Recent
Display Method:
2026 No.5
2026, 50(5): 053102. doi: 10.1088/1674-1137/ae39cc
Abstract:
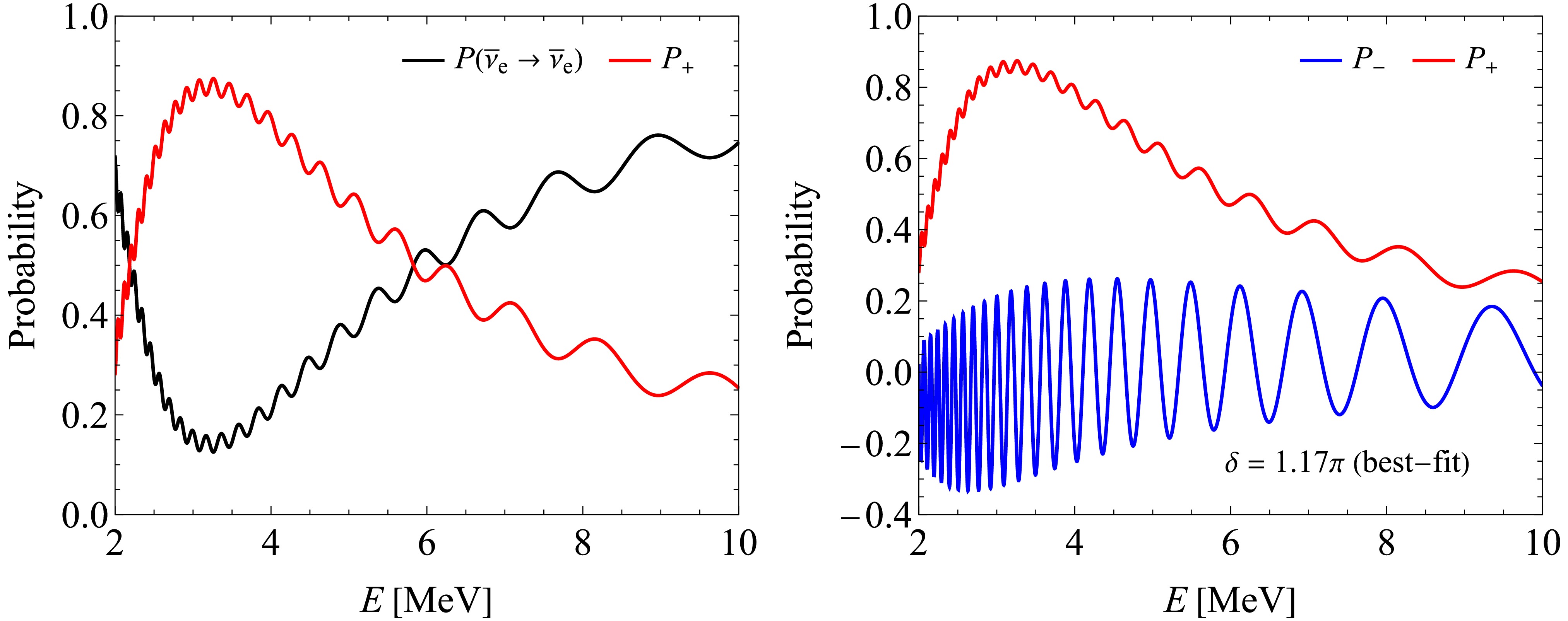
The interference between amplitudes corresponding to different intermediate resonances plays an important role in generating large CP asymmetries in the phase space in multi-body decays of bottom and charmed mesons. In this study, we examine the CP violation in the decay channel $ {\overline{B}}^{0}\rightarrow K^{-}\pi^{+}\pi^{0} $ in the phase-space region where the intermediate resonances $ \overline{K}^{*}(892)^{0} $ and $ {\overline{K}^{*}_{0}(700)} $ dominate. In particular, the forward-backward asymmetry (FBA) and the CP asymmetry induced by FBA (FB-CPA), which are closely related to the interference effects between the two aforementioned resonances, are investigated. The nontrivial correlation between FBA and FB-CPA is analyzed. The analysis indicates that FB-CPAs around the resonance $ \overline{K}^{*}(892)^{0} $ can be as large as approximately 35%, which can be potentially accessible by Belle and Belle-II collaborations in the near future.
The interference between amplitudes corresponding to different intermediate resonances plays an important role in generating large CP asymmetries in the phase space in multi-body decays of bottom and charmed mesons. In this study, we examine the CP violation in the decay channel $ {\overline{B}}^{0}\rightarrow K^{-}\pi^{+}\pi^{0} $ in the phase-space region where the intermediate resonances $ \overline{K}^{*}(892)^{0} $ and $ {\overline{K}^{*}_{0}(700)} $ dominate. In particular, the forward-backward asymmetry (FBA) and the CP asymmetry induced by FBA (FB-CPA), which are closely related to the interference effects between the two aforementioned resonances, are investigated. The nontrivial correlation between FBA and FB-CPA is analyzed. The analysis indicates that FB-CPAs around the resonance $ \overline{K}^{*}(892)^{0} $ can be as large as approximately 35%, which can be potentially accessible by Belle and Belle-II collaborations in the near future.
2026, 50(5): 053106. doi: 10.1088/1674-1137/ae4583
Abstract:
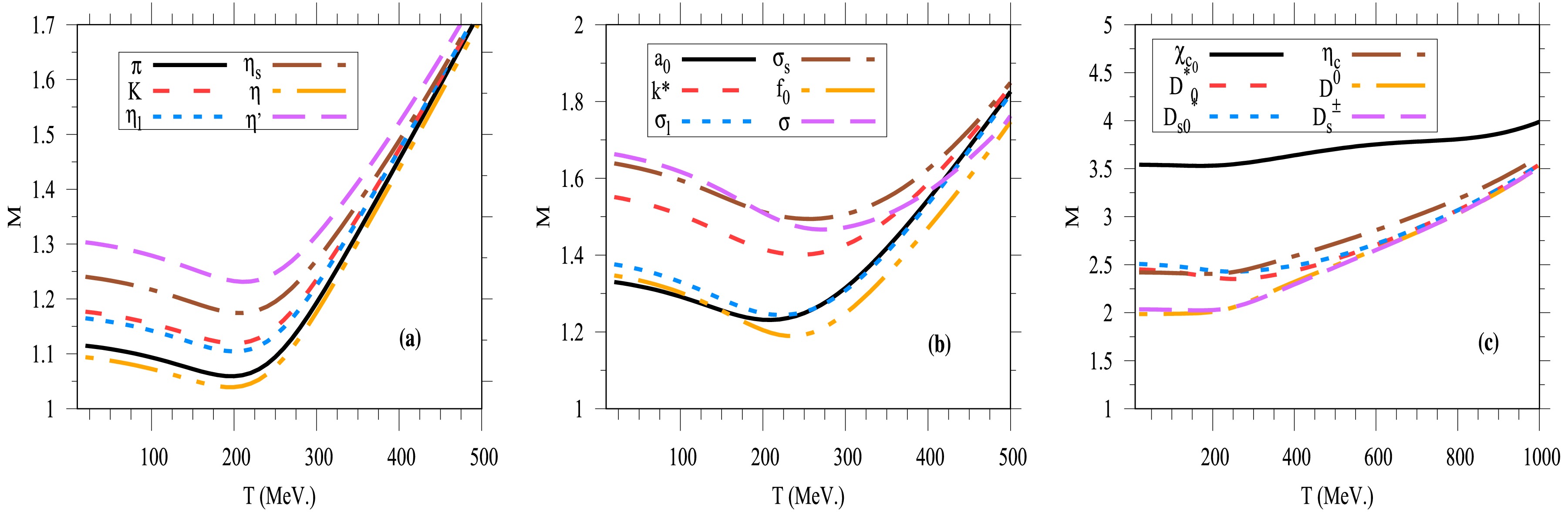
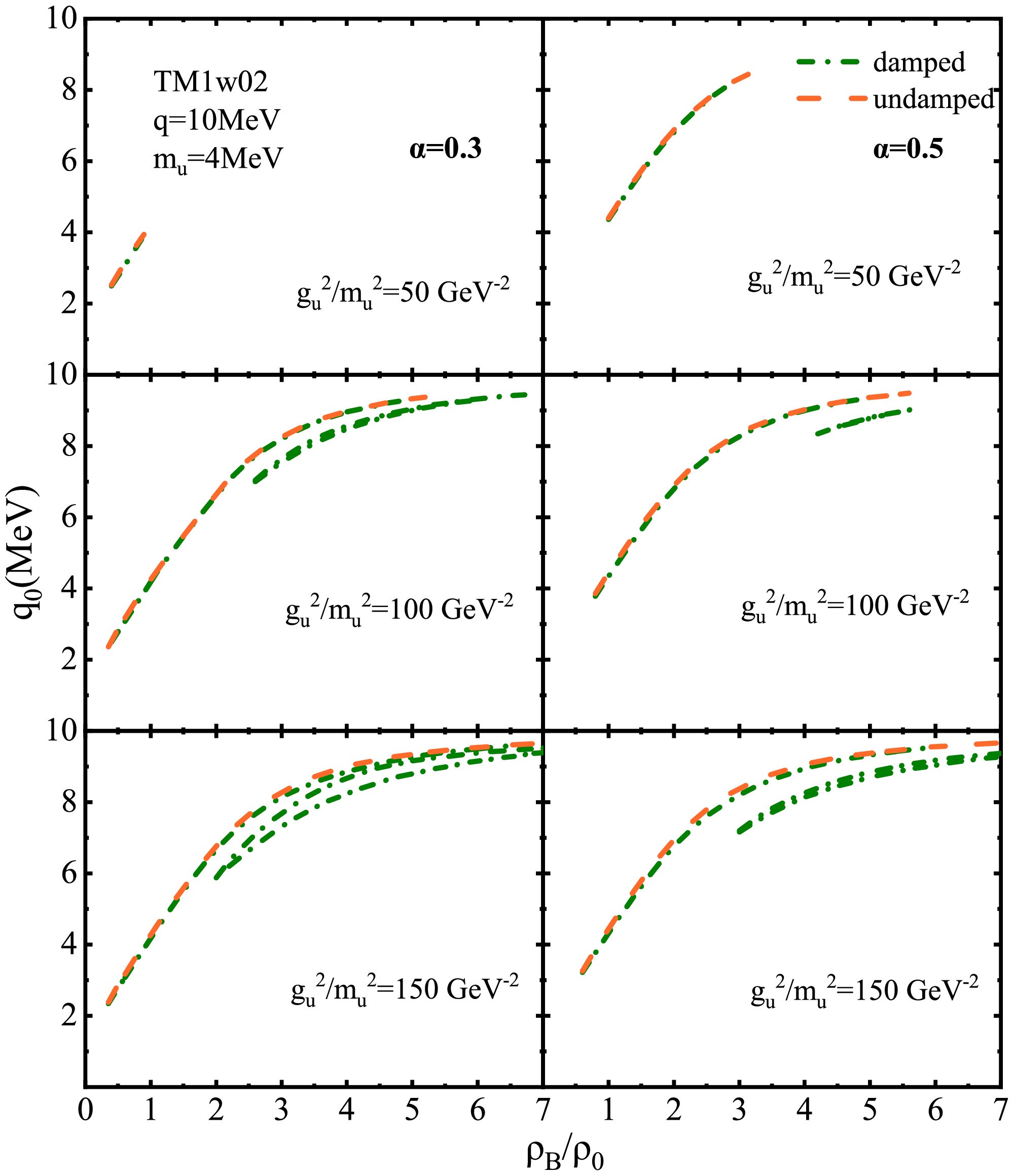
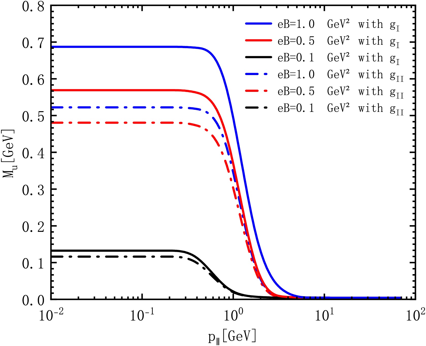
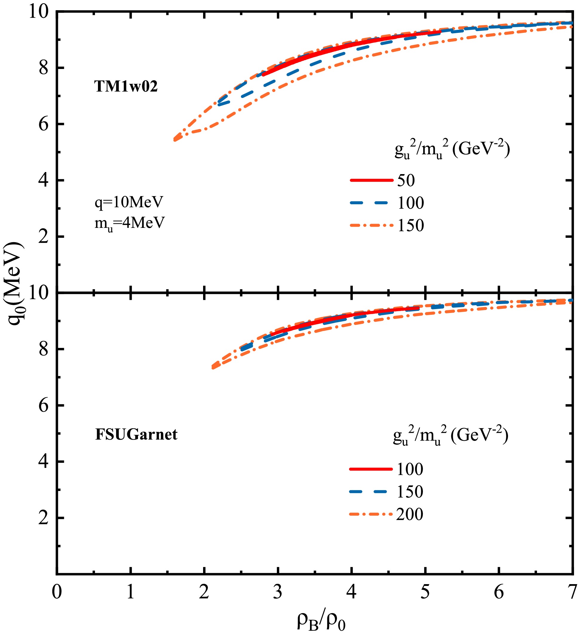
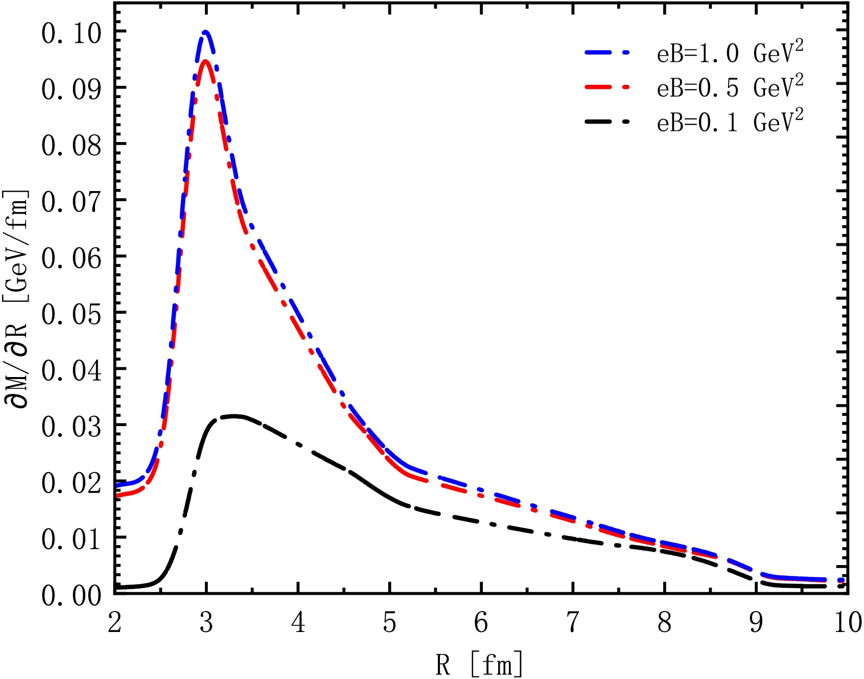
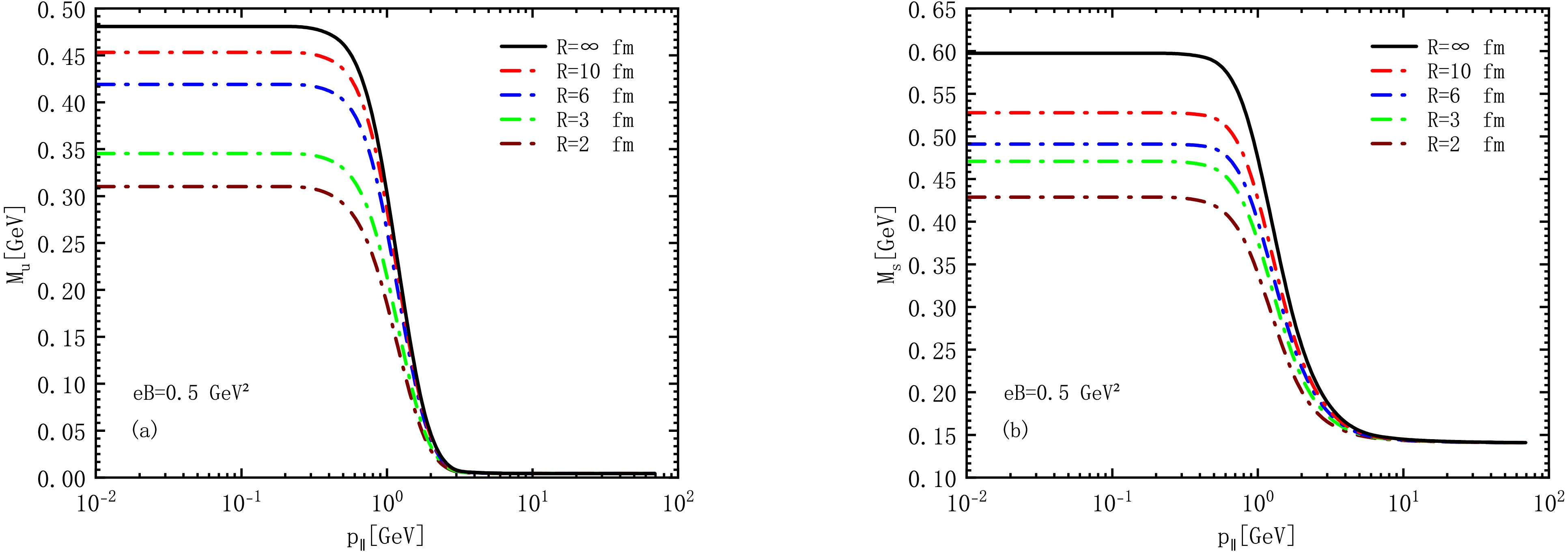
Within the framework of Dyson-Schwinger equations (DSEs) and by means of the Multiple Reflection Expansion approximation, we study the finite volume effects on the constituent quark mass in a strong external magnetic field. Since the magnetic field influences the coupling constant, which controls the strength of strong interactions in QCD, we adopt the magnetic-field-dependent running coupling constant in our simulations. The results show that, in addition to the magnetic field, the masses of constituent quarks also have a significant dependence on the volume and the running coupling constant. The model behaves closely to the infinite volume limit for large sizes, but the effect of the finite volume is significant when the system size R is about $ 2-6 $ fm. The finite volume effects and the magnetic-field-dependent running coupling constant have considerable influence on the phase transition.
Within the framework of Dyson-Schwinger equations (DSEs) and by means of the Multiple Reflection Expansion approximation, we study the finite volume effects on the constituent quark mass in a strong external magnetic field. Since the magnetic field influences the coupling constant, which controls the strength of strong interactions in QCD, we adopt the magnetic-field-dependent running coupling constant in our simulations. The results show that, in addition to the magnetic field, the masses of constituent quarks also have a significant dependence on the volume and the running coupling constant. The model behaves closely to the infinite volume limit for large sizes, but the effect of the finite volume is significant when the system size R is about $ 2-6 $ fm. The finite volume effects and the magnetic-field-dependent running coupling constant have considerable influence on the phase transition.
2026, 50(5): 053107. doi: 10.1088/1674-1137/ae4579
Abstract:
In brane-world scenarios, the effective action of a massless bulk $U(1)$ gauge field preserves gauge invariance via couplings between massive vector Kaluza-Klein (KK) and scalar KK modes. In this study, we extend this framework by introducing the term $(\nabla^M X_M)^2$ into the massless bulk $U(1)$ gauge action. This modification explicitly breaks full gauge redundancy while preserving residual gauge symmetry both in the bulk and on the brane. In this setup, scalar KK modes can acquire masses from the background geometry. We find that, on the five-dimensional brane, these scalar KK modes are lighter than the vector KK modes. On the six-dimensional brane, two types of scalar modes emerge, and mixed interactions between them give rise to oscillations among these scalar modes.
In brane-world scenarios, the effective action of a massless bulk $U(1)$ gauge field preserves gauge invariance via couplings between massive vector Kaluza-Klein (KK) and scalar KK modes. In this study, we extend this framework by introducing the term $(\nabla^M X_M)^2$ into the massless bulk $U(1)$ gauge action. This modification explicitly breaks full gauge redundancy while preserving residual gauge symmetry both in the bulk and on the brane. In this setup, scalar KK modes can acquire masses from the background geometry. We find that, on the five-dimensional brane, these scalar KK modes are lighter than the vector KK modes. On the six-dimensional brane, two types of scalar modes emerge, and mixed interactions between them give rise to oscillations among these scalar modes.
2026, 50(5): 053105. doi: 10.1088/1674-1137/ae3f0b
Abstract:
Motivated by the observation of the doubly charmed tetraquark $ T_{cc}(3875)^+ $, we present a systematic study of doubly heavy tetraquarks ($ T_{QQ'\bar{q}\bar{q}'} $) using heavy antiquark-diquark symmetry (HADS) within a constituent quark model. By calibrating model parameters to known hadron spectra and incorporating the effective mass formula, we predict the masses for 38 ground-state tetraquarks with $ cc $, $ bb $, and $ bc $ heavy quark pairs, including the non-strange, single-strange, and double-strange configurations with quantum numbers $ J^P = 0^+, 1^+ $ and $ 2^+ $. Notably, we identify several stable states below the relevant meson-meson thresholds, particularly in the $ bb\bar{q}\bar{q}' $ sector. The explicit connection between the doubly heavy tetraquark and the heavy baryon spectra through HADS reduces model dependence and reveals the fundamental systematics in the heavy-quark hadron landscape.
Motivated by the observation of the doubly charmed tetraquark $ T_{cc}(3875)^+ $, we present a systematic study of doubly heavy tetraquarks ($ T_{QQ'\bar{q}\bar{q}'} $) using heavy antiquark-diquark symmetry (HADS) within a constituent quark model. By calibrating model parameters to known hadron spectra and incorporating the effective mass formula, we predict the masses for 38 ground-state tetraquarks with $ cc $, $ bb $, and $ bc $ heavy quark pairs, including the non-strange, single-strange, and double-strange configurations with quantum numbers $ J^P = 0^+, 1^+ $ and $ 2^+ $. Notably, we identify several stable states below the relevant meson-meson thresholds, particularly in the $ bb\bar{q}\bar{q}' $ sector. The explicit connection between the doubly heavy tetraquark and the heavy baryon spectra through HADS reduces model dependence and reveals the fundamental systematics in the heavy-quark hadron landscape.
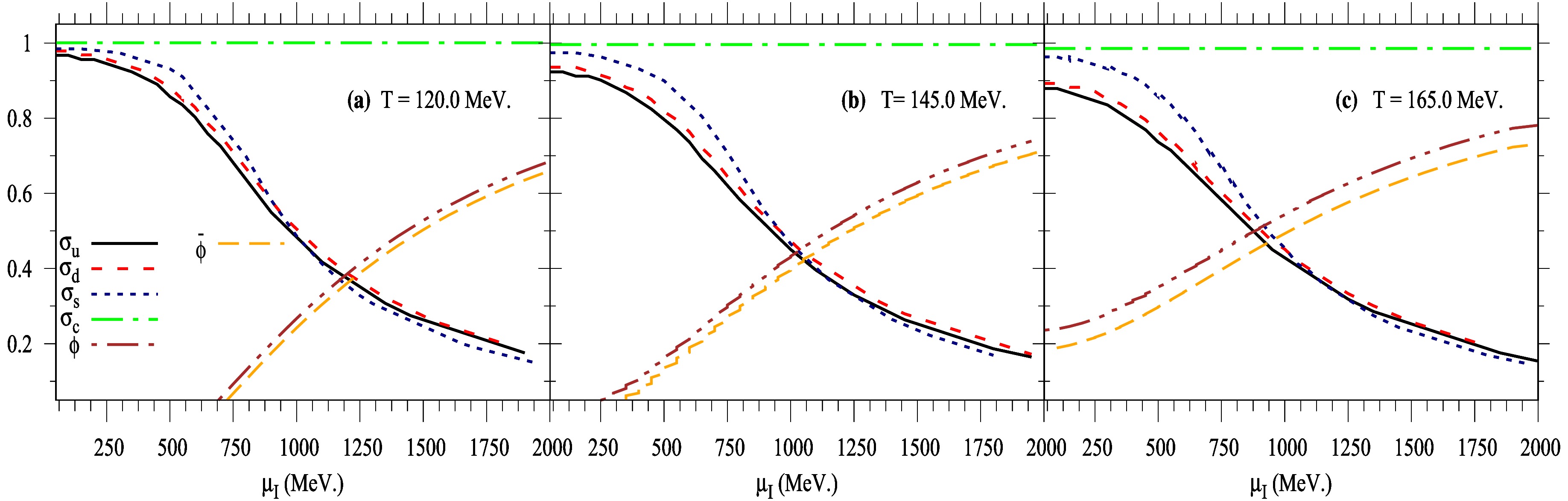
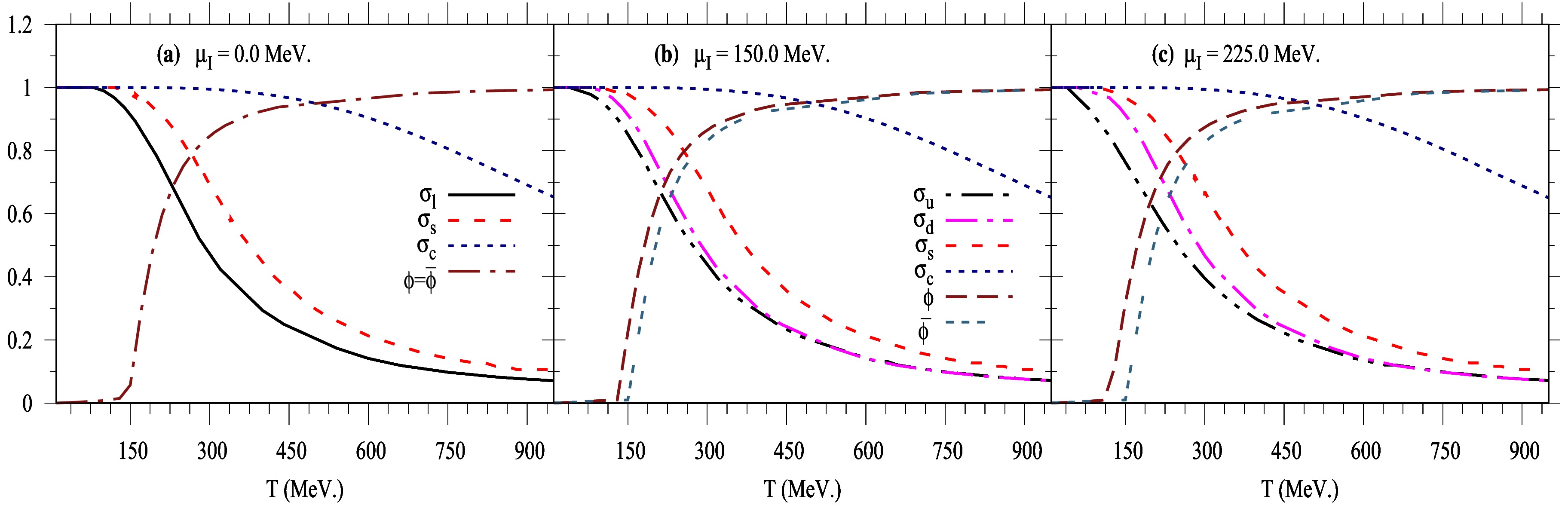
2026, 50(5): 053101. doi: 10.1088/1674-1137/ae31df
Abstract:
We propose a novel method for extracting non-singlet (NS) fragmentation functions (FFs) of light charged hadrons from charge asymmetries measured in hadron fragmentation using data from both single-inclusive electron-positron annihilation and semi-inclusive deep-inelastic scattering processes. We determine the NS FFs for pions and kaons at next-to-next-to-leading order in Quantum Chromodynamics through a comprehensive uncertainty analysis. The extracted FFs reveal a scaling index of approximately 0.7 at large momentum fractions and low energy scales, a strangeness suppression factor of approximately 0.5, and universality in fragmentation of light mesons. Our findings establish a valuable benchmark for testing non-perturbative QCD models and Monte Carlo event generators, and serve as crucial inputs for future electron-ion colliders.
We propose a novel method for extracting non-singlet (NS) fragmentation functions (FFs) of light charged hadrons from charge asymmetries measured in hadron fragmentation using data from both single-inclusive electron-positron annihilation and semi-inclusive deep-inelastic scattering processes. We determine the NS FFs for pions and kaons at next-to-next-to-leading order in Quantum Chromodynamics through a comprehensive uncertainty analysis. The extracted FFs reveal a scaling index of approximately 0.7 at large momentum fractions and low energy scales, a strangeness suppression factor of approximately 0.5, and universality in fragmentation of light mesons. Our findings establish a valuable benchmark for testing non-perturbative QCD models and Monte Carlo event generators, and serve as crucial inputs for future electron-ion colliders.
2026, 50(5): 054001. doi: 10.1088/1674-1137/ae38c4
Abstract:
High-spin states of 117In are studied through the incomplete fusion reaction induced by 7Li with 116Cd. A total of 19 new levels and 22 new transitions are observed. A pair of signature partner bands with the $ \pi (g_{7/2},d_{5/2})$ configuration is identified. The single-particle states are described through shell-model calculations. The dipole band with the configuration of $ \pi g_{9/2}^{-1} \otimes \nu (h_{11/2})^2$ is proposed as a ''stapler'' band based on the calculations of tilted axis cranking covariant density functional theory. The ''stapler'' mechanism in In isotopes is systematically investigated. The present study reveals the diversity of excitation modes in 117In.
High-spin states of 117In are studied through the incomplete fusion reaction induced by 7Li with 116Cd. A total of 19 new levels and 22 new transitions are observed. A pair of signature partner bands with the $ \pi (g_{7/2},d_{5/2})$ configuration is identified. The single-particle states are described through shell-model calculations. The dipole band with the configuration of $ \pi g_{9/2}^{-1} \otimes \nu (h_{11/2})^2$ is proposed as a ''stapler'' band based on the calculations of tilted axis cranking covariant density functional theory. The ''stapler'' mechanism in In isotopes is systematically investigated. The present study reveals the diversity of excitation modes in 117In.
2026, 50(5): 054002. doi: 10.1088/1674-1137/ae457b
Abstract:
Excited states of 95Mo have been reinvestigated via the 87Rb(12C,1p3n)95Mo fusion-evaporation reaction at a beam energy of 62 MeV. The level scheme of 95Mo was enriched by the addition of 13 γ-ray transitions and 11 new levels, while the placements of 6 transitions were reassigned. Shell-model calculations with the GWBXG and SNET interactions were performed to reproduce parts of the observed level structure, providing relevant configuration information. Furthermore, a systematic analysis of the low-lying positive-parity yrast states was conducted for 95Mo and its neighboring $ N=53 $ isotones. In addition, three-dimensional tilted axis cranking covariant density functional theory (3DTAC-CDFT) calculations indicated weakly prolate deformation for 95Mo. Combined with systematics, this result suggests that collectivity similar to that in neighboring nuclei such as 97,99,101Mo may be presented in 95Mo.
Excited states of 95Mo have been reinvestigated via the 87Rb(12C,1p3n)95Mo fusion-evaporation reaction at a beam energy of 62 MeV. The level scheme of 95Mo was enriched by the addition of 13 γ-ray transitions and 11 new levels, while the placements of 6 transitions were reassigned. Shell-model calculations with the GWBXG and SNET interactions were performed to reproduce parts of the observed level structure, providing relevant configuration information. Furthermore, a systematic analysis of the low-lying positive-parity yrast states was conducted for 95Mo and its neighboring $ N=53 $ isotones. In addition, three-dimensional tilted axis cranking covariant density functional theory (3DTAC-CDFT) calculations indicated weakly prolate deformation for 95Mo. Combined with systematics, this result suggests that collectivity similar to that in neighboring nuclei such as 97,99,101Mo may be presented in 95Mo.
2026, 50(5): 054104. doi: 10.1088/1674-1137/ae4584
Abstract:
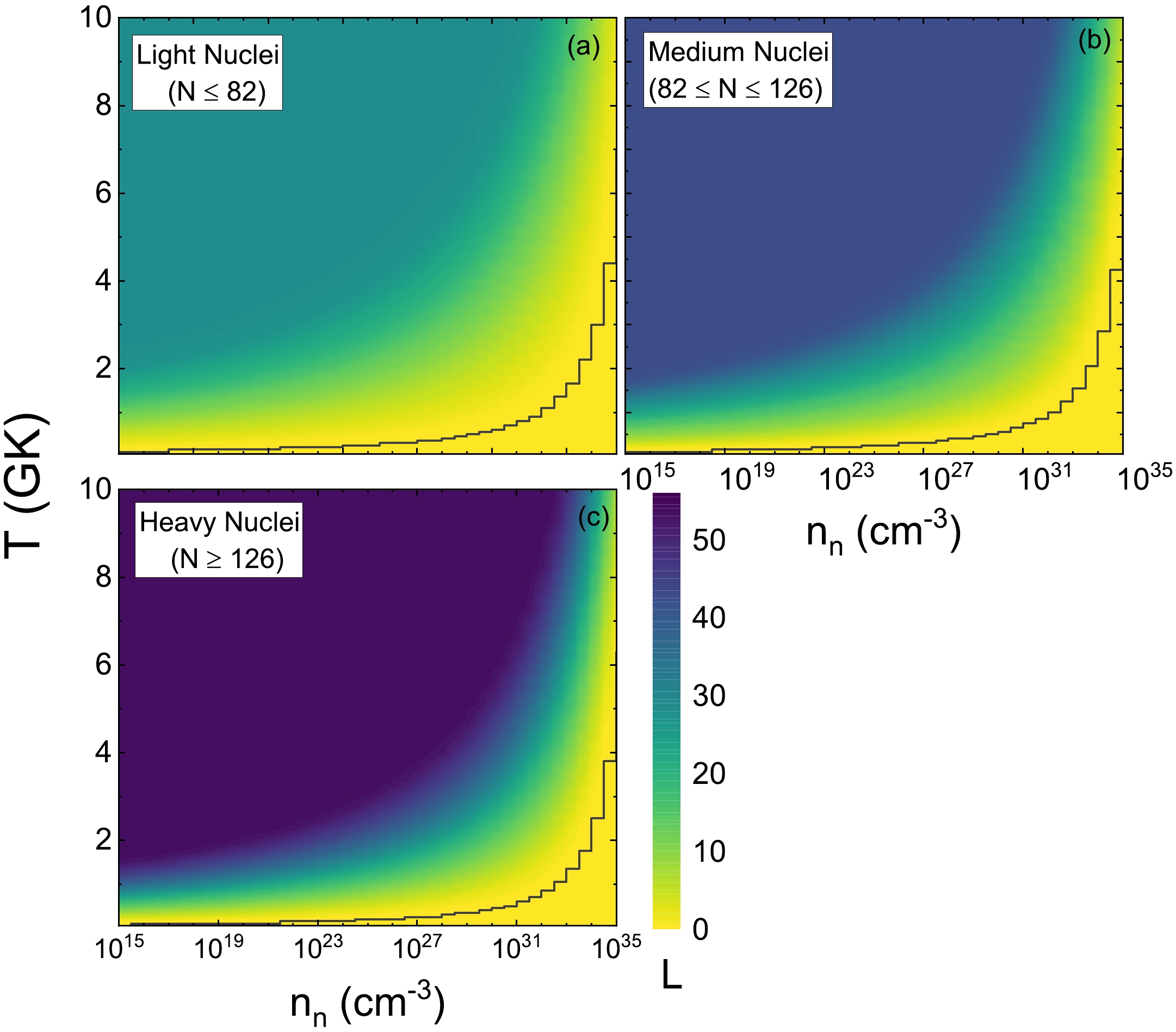
The role of near neutron-drip-line nuclei in the rapid neutron-capture process (r-process) is studied using the classical r-process model. Simulations under different astrophysical conditions (T, $n_n$) show that r-process paths approach the neutron-drip line under low-temperature and high-neutron-density conditions. A sensitivity study reveals that variations in the nuclear masses of these exotic nuclei lead to evident abundance variations in the $A=110-125$, $A=175-185$, $A=200-205$, and superheavy regions. By contrast, the r-process rare-earth peak and $A=130,195$ peaks remain largely unaffected. The nuclei that clearly impact r-process abundances are mainly distributed in the region of $25\leq Z\leq 90$ and $50\leq N\leq 180$, with the nuclei around neutron magic numbers found to be particularly important for the r-process, even in the near-neutron-drip-line region.
The role of near neutron-drip-line nuclei in the rapid neutron-capture process (r-process) is studied using the classical r-process model. Simulations under different astrophysical conditions (T, $n_n$) show that r-process paths approach the neutron-drip line under low-temperature and high-neutron-density conditions. A sensitivity study reveals that variations in the nuclear masses of these exotic nuclei lead to evident abundance variations in the $A=110-125$, $A=175-185$, $A=200-205$, and superheavy regions. By contrast, the r-process rare-earth peak and $A=130,195$ peaks remain largely unaffected. The nuclei that clearly impact r-process abundances are mainly distributed in the region of $25\leq Z\leq 90$ and $50\leq N\leq 180$, with the nuclei around neutron magic numbers found to be particularly important for the r-process, even in the near-neutron-drip-line region.
2026, 50(5): 054102. doi: 10.1088/1674-1137/ae3e56
Abstract:
The linear relationship between the charge radius deviations for nuclei $ (Z,\, N) $ and those for $ (Z,\, N-2) $ is observed in the predictions of the WS* radius formula and HFB25 model. Together with the linear relationship, a modified radial basis function (RBFlr) approach is proposed to further improve the accuracy of the models in charge radius predictions. The root-mean-square deviation with respect to 995 measured nuclear charge radii falls to 0.007 fm, and the charge radii of Ca isotopes can be much better reproduced. In addition, based on the proposed approach, the charge radii of 331 unmeasured nuclei are predicted. This linear correlation combined with RBFlr has the potential to become a typical practice of physically guided machine learning approaches in nuclear physics.
The linear relationship between the charge radius deviations for nuclei $ (Z,\, N) $ and those for $ (Z,\, N-2) $ is observed in the predictions of the WS* radius formula and HFB25 model. Together with the linear relationship, a modified radial basis function (RBFlr) approach is proposed to further improve the accuracy of the models in charge radius predictions. The root-mean-square deviation with respect to 995 measured nuclear charge radii falls to 0.007 fm, and the charge radii of Ca isotopes can be much better reproduced. In addition, based on the proposed approach, the charge radii of 331 unmeasured nuclei are predicted. This linear correlation combined with RBFlr has the potential to become a typical practice of physically guided machine learning approaches in nuclear physics.
2026, 50(5): 055103. doi: 10.1088/1674-1137/ae3e5a
Abstract:
We investigate warm inflation in the framework of $f(Q)$ gravity within a Friedmann-Robertson-Walker spacetime. Unlike cold inflation, where the inflaton evolves in isolation, warm inflation features continuous interaction between the inflaton field and radiation throughout the inflationary epoch, facilitating energy transfer through dissipative processes and maintaining thermal equilibrium. In our novel approach, we employ $f(Q)$ dark energy as the driving mechanism for warm inflation, leveraging the geometric degrees of freedom associated with non-metricity as dynamical variables. We derive the field equations using slow-roll approximations and analyze two specific $f(Q)$ models: a power-law form $f(Q) = Q + mQ^n$ and logarithmic form $f(Q) = mQ\ln(nQ)$. Our analysis focuses on the high-dissipative regime, where thermal fluctuations dominate over quantum fluctuations. We compute key inflationary observables, including the scalar spectral index $n_s$, tensor-to-scalar ratio $r$, and slow-roll parameters. Our results demonstrate that $f(Q)$ dark energy successfully drives warm inflation while satisfying essential physical conditions: initial dominance of $f(Q)$ energy density over radiation density, and thermal fluctuations exceeding quantum fluctuations ($T \gt H$). As inflation progresses, energy transfers from the geometric $f(Q)$ sector to radiation, eventually bringing both densities to comparable levels near inflation's end. Importantly, our computed values align well with current observational constraints from Planck and BICEP/Keck: $n_s = 0.965 \pm 0.004$ and $r \lt 0.036$. This validates the viability of warm inflation in $f(Q)$ gravity and establishes a unified geometric framework for understanding both early universe inflation and late-time cosmic acceleration.
We investigate warm inflation in the framework of $f(Q)$ gravity within a Friedmann-Robertson-Walker spacetime. Unlike cold inflation, where the inflaton evolves in isolation, warm inflation features continuous interaction between the inflaton field and radiation throughout the inflationary epoch, facilitating energy transfer through dissipative processes and maintaining thermal equilibrium. In our novel approach, we employ $f(Q)$ dark energy as the driving mechanism for warm inflation, leveraging the geometric degrees of freedom associated with non-metricity as dynamical variables. We derive the field equations using slow-roll approximations and analyze two specific $f(Q)$ models: a power-law form $f(Q) = Q + mQ^n$ and logarithmic form $f(Q) = mQ\ln(nQ)$. Our analysis focuses on the high-dissipative regime, where thermal fluctuations dominate over quantum fluctuations. We compute key inflationary observables, including the scalar spectral index $n_s$, tensor-to-scalar ratio $r$, and slow-roll parameters. Our results demonstrate that $f(Q)$ dark energy successfully drives warm inflation while satisfying essential physical conditions: initial dominance of $f(Q)$ energy density over radiation density, and thermal fluctuations exceeding quantum fluctuations ($T \gt H$). As inflation progresses, energy transfers from the geometric $f(Q)$ sector to radiation, eventually bringing both densities to comparable levels near inflation's end. Importantly, our computed values align well with current observational constraints from Planck and BICEP/Keck: $n_s = 0.965 \pm 0.004$ and $r \lt 0.036$. This validates the viability of warm inflation in $f(Q)$ gravity and establishes a unified geometric framework for understanding both early universe inflation and late-time cosmic acceleration.
2026, 50(5): 055104. doi: 10.1088/1674-1137/ae418a
Abstract:
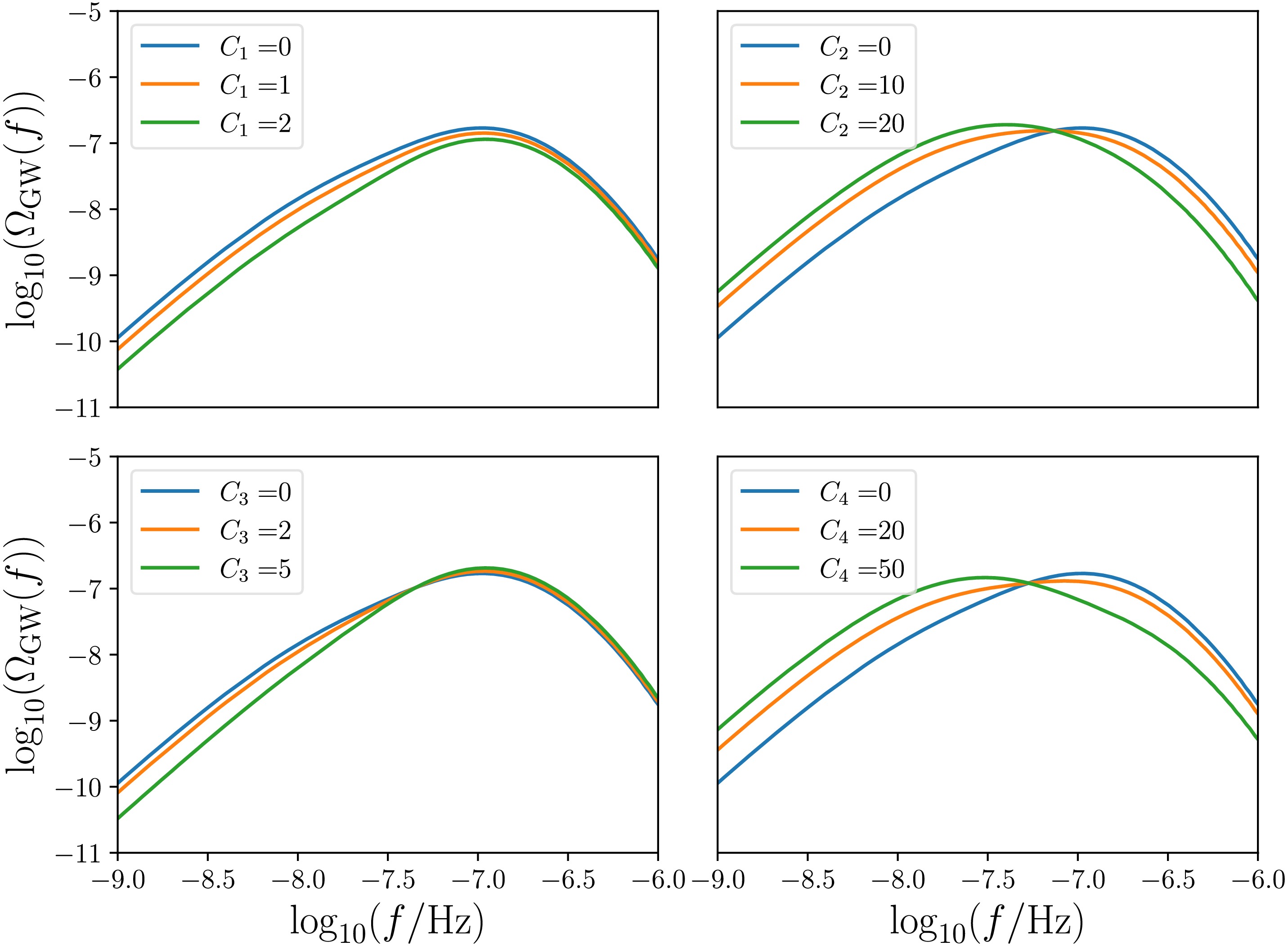
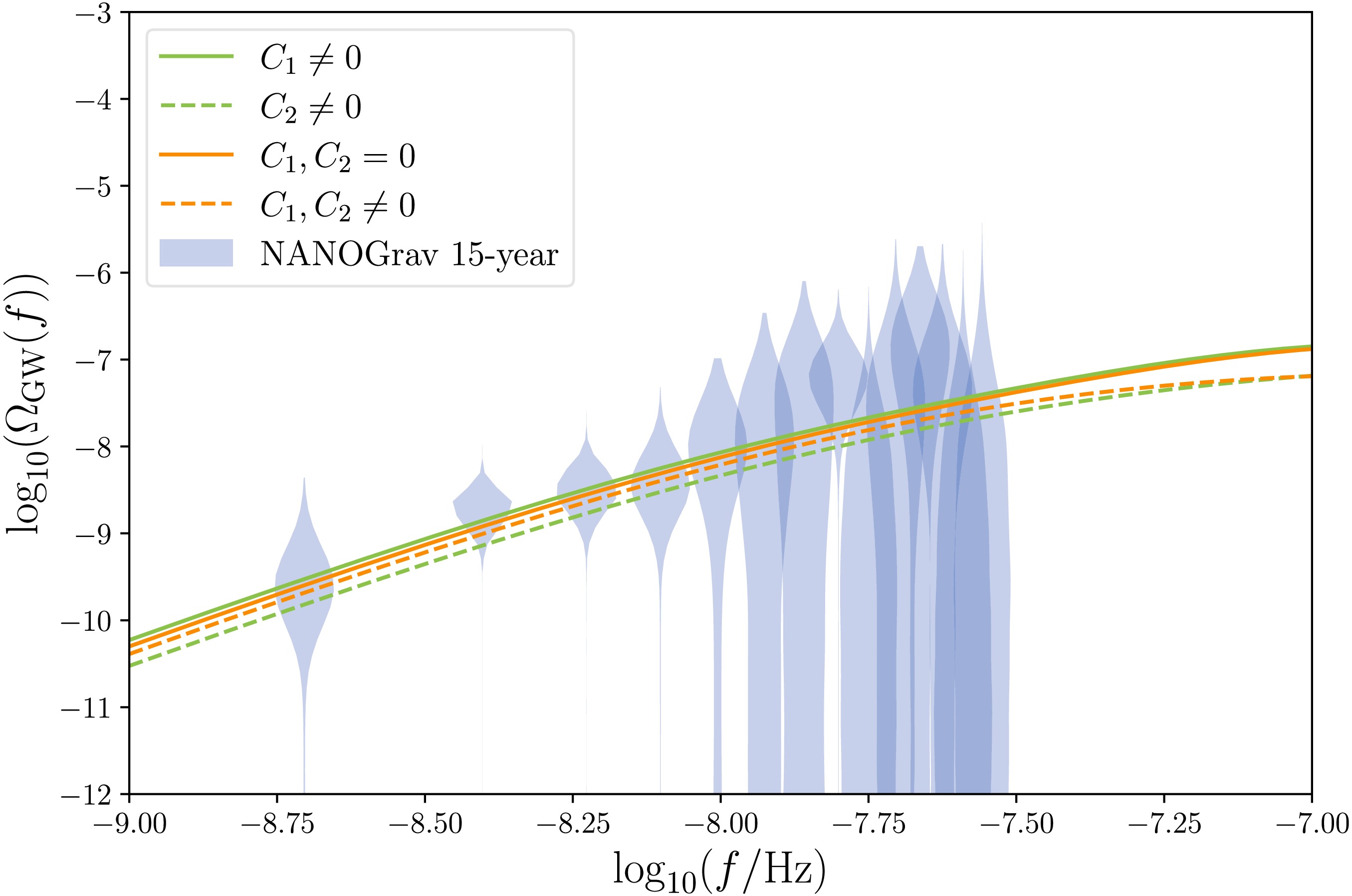
In June 2023, multiple pulsar timing array (PTA) collaborations provided evidence for the existence of a stochastic gravitational-wave background (SGWB). As a significant source of the SGWB, scalar-induced gravitational waves (SIGWs) receive extensive attention. We explore the influence of anisotropic primordial power spectra on second-order SIGWs and derive explicit expressions for the energy density spectra. For specific anisotropic inflation models, we analyze the impact of Finslerian inflation and gauge field inflation models on PTAs and the Laser Interferometer Space Antenna and generalize the findings to model-independent scenarios. Our results indicate that current PTA observations cannot rule out the existence of small-scale anisotropic primordial perturbations.
In June 2023, multiple pulsar timing array (PTA) collaborations provided evidence for the existence of a stochastic gravitational-wave background (SGWB). As a significant source of the SGWB, scalar-induced gravitational waves (SIGWs) receive extensive attention. We explore the influence of anisotropic primordial power spectra on second-order SIGWs and derive explicit expressions for the energy density spectra. For specific anisotropic inflation models, we analyze the impact of Finslerian inflation and gauge field inflation models on PTAs and the Laser Interferometer Space Antenna and generalize the findings to model-independent scenarios. Our results indicate that current PTA observations cannot rule out the existence of small-scale anisotropic primordial perturbations.
2026, 50(5): 054105. doi: 10.1088/1674-1137/ae43c5
Abstract:
A suitable Hamiltonian was designed for the Zr isotopes over the N = 50 shell by including shell model space between 78Ni and 132Sn. The Hamiltonian is composed by the pairing-plus-multipole force and monopole correction terms. The single-particle energies (SPEs) were initially taken from the low-lying states of hole nuclei 131In and 131Sn (near the N = 82 shell closure). These SPEs were then modified by three monopole correction terms to better describe the low-lying states of 91Zr (near the N = 50 shell closure). To test this Hamiltonian, the level spectra of 91−94Zr were investigated in both low-lying and high-spin excitations by large-scale shell-model calculations. Their wave functions were further tested by comparing the electromagnetic transition probabilities with given $ B(E2)$ data. The good performance in both spectra and transitions probabilities makes the predicting calculations of the present interaction more dependable to be referred in further experimental researches of Zr isotopes.
A suitable Hamiltonian was designed for the Zr isotopes over the N = 50 shell by including shell model space between 78Ni and 132Sn. The Hamiltonian is composed by the pairing-plus-multipole force and monopole correction terms. The single-particle energies (SPEs) were initially taken from the low-lying states of hole nuclei 131In and 131Sn (near the N = 82 shell closure). These SPEs were then modified by three monopole correction terms to better describe the low-lying states of 91Zr (near the N = 50 shell closure). To test this Hamiltonian, the level spectra of 91−94Zr were investigated in both low-lying and high-spin excitations by large-scale shell-model calculations. Their wave functions were further tested by comparing the electromagnetic transition probabilities with given $ B(E2)$ data. The good performance in both spectra and transitions probabilities makes the predicting calculations of the present interaction more dependable to be referred in further experimental researches of Zr isotopes.
2026, 50(5): 051001. doi: 10.1088/1674-1137/ae4325
Abstract:
We investigate the Wigner distributions of gluons at non-zero skewness using light-front wave functions within the dressed quark model, where the target state is a quark dressed with a gluon in the leading-order Fock space expansion. The analyses focus on the configurations wherein the gluon and/or the target are transversely polarized. Subsequently, we derive analytical expressions for the Wigner distributions in the boost-invariant longitudinal space (σ) for transversely polarized configurations. Resultantly, a diffraction-like oscillatory pattern is yielded in σ-space, which is analogous to that reported previously for unpolarized and longitudinally polarized gluons.
We investigate the Wigner distributions of gluons at non-zero skewness using light-front wave functions within the dressed quark model, where the target state is a quark dressed with a gluon in the leading-order Fock space expansion. The analyses focus on the configurations wherein the gluon and/or the target are transversely polarized. Subsequently, we derive analytical expressions for the Wigner distributions in the boost-invariant longitudinal space (σ) for transversely polarized configurations. Resultantly, a diffraction-like oscillatory pattern is yielded in σ-space, which is analogous to that reported previously for unpolarized and longitudinally polarized gluons.
ISSN 1674-1137 CN 11-5641/O4
Original research articles, Ietters and reviews Covering theory and experiments in the fieids of
- Particle physics
- Nuclear physics
- Particle and nuclear astrophysics
- Cosmology
Author benefits
- A SCOAP3 participating journal - free Open Access publication for qualifying articles
- Average 24 days to first decision
- Fast-track publication for selected articles
- Subscriptions at over 3000 institutions worldwide
- Free English editing on all accepted articles
News
- CPC Announces 2025 Outstanding Reviewers
- Chinese Physics C Outstanding Reviewer Award 2023
- Impact factor of Chinese Physics C is 3.6 in 2022
- 2022 CPC Outstanding Reviewer Awards
- The 2023 Chinese New Year-Office closure
Cover Story
- Cover Story (Issue 4, 2026): Initial performance results of the JUNO detector
- Cover Story (Issue 3, 2026): Comprehensive investigation on baryon number violating nucleon decays involving an axion-like particle
- Cover Story (Issue 2, 2026) |The images of Brans-Dicke-Kerr type naked singularities
- Cover Story (Issue 1, 2026) A focused review of quintom cosmology: from quintom dark energy to quintom bounce
- Cover Story (Issue 11, 2025) The Earth-Magnet Assists DAMPE in Studying Cosmic Anti-Electrons










