2 x_W \big( x_t-x_{\phi_j} \big) \times \Big[ x_t^2 \big( 3 x_t-6 x_{\phi_j}+5 \big) + 3 x_t \big( x_{\phi_j}-1 \big)^2 \\& + x_{\phi_j} \big( x_{\phi_j}-1 \big) - 1 \Big] + x_t \big( x_{\phi_j}-x_t-1 \big) \times \Big[ x_{\phi_j}^2 \big( 9 x_t-3 x_{\phi_j}-2 \big) + \big( x_t+1 \big) \big( 3 x_t^2-x_{\phi_j} \big) - 9 x_t^2 x_{\phi_j} \Big] \Big\} \\& - x_{H^\pm} x_{\phi_i} \Big\{ x_W^2 \Big[ 2 x_t x_{\phi_j}^2 - x_{\phi_j} \big( 4 x_t^2+x_t+1 \big) + x_t \big( 2 x_t^2+x_t-1 \big) + 4 \big( x_W+1 \big) \Big] + 2 x_t x_W \big( x_{\phi_j}-x_t-1 \big) \\& \times \Big[ x_{\phi_j}^2 \big( 3 x_t+2 \big) - 3 x_{\phi_j} \big( 2 x_t^2+2 x_t+1 \big) + x_t \big( 3 x_t^2 +4 x_t+5 \big) \Big] + x_t^2 \big( x_{\phi_j}-x_t-1 \big)^2 \Big[ x_{\phi_j} \big( 3 x_{\phi_j}-4 x_t +1 \big) \\& + x_t \big( x_t+1 \big) \Big] \Big\} - x_{H^\pm} x_t^2 \big( x_{\phi_j}-x_t-1 \big)^2 \times \Big[ - x_{\phi_j}^2 x_t + x_{\phi_j} \big( x_t+1 \big) \big( x_t-2 x_W \big) + x_W \big( 2 x_t^2 + 2 x_t-x_W+4 \big) \Big] \\& + x_W^2 \Big[ \big( x_{\phi_i}-x_t \big) \big( x_{\phi_j}-x_t \big) + x_t - x_W \Big] \Big\{ x_{\phi_i}^2 \Big[ 1 + \big( x_{\phi_j}-x_t \big)^2 \Big] - x_{\phi_i} x_W + x_{\phi_i} \Big[ \big( 1-2 x_{\phi_j} x_t \big) \big( x_{\phi_j}-1 \big) \\& + 2 x_t^2 \big( 2 x_{\phi_j}-x_t-1 \big) - 1 \Big] + x_t^2 \big( x_{\phi_j}-x_t-1 \big)^2 \Big\} - x_W \Big[ \big( x_{\phi_i}-x_t \big) \big( x_{\phi_j}-x_t \big) + x_t - x_W \Big] \Big\{ x_{\phi_i}^2 \Big[ x_{\phi_i} \big( x_{\phi_j}-x_t \big)^2 \\& + 2 x_t + \big( x_{\phi_j}-x_t-1 \big) \big( x_{\phi_j}^2 + x_{\phi_j} + 2 x_t^2 - 3 x_t x_{\phi_j} \big) \Big] + x_t \big( x_{\phi_j}-x_t-1 \big) \times \Big[ x_{\phi_j} x_t \big( x_{\phi_j}-x_t-1 \big) \\& - x_{\phi_i} \big( x_{\phi_j}-x_t+1 \big) \big( 2 x_{\phi_j}-x_t-2 \big) \Big] \Big\} + x_{\phi_i} x_{\phi_j} \Big[ \big( x_{\phi_i}-x_t \big) \big( x_{\phi_j}-x_t \big) +x_t-x_W \Big] \Big[ \big( x_{\phi_i}-x_t \big) \big( x_{\phi_j}-x_t \big) + x_t \Big]^2 \Bigg\}, \end{aligned} $

$ \begin{aligned}[b] \eta_{33,W, H^\pm}^{(0)} =\;& \dfrac{1}{x_W \Big[ (x_{\phi_i}-x_t) (x_{\phi_j}-x_t) + x_t \Big]^2} \times \Bigg\{ x_W \Big[ 2 x_{H^\pm} \big( x_{\phi_i} +x_{\phi_j} - 3 x_{H^\pm}+1 \big) + x_{\phi_j} \big( x_{\phi_j} - 3 \big) - 8 x_t \big( x_{\phi_i} +x_{\phi_j}-x_t-1 \big) \\& + x_{\phi_i} \big( x_{\phi_i} + 8 x_{\phi_j} - 3 \big) + 2 \Big] + 2 x_W^2 \big( 4 x_{H^\pm} - x_W - 1 \big) + \big( 2 x_{H^\pm}-x_{\phi_i}-x_{\phi_j}+1 \big) \Big[ \big( x_{H^\pm}-x_{\phi_i} \big) \big( x_{H^\pm}-x_{\phi_j} \big) - x_W^2 \Big] \Bigg\}, \end{aligned} $

(B52) $ \begin{aligned}[b] \eta_{33,W, H^\pm}^{(1)} = \;&- \dfrac{1}{x_W \Big[ (x_{\phi_i}-x_t) (x_{\phi_j}-x_t) +x_t \Big]^2} \Big[ 2 x_{H^\pm}+x_{\phi_i}+x_{\phi_j}-2 x_W-1 \Big] \times \Bigg[ x_{\phi_i} x_{\phi_j} - x_{H^\pm} \big( x_{\phi_i}+x_{\phi_j}-x_{H^\pm}+2 x_W \big) \\& - x_W \big( x_{\phi_i}+x_{\phi_j}-x_W-2 \big) \Bigg], \end{aligned} $

(B53) $ \eta_{33,W, H^\pm}^{(2)} = \dfrac{1}{x_{\phi_i}} \times \eta_{12,W, H^\pm}^{(2)}, $

(B54) $ \begin{aligned}[b] \eta_{33,W, H^\pm}^{(3)} =\;& \dfrac{ x_{\phi_i}-x_t }{x_W \Big[ (x_{\phi_i}-x_t) (x_{\phi_j}-x_t) +x_t \Big]^2} \Big\{ x_{\phi_i} \big( x_{\phi_j} x_t-2 x_{\phi_j} x_W+x_t x_W \big) + x_t \Big[ x_W \big( x_{\phi_j}-2 x_t+x_W \big) \\& - x_{H^\pm} \big( x_{\phi_i}+x_{\phi_j}-x_{H^\pm}+2 x_W \big) \Big] \Big\}, \end{aligned} $

(B55) $ \begin{aligned}[b] \zeta_{33,W, H^\pm}^{(0)} =\;& \dfrac{\hat{s} }{x_W \Big[ (x_{\phi_i}-x_t) (x_{\phi_j}-x_t) + x_t \Big]^2} \times \Bigg\{ x_W^2 x_{H^\pm} \Big[ \big( 1-4 x_t \big) \big( x_{\phi_i} +x_{\phi_j} \big) + 2 x_t \big( 2 x_t-1 \big) + 2 \big( 3 x_{H^\pm} + 2 x_{\phi_i} x_{\phi_j} - 2 \big) \Big] \\& + x_W^2 \big( x_{\phi_i} x_{\phi_j} + x_t^2 \big) \big( 2 x_{\phi_i} + 2 x_{\phi_j} - 7 \big) - 2 x_t x_W^2 \Big[ \big( x_{\phi_i} + x_{\phi_j} - 4 \big) \big( x_{\phi_i} + x_{\phi_j} \big) + 2 \Big] + \big( x_{H^\pm} - x_{\phi_i} \big) \big( x_{H^\pm}-x_{\phi_j} \big) \big( x_{H^\pm}-x_t \big)^2 \\& + x_W \Big\{ x_{H^\pm}^2 \Big[ - 4 x_{H^\pm} - 2 \big( x_{\phi_i} x_{\phi_j} + x_t^2 \big) + \big( 2 x_t + 1 \big) \big( x_{\phi_i}+x_{\phi_j}+2 \big) \Big] + 2 x_{H^\pm} \big( x_{\phi_i}+x_{\phi_j}+1 \big) \big( x_{\phi_i}-x_t \big) \big( x_{\phi_j}-x_t \big) \\& + 2 x_{\phi_i} x_{\phi_j} \Big[ x_{\phi_i} x_{\phi_j} - x_t \big( 3 x_{\phi_i}+3 x_{\phi_j}-2 \big) \Big] - 4 x_t^3 \big( 2 x_{\phi_i} +2 x_{\phi_j}-x_t-1 \big) + x_t^2 \Big[ 2 x_{\phi_i} \big( 2 x_{\phi_i}+5 x_{\phi_j} \big) \\& + \big( x_{\phi_i} + x_{\phi_j} \big) \big( 4 x_{\phi_j}-5 \big) + 2 \Big] \Big\} - x_W^3 \Big[ 4 x_{H^\pm} - x_W + \big( 1-2 x_t \big) \big( x_{\phi_i}+x_{\phi_j} \big) + 2 \big( x_{\phi_i} x_{\phi_j} + x_t^2 - 1 \big) \Big] \Bigg\},\end{aligned} $

(B56) $ \begin{aligned}[b] \zeta_{33,W, H^\pm}^{(2)} =\;& \dfrac{\hat{s} }{x_W \Big[ (x_{\phi_i}-x_t) (x_{\phi_j}-x_t) + x_t \Big]^2} \times \Big[ x_{\phi_i} x_{\phi_j} - x_{H^\pm} \big( x_{\phi_i}+x_{\phi_j}-x_{H^\pm}+2 x_W \big) - x_W \big( x_{\phi_i}+x_{\phi_j}- x_W-2 \big) \Big] \\& \times \Big\{ x_{H^\pm}^2-2 x_{H^\pm} \Big[ \big(x_{\phi_i}-x_t \big) \big(x_{\phi_j}-x_t \big) +x_W \Big] + \big(x_t-x_W \big)^2 \Big\}, \end{aligned} $

(B57) $ \begin{aligned}[b] \zeta_{33,W, H^\pm}^{(4)} =\;& \dfrac{2 \hat{s} } {x_W \Big[ (x_{\phi_i}-x_t) (x_{\phi_j}-x_t) + x_t \Big]^2} \times \Bigg\{ - x_W^3 \Big[ 4 x_{H^\pm} - x_W + x_{\phi_i} x_{\phi_j} - \big( x_t-1 \big) \big( x_{\phi_i} + x_{\phi_j}-x_t-2 \big) \Big] \\& + x_W^2 \Big\{ x_{H^\pm} \Big[ x_{\phi_i} x_{\phi_j} - 2 \big( 1-3 x_{H^\pm} \big) - \big( x_t-1 \big) \big( x_{\phi_i}+x_{\phi_j}-x_t-2 \big) \Big] + \big( x_{\phi_i}+x_{\phi_j}-4 \big) \Big[ x_{\phi_i} x_{\phi_j} \\& - x_t \big( x_{\phi_i}+x_{\phi_j}-x_t-1 \big) \Big] + x_{\phi_i} x_{\phi_j} \Big\} + x_W \Big\{ x_{H^\pm}^2 \Big[ x_{\phi_i} x_{\phi_j} - 4 \big( x_{H^\pm}-1 \big) - \big( x_t-1 \big) \big( x_{\phi_i} +x_{\phi_j}-x_t-2 \big) \Big] \\& + 2 x_{H^\pm} \Big[ x_{\phi_i} x_{\phi_j} \big( x_{\phi_i} +x_{\phi_j}-1 \big) - x_t \big( x_{\phi_i}+x_{\phi_j} \big) \big( x_{\phi_i}+x_{\phi_j}-x_t-1 \big) \Big] + \Big[ \big( x_{\phi_i}-x_t \big) \big( x_{\phi_j}-x_t \big) + x_t \Big] \Big[ x_{\phi_i} x_{\phi_j} \\& - 2 x_t \big( x_{\phi_i} +x_{\phi_j}-x_t-1 \big) \Big] \Big\} + x_{H^\pm} \big( x_{H^\pm}-x_{\phi_i} \big) \big( x_{H^\pm}-x_{\phi_j} \big) \Big[ x_{H^\pm} - x_t + \big( x_{\phi_i}-x_t \big) \big( x_t-x_{\phi_j} \big) \Big] \Bigg\}. \end{aligned} $

(B58) Remaining coefficients are expressed by the following relations:
$ \eta_{ab,W, H^\pm}^{(4)} = \dfrac{x_{\phi_j} - x_t}{x_{\phi_i} - x_t} \times \eta_{ab,W, H^\pm}^{(3)}, \quad \eta_{ab,W, H^\pm}^{(5)} = \eta_{ab,W, H^\pm}^{(3)} \big(x_t \leftrightarrow x_u \big), $

(B59) $ \eta_{ab,W, H^\pm}^{(6)} = \dfrac{x_{\phi_j} - x_u}{x_{\phi_i} - x_u} \times \eta_{ab,W, H^\pm}^{(5)}, \quad \zeta_{ab,W, H^\pm}^{(1/3)} = \zeta_{ab,W, H^\pm}^{(0/2)} \big(x_t \leftrightarrow x_u \big). $

(B60) -
All the couplings in Zee-Babu models are derived in this appendix. After the EWSB, the hypercharge field
$ B_\mu $ mixes with the weak isospin field$ W_\mu^3 $ . They are decomposed in terms of the mass eigenstates as follows:$ B_\mu = c_WA_\mu-s_WZ_\mu $ , where$ \theta_W $ is the weak mixing angle. The kinetic term can be expanded as$ \begin{aligned}[b] {\cal{L}}_K^{ZB} =\;& (D_{\mu}H)^{\dagger}(D^{\mu}H) +(D_{\mu}K)^{\dagger}(D^{\mu}K) \;{\supset}\; -\mathrm{i}g_Yc_WQ_{H}A^{\mu}(H^{\mp}\partial_{\mu}H^{\pm}-H^{\pm}\partial_{\mu}H^{\mp}) +\mathrm{i}g_Ys_WQ_{H}Z^{\mu}(H^{\mp}\partial_{\mu}H^{\pm}-H^{\pm}\partial_{\mu}H^{\mp}) \\& + g_Y^2c_W^2Q_{H}^2A^{\mu}A_{\mu}H^{\pm}H^{\mp} + g_Y^2s_W^2Q_{H}^2Z^{\mu}Z_{\mu}H^{\pm}H^{\mp} - g_Y^2s_{2W}Q_{H}^2A^{\mu}Z_{\mu}H^{\pm}H^{\mp} - \mathrm{i}g_Yc_WQ_{K}A^{\mu}(K^{\mp\mp}\partial_{\mu}K^{\pm\pm} - K^{\pm\pm}\partial_{\mu}K^{\mp\mp}) \\& + \mathrm{i}g_Ys_WQ_{K}Z^{\mu} (K^{\mp\mp}\partial_{\mu}K^{\pm\pm} -K^{\pm\pm}\partial_{\mu}K^{\mp\mp}) + g_Y^2c_W^2Q_{K}^2A^{\mu}A_{\mu}K^{\pm\pm}K^{\mp\mp} \\& + g_Y^2s_W^2Q_{K}^2Z^{\mu}Z_{\mu}K^{\pm\pm}K^{\mp\mp} - g_Y^2s_{2W}Q_{K}^2A^{\mu}Z_{\mu}K^{\pm\pm}K^{\mp\mp}. \end{aligned} $

(C1) The scalar potentials of
$ H^{\pm} $ and$ K^{\pm\pm} $ are expressed in the mass basis:$ \begin{aligned}[b] -{\cal{V}}_{ZB} =\;& -\mu^2_1H^{\mp}{H^\pm} -\mu^2_2K^{\mp\mp}{K}^{\pm\pm} -\lambda_H(H^\mp{H^\pm})^2 -\lambda_K(K^{\mp\mp}{K^{\pm\pm}})^2 -\lambda_{HK}(H^{\mp}{H^\pm})(K^{\mp\mp}{K^{\pm\pm}}) -\mu_L({H^{\pm}H^{\pm}K^{\mp\mp}} +{H^{\mp}H^{\mp}K^{\pm\pm}}) \\& -\lambda_{K\Phi}(K^{\mp\mp}K^{\pm\pm}) [\chi^{\mp}\chi^{\pm} +\frac{1}{2}(v^2+2vh+hh+\chi_0^2) ] -\lambda_{H\Phi}(H^{\mp\mp}H^{\pm\pm}) [\chi^{\mp}\chi^{\pm}+\frac{1}{2} (v^2+2vh+hh+\chi_0^2)] \end{aligned} $

(C2) $ \begin{aligned}[b] \supset\; &-\mu_LH^{\pm}H^{\pm}K^{\mp\mp} -v\lambda_{H\Phi}hH^{\pm}H^{\mp} -v\lambda_{K\Phi}hK^{\pm\pm}K^{\mp\mp} -\frac{\lambda_{H\Phi}}{2}hhH^{\pm}H^{\mp} -\frac{\lambda_{K\Phi}}{2}hhK^{\pm\pm}K^{\mp\mp} \\ & -\lambda_{HK}H^{\pm}H^{\mp}K^{\pm\pm}K^{\mp\mp} -\lambda_{H\Phi}H^{\pm}H^{\mp}\chi^{\pm}\chi^{\mp} -\lambda_{K\Phi}K^{\pm\pm}K^{\mp\mp}\chi^{\pm}\chi^{\mp}. \end{aligned} $

(C3) The Yukawa of Zee-Babu model is given by
$ \begin{aligned}[b] {\cal{L}}_{Y}^{ZB} \;&= f_{ij}[\overline{\tilde{L^i}}L^{j}H^\dagger-\mathrm{h.c}]+g_{ij}[\overline{(e_R^c)^i}e_R^jK^\dagger+\mathrm{h.c}] = f_{ij}[\left(\begin{array}{cc} (\overline{e}^c_L)^i -\overline{\nu}_L^c \\ \end{array}\right)\left(\begin{array}{c} \nu_L \\ (e_L)^j \end{array}\right)H^\dagger-\mathrm{h.c}]+g_{ij}[\overline{(e_R^c)^i}e_R^jK^\dagger+\mathrm{h.c}] \\& =f_{ij}\bigg\{[(\overline{e}^c_L)^i\nu_L-\overline{\nu}_L^ce_L^j]H^\dagger-\mathrm{h.c}\bigg\} +g_{ij}[\overline{(e_R^c)^i}e_R^jK^\dagger+\mathrm{h.c}]. \end{aligned} $

(C4)
One-loop analytical expressions for gg/γγ → ϕiϕj in Higgs extensions of the standard model and their applications
- Received Date: 2024-10-11
- Available Online: 2025-05-15
Abstract: General one-loop formulas for loop-induced processes





Abstract
HTML
Reference
Related
PDF



















DownLoad: