2025 Vol. 49, No. 12
Display Method: |
2025, 49(12): 123001. doi: 10.1088/1674-1137/addfcc
Abstract:
Based on a sample of\begin{document}$2.7\times10^{9}$\end{document} ![]()
![]()
\begin{document}$\psi(3686)$\end{document} ![]()
![]()
events collected by the BESIII detector operating at the BEPCII collider, the decay \begin{document}$\psi(3686)\to\gamma\chi_{cJ}, \chi_{cJ}\to\eta\eta\eta^{\prime}$\end{document} ![]()
![]()
is analyzed. The decay modes \begin{document}$\chi_{c1}$\end{document} ![]()
![]()
and \begin{document}$\chi_{c2}\to\eta\eta\eta^{\prime}$\end{document} ![]()
![]()
are observed for the first time, and their corresponding branching fractions are determined to be \begin{document}${\cal{B}}(\chi_{c1}\to\eta\eta\eta^{\prime}) = $\end{document} ![]()
![]()
\begin{document}$ (1.40\, \pm 0.13\, (\text{stat.}) \pm 0.09\, (\text{sys.})) \times 10^{-4}$\end{document} ![]()
![]()
and \begin{document}${\cal{B}}(\chi_{c2}\to\eta\eta\eta^{\prime}) = (4.18\, \pm 0.84\, (\text{stat.}) \pm 0.48\, (\text{sys.})) \times 10^{-5}$\end{document} ![]()
![]()
. An upper limit on the branching fraction of \begin{document}$\chi_{c0}\to\eta\eta\eta^{\prime}$\end{document} ![]()
![]()
is set as \begin{document}$2.59 \times 10^{-5}$\end{document} ![]()
![]()
at a 90% confidence level (CL). A partial wave analysis (PWA) of the decay \begin{document}$\chi_{c1}\to\eta\eta\eta^{\prime}$\end{document} ![]()
![]()
is performed to search for the \begin{document}$1^{-+}$\end{document} ![]()
![]()
exotic state \begin{document}$\eta_1(1855)$\end{document} ![]()
![]()
. The PWA result indicates that the structure in the \begin{document}$\eta\eta^{\prime}$\end{document} ![]()
![]()
mass spectrum is attributed to \begin{document}$f_0(1500)$\end{document} ![]()
![]()
, while in the \begin{document}$\eta\eta$\end{document} ![]()
![]()
mass spectrum, it is attributed to the \begin{document}$0^{++}$\end{document} ![]()
![]()
phase space. The upper limit of \begin{document}${\cal{B}}(\chi_{c1}\to\eta_{1}(1855)\eta) \cdot {\cal{B}}(\eta_{1}(1855)\to\eta\eta^{\prime})< $\end{document} ![]()
![]()
\begin{document}$ 9.79 \times 10^{-5}$\end{document} ![]()
![]()
is set based on the PWA at 90% CL.
Based on a sample of
2025, 49(12): 123101. doi: 10.1088/1674-1137/adf1f1
Abstract:
This paper presents a systematic study of hyperon non-leptonic two-body decays induced by light quark transitions, particularly the\begin{document}$ s \rightarrow u\bar{u}d $\end{document} ![]()
![]()
process, within the framework of SU(3) flavor symmetry. The effective weak Hamiltonian is decomposed into irreducible SU(3) representations, including the 27-plet and octet components, and applied to analyze decays of octet and decuplet baryons and charmed baryons. Both the irreducible representation amplitude (IRA) approach and the topological diagrammatic analysis (TDA) are employed to construct decay amplitudes and constrain the parameter space. SU(3) symmetry-breaking effects arising from the strange quark mass are incorporated systematically. A global fit to current experimental data allows us to extract form factors and predict branching ratios and asymmetry parameters for several decay channels. Our results demonstrate the predictive power of SU(3) flavor symmetry while highlighting significant symmetry-breaking effects, especially in amplitudes related to the 27-plet. Notably, the \begin{document}$ \Sigma^+ \rightarrow p\pi^0 $\end{document} ![]()
![]()
decay channel exhibits a deviation exceeding \begin{document}$ 1\sigma $\end{document} ![]()
![]()
from experimental measurements, suggesting the possible presence of new decay mechanisms or contributions beyond the Standard Model. Besides, we also evaluate the size of symmetry breaking. However, the large uncertainty of the experimental data makes it difficult to precisely determine the value of symmetry breaking. We strongly recommend that future experimental efforts aim to reduce the measurement uncertainties, especially for the processes \begin{document}$ \Lambda^0\to p\pi^- $\end{document} ![]()
![]()
and \begin{document}$ \Lambda^0\to n\pi^0 $\end{document} ![]()
![]()
, which have larger experimental errors compared to other data and play an important role in determining the symmetry breaking parameter. This study provides a systematic framework for future tests of the Standard Model and the search for new physics in hyperon decays.
This paper presents a systematic study of hyperon non-leptonic two-body decays induced by light quark transitions, particularly the
2025, 49(12): 123102. doi: 10.1088/1674-1137/adec51
Abstract:
The study of extra charged gauge bosons beyond the Standard Model has always been of great interest. Future muon colliders will have a significant advantage in discovering exotic particles. In this paper, by studying the\begin{document}$ \mu^+ \mu^- \to W^{\prime +} W^{\prime -} \to e^+ e^- n_e \bar{n}_e $\end{document} ![]()
![]()
process, we explore the properties of \begin{document}$ W^\prime $\end{document} ![]()
![]()
in the alternative left-right model. The cross section and angular distribution of the final electron are investigated in a scenario of different \begin{document}$ W^\prime $\end{document} ![]()
![]()
masses and right-handed coupling constants. The forward-backward asymmetry is also an important observable to reflect the properties of \begin{document}$ W^\prime $\end{document} ![]()
![]()
. We provide a method to effectively suppress the background processes by imposing constraints on the transverse momentum \begin{document}$ P_T $\end{document} ![]()
![]()
and azimuthal angle of the final-state electrons α. With cuts of \begin{document}$ 600<P_T<3500 $\end{document} ![]()
![]()
GeV and \begin{document}$ 0.5<\alpha<3 $\end{document} ![]()
![]()
, the significance exceeds 5σ for 4.8 TeV \begin{document}$ W^\prime $\end{document} ![]()
![]()
at a collision energy of 10 TeV.
The study of extra charged gauge bosons beyond the Standard Model has always been of great interest. Future muon colliders will have a significant advantage in discovering exotic particles. In this paper, by studying the
2025, 49(12): 123103. doi: 10.1088/1674-1137/adfa02
Abstract:
We study the pole trajectory of the recently established subthreshold negative-parity nucleon pole, namely the\begin{document}$N^*(920)$\end{document} ![]()
![]()
, with varying pion masses in the scheme of linear σ model with nucleons, using the \begin{document}$N/D$\end{document} ![]()
![]()
unitarization method. We find that, as the pion mass increases, the pole moves toward the real axis. For larger pion masses, at tree level, the pole falls to a specific point on u-channel cut and crosses to the adjacent Riemann sheet defined by the logarithmic u-channel cut. At the one-loop level, the pole does not meet the u-cut up to \begin{document}$m_\pi=0.36$\end{document} ![]()
![]()
GeV. We also re-examined the σ pole trajectory and found it to be in good agreement with the Roy equation analysis result.
We study the pole trajectory of the recently established subthreshold negative-parity nucleon pole, namely the
2025, 49(12): 123104. doi: 10.1088/1674-1137/adfb5d
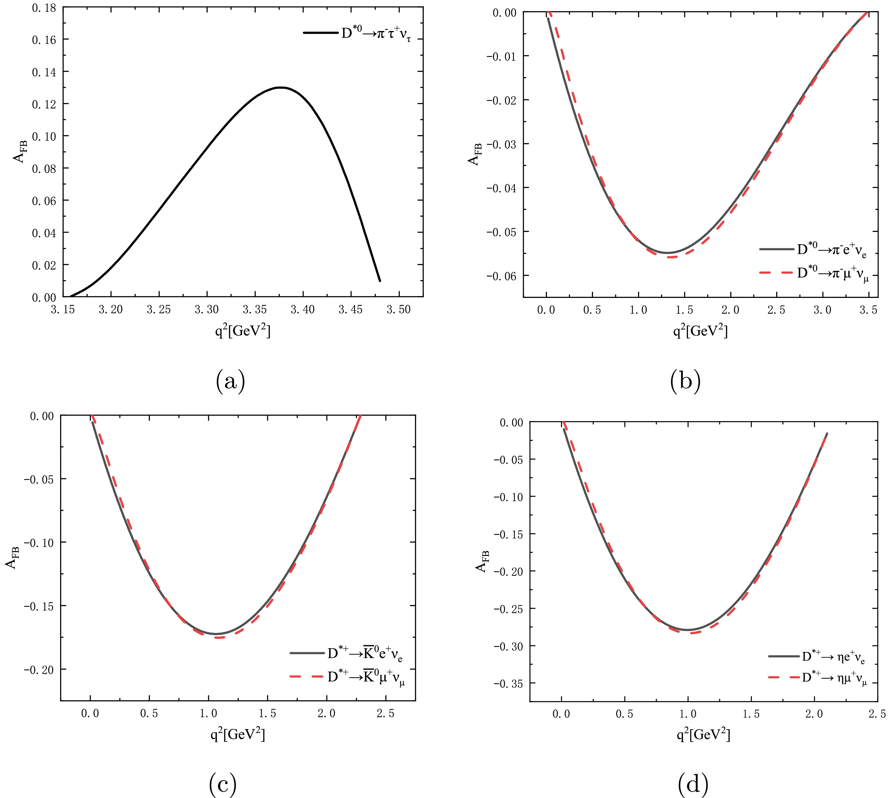
Abstract:
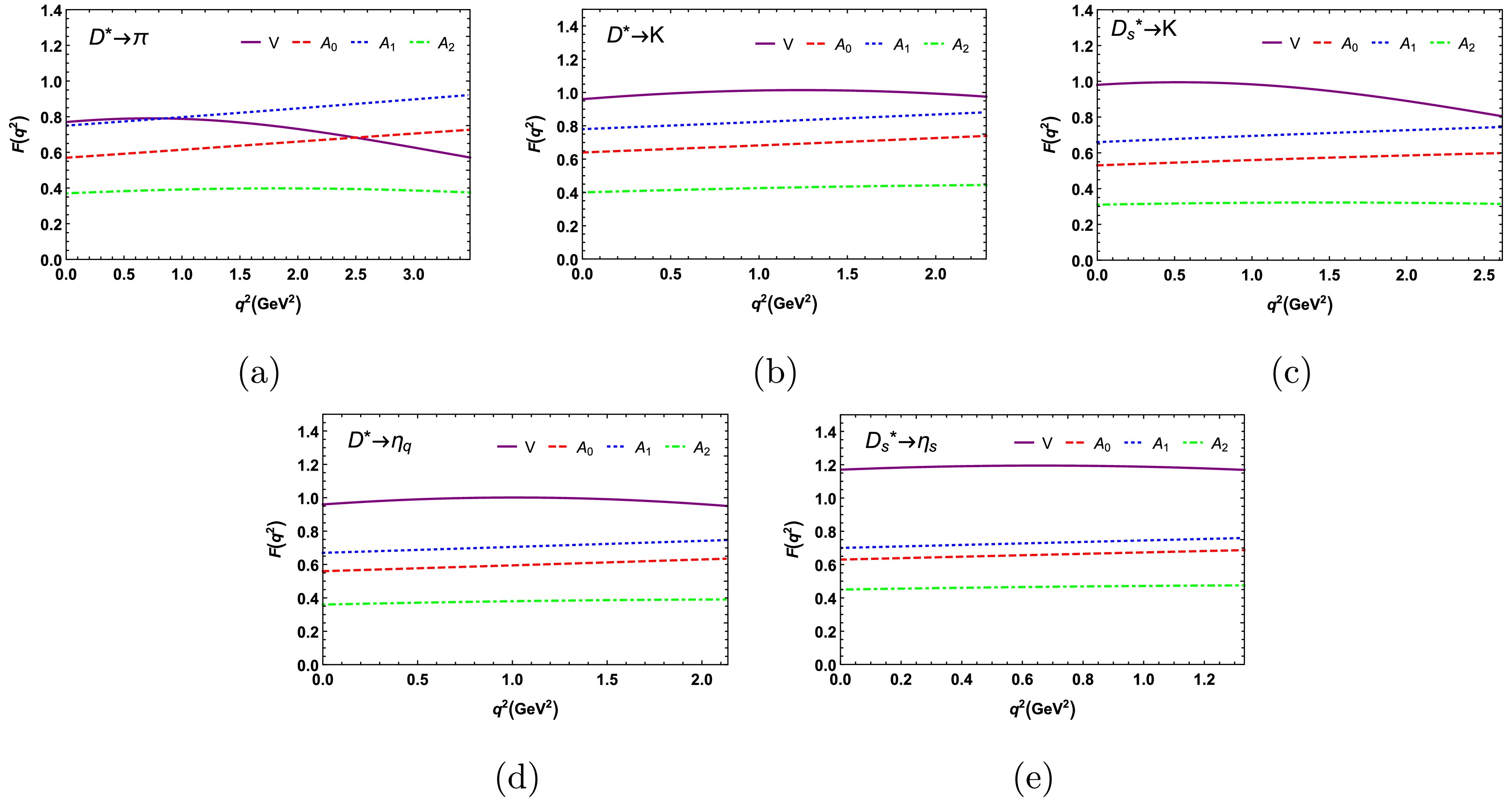
Similar to other heavy flavor mesons, the weak decays of\begin{document}$ D^*_{(s)} $\end{document} ![]()
![]()
mesons can provide a platform to verify the standard model, explore new physics, and understand the mechanisms of weak interactions. At present, the theoretical and experimental studies on \begin{document}$ D^*_{(s)} $\end{document} ![]()
![]()
mesons are relatively limited. In addition to the dominant electromagnetic decays, the \begin{document}$ D^*_{(s)} $\end{document} ![]()
![]()
weak decays should be feasible to explore the \begin{document}$ D^*_{(s)} $\end{document} ![]()
![]()
mesons. In this study, we used the covariant light-front quark model to study the form factors of the transitions \begin{document}$ D^*_{(s)}\to \pi, K, \eta_{q, s} $\end{document} ![]()
![]()
, and then calculated the branching ratios of the semi-leptonic decays \begin{document}$ D^*_{(s)}\to P\ell^{+}\nu_{\ell} $\end{document} ![]()
![]()
and the non-leptonic decays \begin{document}$ D^*_{(s)}\to PP, PV $\end{document} ![]()
![]()
with \begin{document}$ P=\pi, K, \eta^{(\prime)}, $\end{document} ![]()
![]()
\begin{document}$ V=\rho, K^*, \phi $\end{document} ![]()
![]()
, and \begin{document}$ \ell=e, \mu $\end{document} ![]()
![]()
. The channels \begin{document}$ D_{s}^{*+}\to\eta \ell^{+}\nu_{\ell} $\end{document} ![]()
![]()
and \begin{document}$ D^{*+}_{s}\to \eta\rho^{+} $\end{document} ![]()
![]()
possess the largest branching ratios, which can reach an order of \begin{document}$ 10^{-6} $\end{document} ![]()
![]()
among these decays, and are most likely to be accessible in experiments at future high-luminosity colliders. Furthermore, we predict and discuss the longitudinal polarization fraction \begin{document}$ f_{\rm L} $\end{document} ![]()
![]()
and the forward-backward asymmetry \begin{document}$ A_{\rm FB} $\end{document} ![]()
![]()
for the considered semi-leptonic \begin{document}$ D^*_{(s)} $\end{document} ![]()
![]()
decays.
Similar to other heavy flavor mesons, the weak decays of
2025, 49(12): 123105. doi: 10.1088/1674-1137/adf322
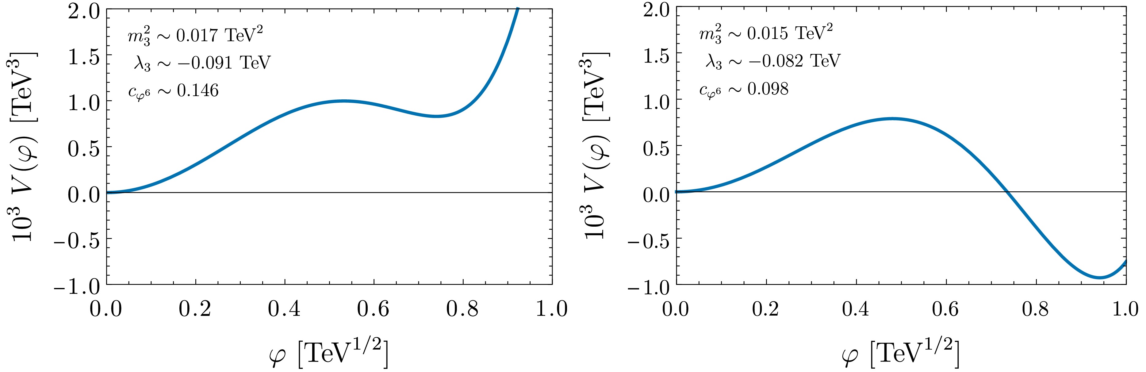
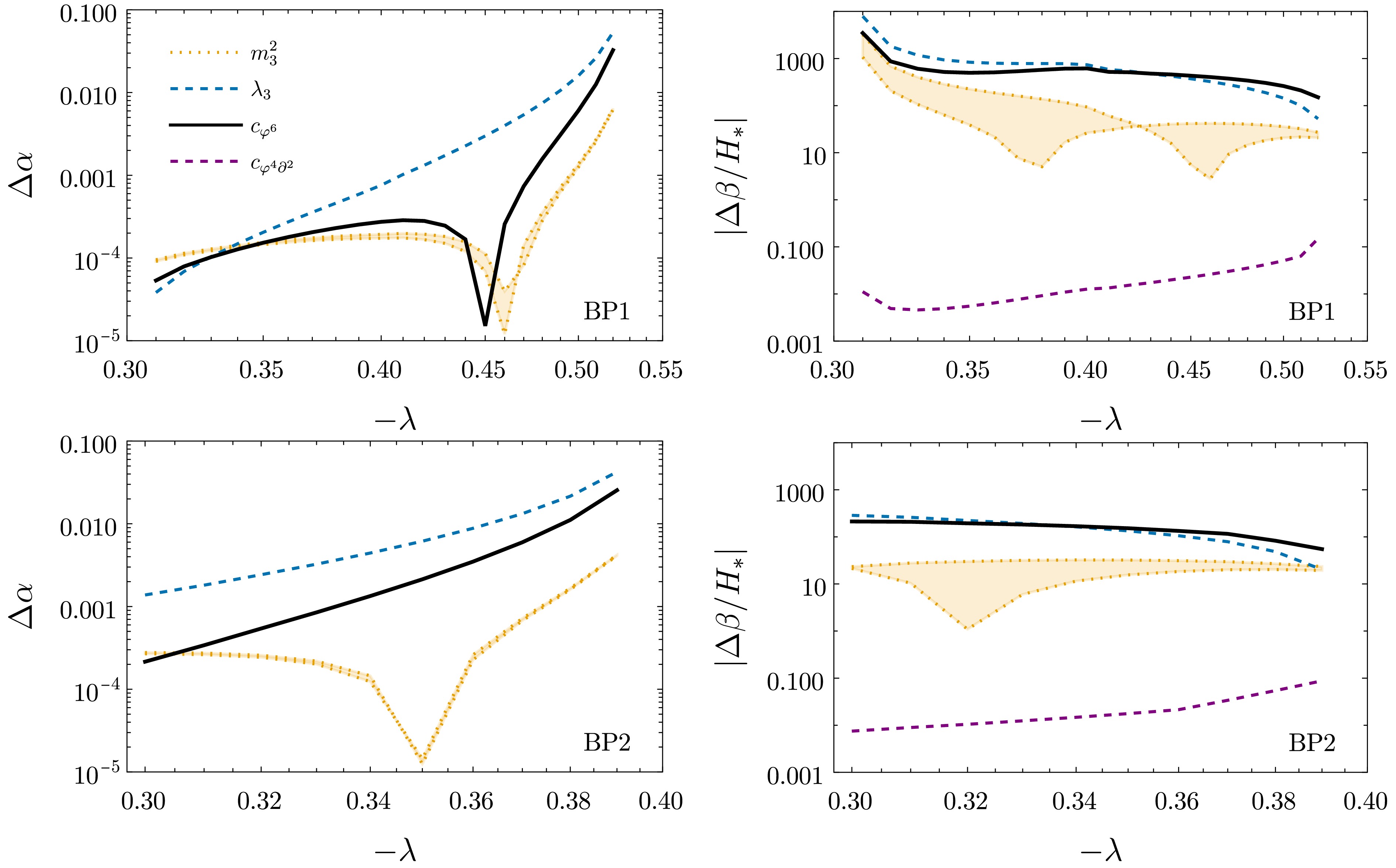
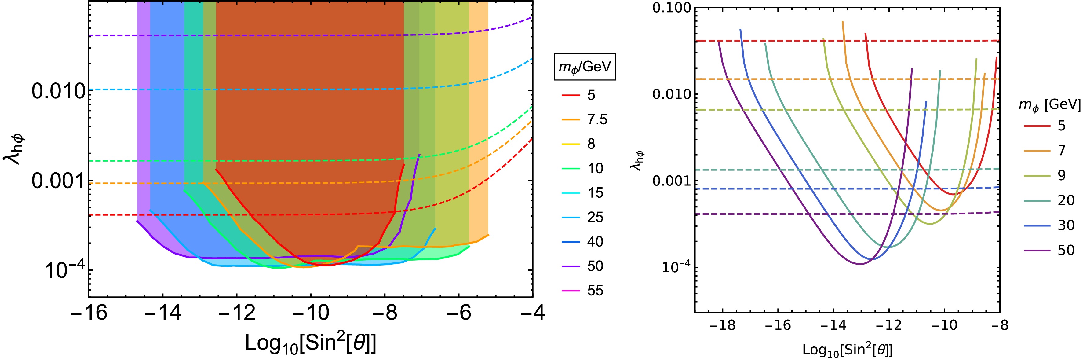
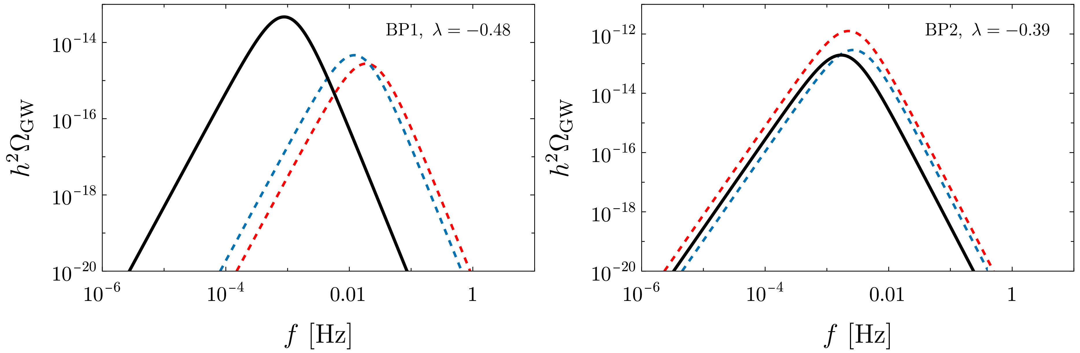
Abstract:
We perform the first computation of phase-transition parameters to cubic order in\begin{document}$ \lambda\sim m^2/T^2 $\end{document} ![]()
![]()
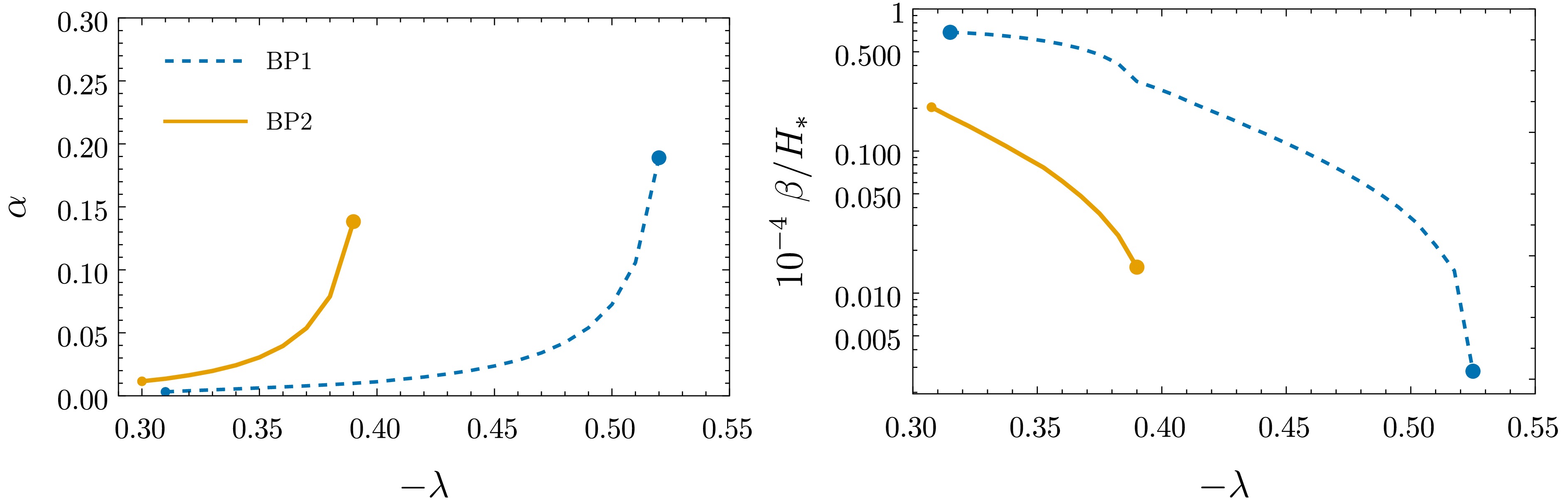
, where m is the scalar mass and T is the temperature, in a simple model resembling the Higgs sector of the SMEFT. We use dimensional reduction, including 1-loop matching corrections for terms of dimension 6 (in 4-dimensional units), 2-loop contributions for dimension-4 ones and 3-loops for the squared mass. We precisely quantify the size of the different corrections, including renormalization-group running as well as quantum effects from light fields in the effective theory provided by the Coleman-Weinberg potential, and discuss briefly the implications for gravitational waves. Our results suggest that, for strong phase transitions, 1-loop corrections from dimension-6 operators can compete with 2-loop ones from quartic couplings and largely surpass those from 3-loop thermal masses.
We perform the first computation of phase-transition parameters to cubic order in
2025, 49(12): 123106. doi: 10.1088/1674-1137/adff00
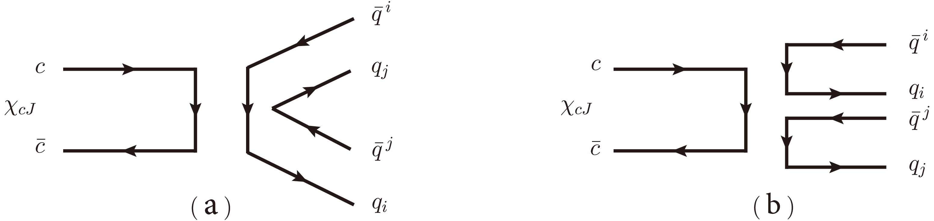
Abstract:
Based on available experimental results on\begin{document}$ \chi _{cJ}(J=0,1,2) $\end{document} ![]()
![]()
decays, we investigated the \begin{document}$ \chi_{cJ}\to PP $\end{document} ![]()
![]()
, \begin{document}$ VV $\end{document} ![]()
![]()
, \begin{document}$ PV $\end{document} ![]()
![]()
, and \begin{document}$ PT $\end{document} ![]()
![]()
decays using the SU(3) flavor symmetry/breaking approach, where P, V, and T denote light pseudoscalar, vector, and tensor mesons, respectively. With the decay amplitude relations determined by SU(3) flavor symmetry/breaking, we present the branching ratios for all \begin{document}$ \chi_{cJ}\to PP $\end{document} ![]()
![]()
and \begin{document}$ \chi_{cJ}\to VV $\end{document} ![]()
![]()
modes, including those without experimental data. While theoretical considerations strongly suppress or even forbid most \begin{document}$ \chi_{cJ}\to PV $\end{document} ![]()
![]()
and \begin{document}$ PT $\end{document} ![]()
![]()
decays, we also provide quantitative predictions constrained by existing experimental data. Our results are expected to be accessible in future experiments at BESIII and the planned Super Tau-Charm Facility.
Based on available experimental results on
2025, 49(12): 123107. doi: 10.1088/1674-1137/adfc34
Abstract:
By capturing the characteristics of the Bethe-Salpeter amplitude for the pion excitation state, we construct an algebraic model to provide the overall features of the pion’s first excitation state parton distribution amplitude and distribution function. We find that, at the hadronic scale, the distribution amplitude of the excited state exhibits nodes, while the distribution function is unimodal, with a peak at\begin{document}$x=1/2 $\end{document} ![]()
![]()
and distinct concave and convex fluctuations in the valence region. These findings provide new insights into the partonic structure of excited mesons and contribute significantly to our understanding of hadronic excitations.
By capturing the characteristics of the Bethe-Salpeter amplitude for the pion excitation state, we construct an algebraic model to provide the overall features of the pion’s first excitation state parton distribution amplitude and distribution function. We find that, at the hadronic scale, the distribution amplitude of the excited state exhibits nodes, while the distribution function is unimodal, with a peak at
2025, 49(12): 123108. doi: 10.1088/1674-1137/ae1194
Abstract:
2025, 49(12): 124001. doi: 10.1088/1674-1137/adcf0e
Abstract:
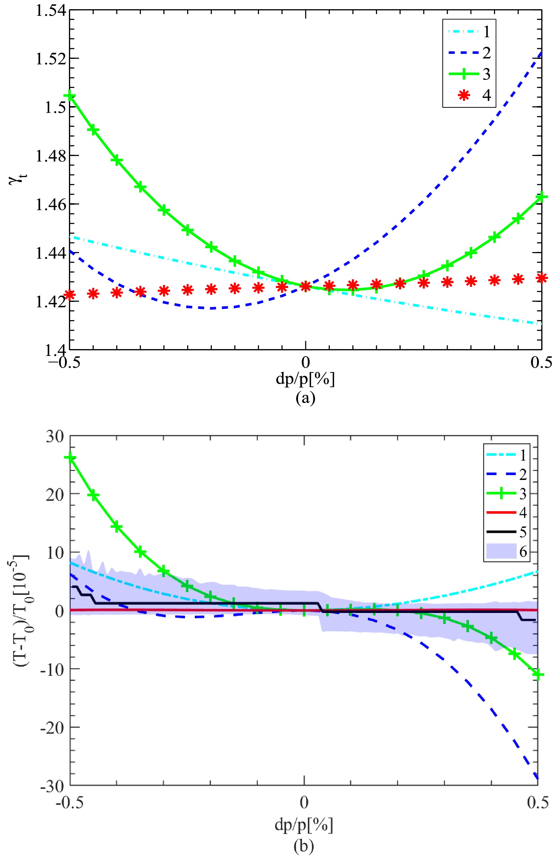
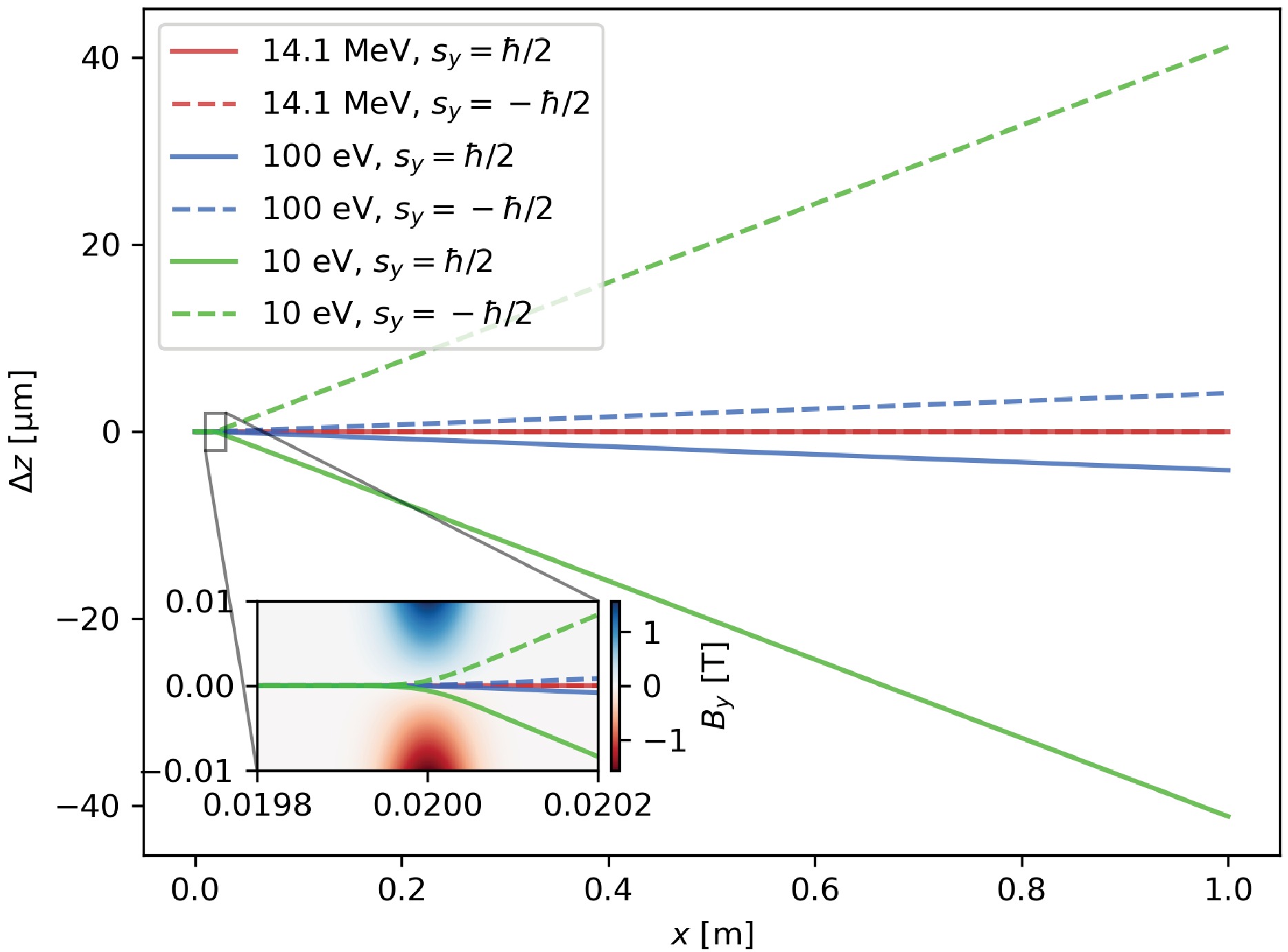
The measurement of mass, or equivalently the binding energy, of exotic nuclei has reached the limits of nuclear existence, which are characterized by tiny production cross-sections and short half-lives. The isochronous mode of the Spectrometer Ring at the High Intensity heavy-ion Accelerator Facility project in China (HIAF-SRing) offers the capacity for such measurements. However, many factors limit the revolution time resolution of the isochronous mode of the large acceptance HIAF-SRing. Nonlinear field errors as well as fringe fields of the wide aperture dipoles and quadrupoles strongly excite the higher-order aberrations, which negatively affect the revolution time resolution. Moreover, the transverse emittance of the beam is inversely proportional to the revolution time resolution. Their influence is investigated here, and a possible correction scheme with sextupoles and octupoles is shown. With higher-order corrections, a mass resolution of\begin{document}$R({\rm FWHM}) = 1\times10^{6}$\end{document} ![]()
![]()
, corresponding to a relative revolution time of \begin{document}$\sigma(T)/T \sim 4.9\times 10^{-7} $\end{document} ![]()
![]()
, is with the isochronous setting \begin{document}$\gamma_t=1.43$\end{document} ![]()
![]()
within the momentum acceptance of \begin{document}$\pm0.2$\end{document} ![]()
![]()
%.
The measurement of mass, or equivalently the binding energy, of exotic nuclei has reached the limits of nuclear existence, which are characterized by tiny production cross-sections and short half-lives. The isochronous mode of the Spectrometer Ring at the High Intensity heavy-ion Accelerator Facility project in China (HIAF-SRing) offers the capacity for such measurements. However, many factors limit the revolution time resolution of the isochronous mode of the large acceptance HIAF-SRing. Nonlinear field errors as well as fringe fields of the wide aperture dipoles and quadrupoles strongly excite the higher-order aberrations, which negatively affect the revolution time resolution. Moreover, the transverse emittance of the beam is inversely proportional to the revolution time resolution. Their influence is investigated here, and a possible correction scheme with sextupoles and octupoles is shown. With higher-order corrections, a mass resolution of
2025, 49(12): 124002. doi: 10.1088/1674-1137/adf49e
Abstract:
To study the nuclear properties and deformation of neutron-rich cesium isotopes in their ground and isomeric states at the Beijing Rare Isotope Beam Facility (BRIF), optimal resonance ionization schemes and experimental conditions must be predetermined. In this study, we evaluated several three-step laser resonance ionization schemes for cesium atoms by accessing their ionization efficiency and spectral resolution under varying measurement conditions using high-resolution and high-sensitivity collinear resonance ionization spectroscopy system. Hence, we identified the currently most efficient resonance ionization scheme and optimal experimental conditions, achieving an overall measurement efficiency of 1: 400 with a spectral resolution of about 100 MHz. Under this condition, the extracted hyperfine structure parameters of 133Cs showed excellent agreement with previously reported values. This study establishes a solid foundation for the forthcoming online measurement of neutron-rich cesium isotopes at BRIF.
To study the nuclear properties and deformation of neutron-rich cesium isotopes in their ground and isomeric states at the Beijing Rare Isotope Beam Facility (BRIF), optimal resonance ionization schemes and experimental conditions must be predetermined. In this study, we evaluated several three-step laser resonance ionization schemes for cesium atoms by accessing their ionization efficiency and spectral resolution under varying measurement conditions using high-resolution and high-sensitivity collinear resonance ionization spectroscopy system. Hence, we identified the currently most efficient resonance ionization scheme and optimal experimental conditions, achieving an overall measurement efficiency of 1: 400 with a spectral resolution of about 100 MHz. Under this condition, the extracted hyperfine structure parameters of 133Cs showed excellent agreement with previously reported values. This study establishes a solid foundation for the forthcoming online measurement of neutron-rich cesium isotopes at BRIF.
2025, 49(12): 124003. doi: 10.1088/1674-1137/adf4b2
Abstract:
A novel method is proposed to measure the interaction cross sections of short-lived hypernuclei with the WASA-FRS experimental setup at GSI and FAIR. The interaction cross sections of hypernuclei, produced in projectile fragmentation reactions at relativistic energies, can be determined from their production point distribution within a target. The feasibility of such a measurement is evaluated through detailed Monte Carlo simulations. The results indicate that an aimed uncertainty on the order of 10% can be achieved for the case of a hypertriton, demonstrating the potential of this method for studying matter radii and the possible hyperon halo structure of hypernuclei.
A novel method is proposed to measure the interaction cross sections of short-lived hypernuclei with the WASA-FRS experimental setup at GSI and FAIR. The interaction cross sections of hypernuclei, produced in projectile fragmentation reactions at relativistic energies, can be determined from their production point distribution within a target. The feasibility of such a measurement is evaluated through detailed Monte Carlo simulations. The results indicate that an aimed uncertainty on the order of 10% can be achieved for the case of a hypertriton, demonstrating the potential of this method for studying matter radii and the possible hyperon halo structure of hypernuclei.
2025, 49(12): 124004. doi: 10.1088/1674-1137/ae0306
Abstract:
Cross sections of the 6Li(n, t)4He reaction were measured in the fast neutron energy range from 3.3 to 5.3 MeV using a gridded ionization chamber (GIC) and well–calibrated experimental setup at the EG–5 Van de Graaff accelerator of the Frank Laboratory of Neutron Physics, Joint Institute for Nuclear Research (FLNP, JINR). Lithium fluoride (6LiF) samples with varying thicknesses and krypton–CO2 gas mixtures with different pressures were used to optimize the detection of both alpha particles and tritons. Neutron fluxes were monitored using two high–purity (99.999%) 238U3O8 samples placed inside the GIC, complemented by an externally calibrated 3He long counter. The measured 6Li(n, t)4He cross–section data were compared with existing results of measurements and evaluations from EXFOR and ENDF nuclear data libraries, and the results showed a good agreement in the measured neutron energy range. These new measurements provide reliable cross–section data that contribute to the refinement of evaluated nuclear data files and support applications in nuclear physics, tritium production, and reactor design.
Cross sections of the 6Li(n, t)4He reaction were measured in the fast neutron energy range from 3.3 to 5.3 MeV using a gridded ionization chamber (GIC) and well–calibrated experimental setup at the EG–5 Van de Graaff accelerator of the Frank Laboratory of Neutron Physics, Joint Institute for Nuclear Research (FLNP, JINR). Lithium fluoride (6LiF) samples with varying thicknesses and krypton–CO2 gas mixtures with different pressures were used to optimize the detection of both alpha particles and tritons. Neutron fluxes were monitored using two high–purity (99.999%) 238U3O8 samples placed inside the GIC, complemented by an externally calibrated 3He long counter. The measured 6Li(n, t)4He cross–section data were compared with existing results of measurements and evaluations from EXFOR and ENDF nuclear data libraries, and the results showed a good agreement in the measured neutron energy range. These new measurements provide reliable cross–section data that contribute to the refinement of evaluated nuclear data files and support applications in nuclear physics, tritium production, and reactor design.
2025, 49(12): 124101. doi: 10.1088/1674-1137/adef24
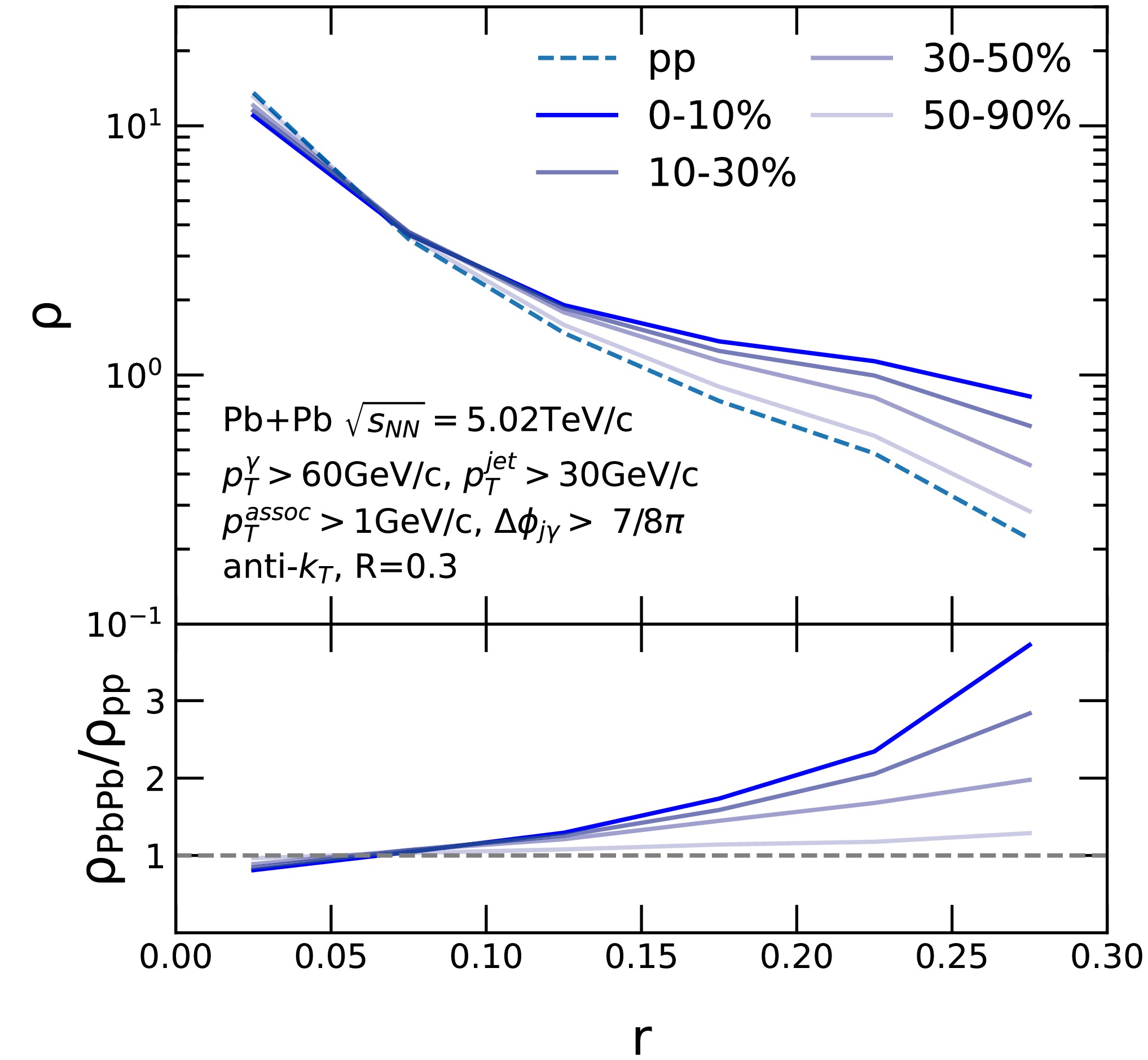
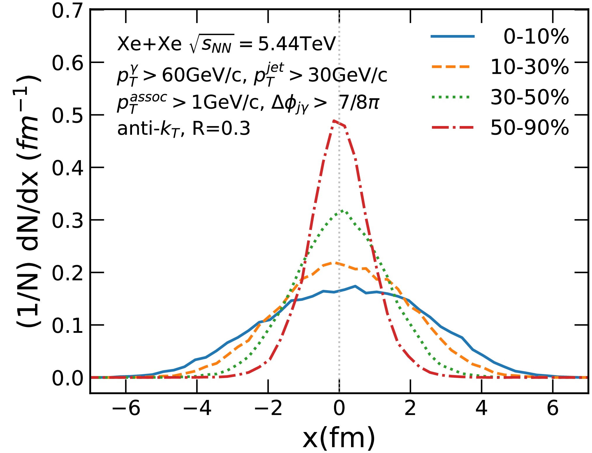
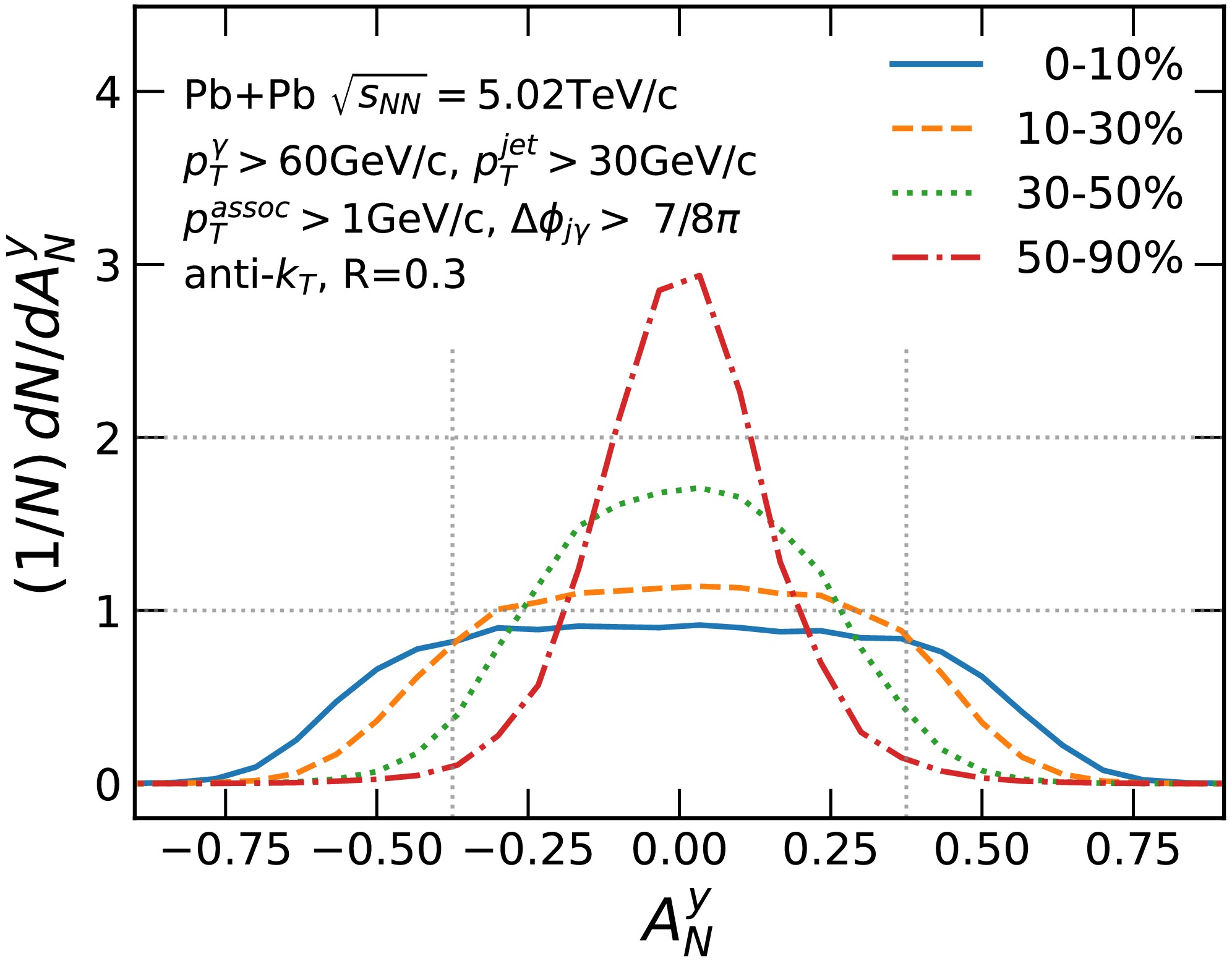
Abstract:
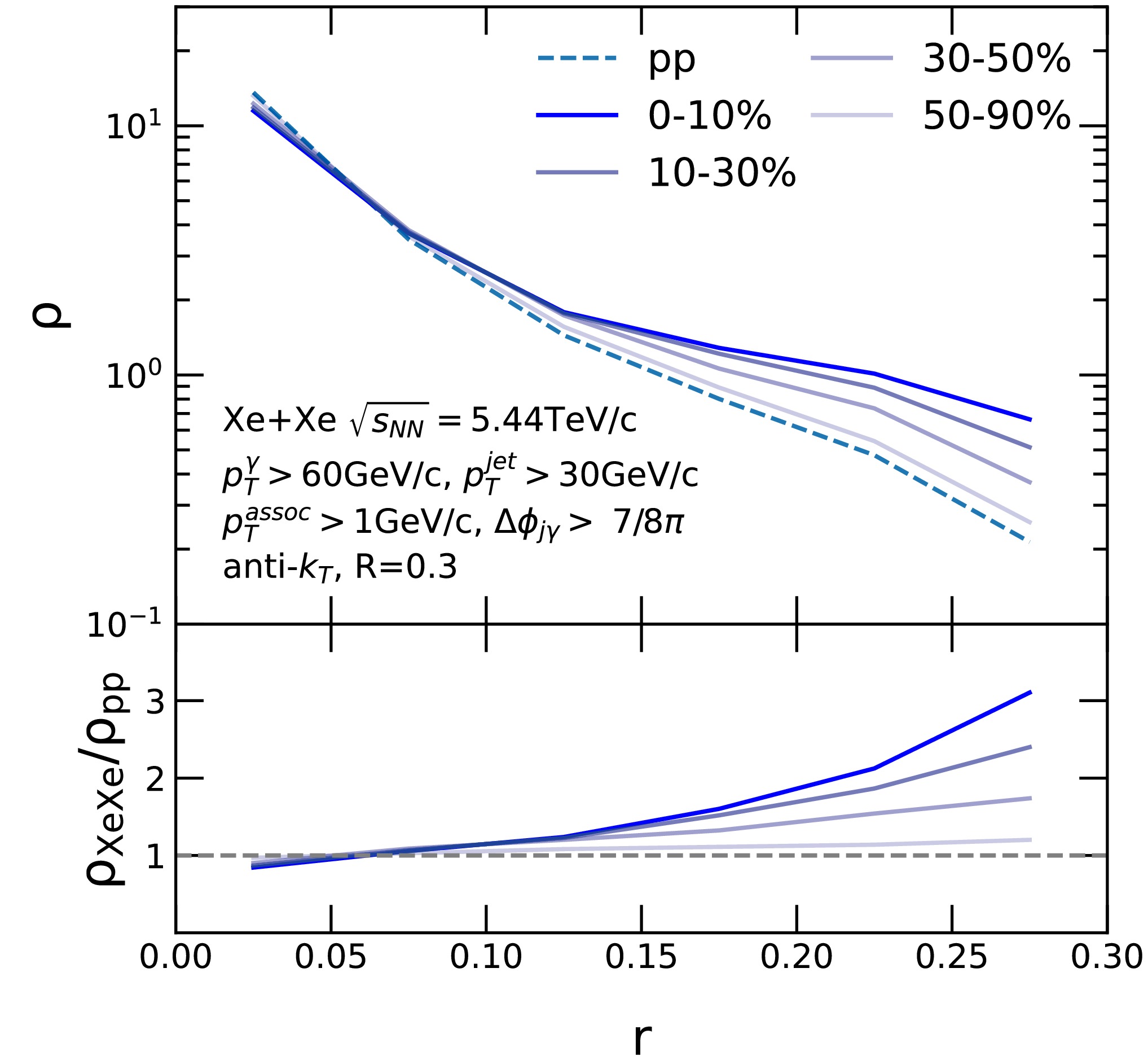
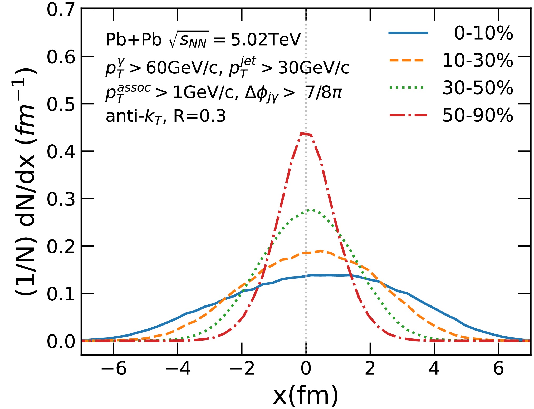
Medium modifications of γ-triggered jets are investigated with the linear Boltzmann transport model in heavy-ion collisions with varying system sizes, focusing on centrality dependence in Pb+Pb and Xe+Xe collisions at the LHC. Our numerical results reveal that jets produced in central collisions exhibit a wider transverse asymmetry (\begin{document}$ A_N^y $\end{document} ![]()
![]()
) distribution, broader jet shape, and more pronounced γ-jet transverse momentum imbalance (\begin{document}$ X_{J\gamma}=p_T^{\rm jet}/p_T^\gamma $\end{document} ![]()
![]()
) compared with peripheral collisions. These effects arise from the longer path length and stronger jet-medium interactions in central collisions, leading to enhanced jet quenching and medium response. Our findings demonstrate that the magnitude of γ-jet modifications is sensitive to the size and centrality of the collision system, with larger systems inducing more significant alterations owing to increased energy loss and medium feedback.
Medium modifications of γ-triggered jets are investigated with the linear Boltzmann transport model in heavy-ion collisions with varying system sizes, focusing on centrality dependence in Pb+Pb and Xe+Xe collisions at the LHC. Our numerical results reveal that jets produced in central collisions exhibit a wider transverse asymmetry (
2025, 49(12): 124102. doi: 10.1088/1674-1137/adec4f
Abstract:
When the spins of deuteron and triton are aligned in parallel, the fusion cross-section increases by approximately 50%. The emitted neutrons are anisotropic and polarized in specific directions. The polarized neutron beams can be used to measure strong magnetic fields in high-energy-density plasmas, offering a potential alternative to the well-established proton imaging technique. In contrast to protons, neutrons are not deflected by electromagnetic fields and are not sensitive to electric fields, thus reducing the complexity of magnetic field reconstruction. Three-dimensional spin transport hydrodynamics simulations are employed to investigate the polarized neutron beams generated from spin-polarized deuterium-tritium target implosions. Synthetic polarized neutron images of magnetic fields are generated from Monte Carlo simulations. Based on a comparison of the results of finite-size sources and an ideal point source, a method to compensate the finite-source-size blurring effect is proposed to reduce the error in magnetic field reconstruction.
When the spins of deuteron and triton are aligned in parallel, the fusion cross-section increases by approximately 50%. The emitted neutrons are anisotropic and polarized in specific directions. The polarized neutron beams can be used to measure strong magnetic fields in high-energy-density plasmas, offering a potential alternative to the well-established proton imaging technique. In contrast to protons, neutrons are not deflected by electromagnetic fields and are not sensitive to electric fields, thus reducing the complexity of magnetic field reconstruction. Three-dimensional spin transport hydrodynamics simulations are employed to investigate the polarized neutron beams generated from spin-polarized deuterium-tritium target implosions. Synthetic polarized neutron images of magnetic fields are generated from Monte Carlo simulations. Based on a comparison of the results of finite-size sources and an ideal point source, a method to compensate the finite-source-size blurring effect is proposed to reduce the error in magnetic field reconstruction.
2025, 49(12): 124103. doi: 10.1088/1674-1137/adf317
Abstract:
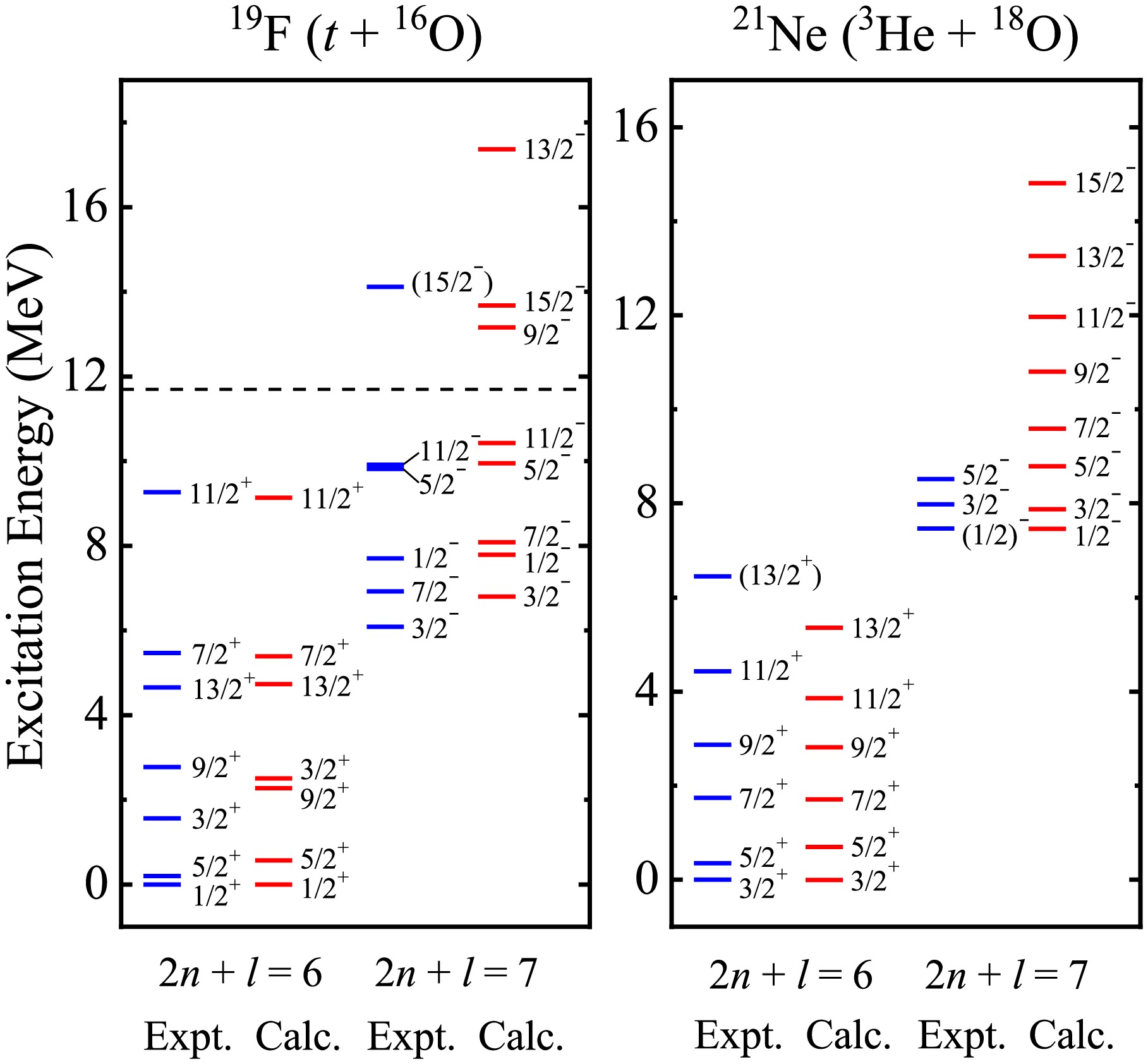
Clustering, as a fundamental dynamical feature existing widely in many-body systems, has aroused tremendous interest in nuclear physics over the last few decades. The α-cluster concept has been used successfully to describe the energy spectra and electromagnetic transitions for a series of nuclei above the doubly magic core. In the present study, we have systematically investigated the spectroscopic properties of three-nucleon and α-cluster states in 19F and 21Ne within the binary cluster-core model (BCM) plus the extra spin-orbit potential. The calculated energy levels and electromagnetic transition strengths, with few exceptions, are in good agreement with experimental data, confirming the reliability and integrity of BCM. Furthermore, such a BCM is extended to the case of cluster states approaching shell closures in heavier nuclei, such as 43Sc, 59Cu, and 93Mo, leading to satisfactory reproductions and predictions on energy levels and reduced transition rates. It is expected that the present study can provide further insight into the cluster degrees of freedom in odd-A nuclei.
Clustering, as a fundamental dynamical feature existing widely in many-body systems, has aroused tremendous interest in nuclear physics over the last few decades. The α-cluster concept has been used successfully to describe the energy spectra and electromagnetic transitions for a series of nuclei above the doubly magic core. In the present study, we have systematically investigated the spectroscopic properties of three-nucleon and α-cluster states in 19F and 21Ne within the binary cluster-core model (BCM) plus the extra spin-orbit potential. The calculated energy levels and electromagnetic transition strengths, with few exceptions, are in good agreement with experimental data, confirming the reliability and integrity of BCM. Furthermore, such a BCM is extended to the case of cluster states approaching shell closures in heavier nuclei, such as 43Sc, 59Cu, and 93Mo, leading to satisfactory reproductions and predictions on energy levels and reduced transition rates. It is expected that the present study can provide further insight into the cluster degrees of freedom in odd-A nuclei.
2025, 49(12): 124104. doi: 10.1088/1674-1137/adef1b
Abstract:
Event-by-event fluctuations in the initial energy density of nuclear collisions lead to the decorrelation of second order flow vector, which is known as its transverse-momentum (\begin{document}$ p_{\mathrm{T}} $\end{document} ![]()
![]()
) and pseudorapidity (η) dependence as observed in high-energy heavy-ion collisions. Existing measurements at the CERN Large Hadron Collider showed that these decorrelations are also observed in small collision systems. In this work, a systematic study of the transverse-momentum- and pseudorapidity-dependent flow vector decorrelation is performed in p–Pb collisions at the 5.02 TeV with A Multi-Phase Transport (AMPT) model using different tunings of initial conditions and partonic and hadronic interactions. The string-melting version of the AMPT model provides a reasonable description of the measured flow vector decorrelation as a function of \begin{document}$ p_{\mathrm{T}} $\end{document} ![]()
![]()
and η. We demonstrate that hadronic scatterings do not have a significant effect on decorrelation in p–Pb collisions for different centrality selections, while both initial conditions and partonic interactions affect the magnitude of the decorrelations. In addition, we found that the subtraction of the nonflow, especially the long-range jet correlation, is crucial for the accurate extraction of flow vector decorrelation in small collision systems. The comparison of data and model presented in this paper provide further insights in understanding the fluctuations of the flow vector with \begin{document}$ p_{\mathrm{T}} $\end{document} ![]()
![]()
and η in small collision systems and has referential value for future measurements.
Event-by-event fluctuations in the initial energy density of nuclear collisions lead to the decorrelation of second order flow vector, which is known as its transverse-momentum (
2025, 49(12): 124105. doi: 10.1088/1674-1137/adf4a1
Abstract:
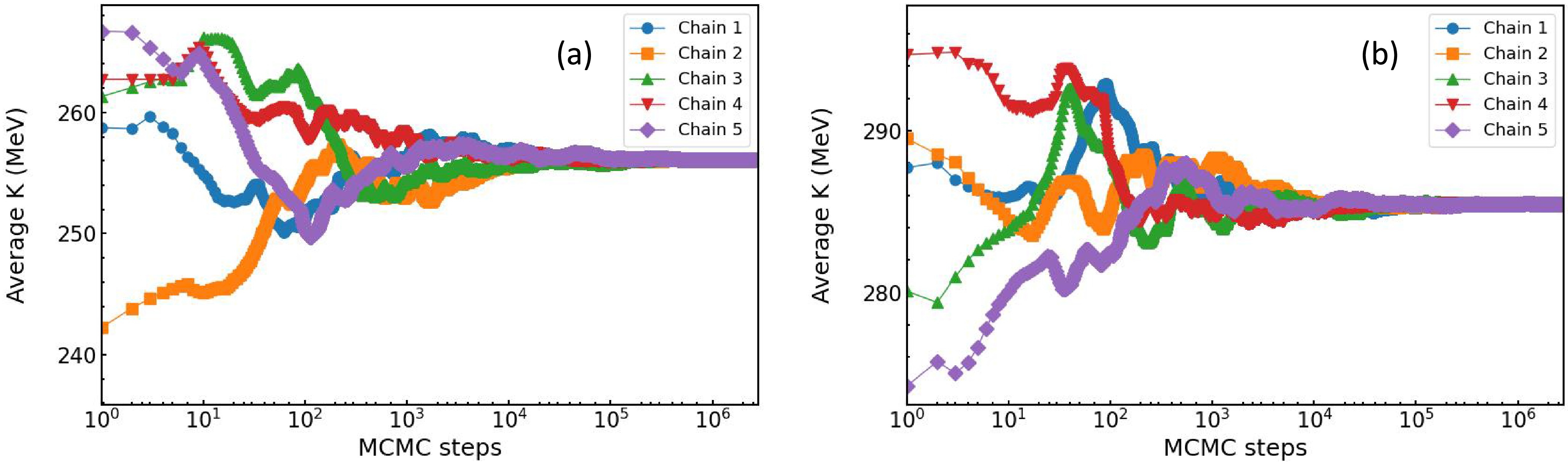
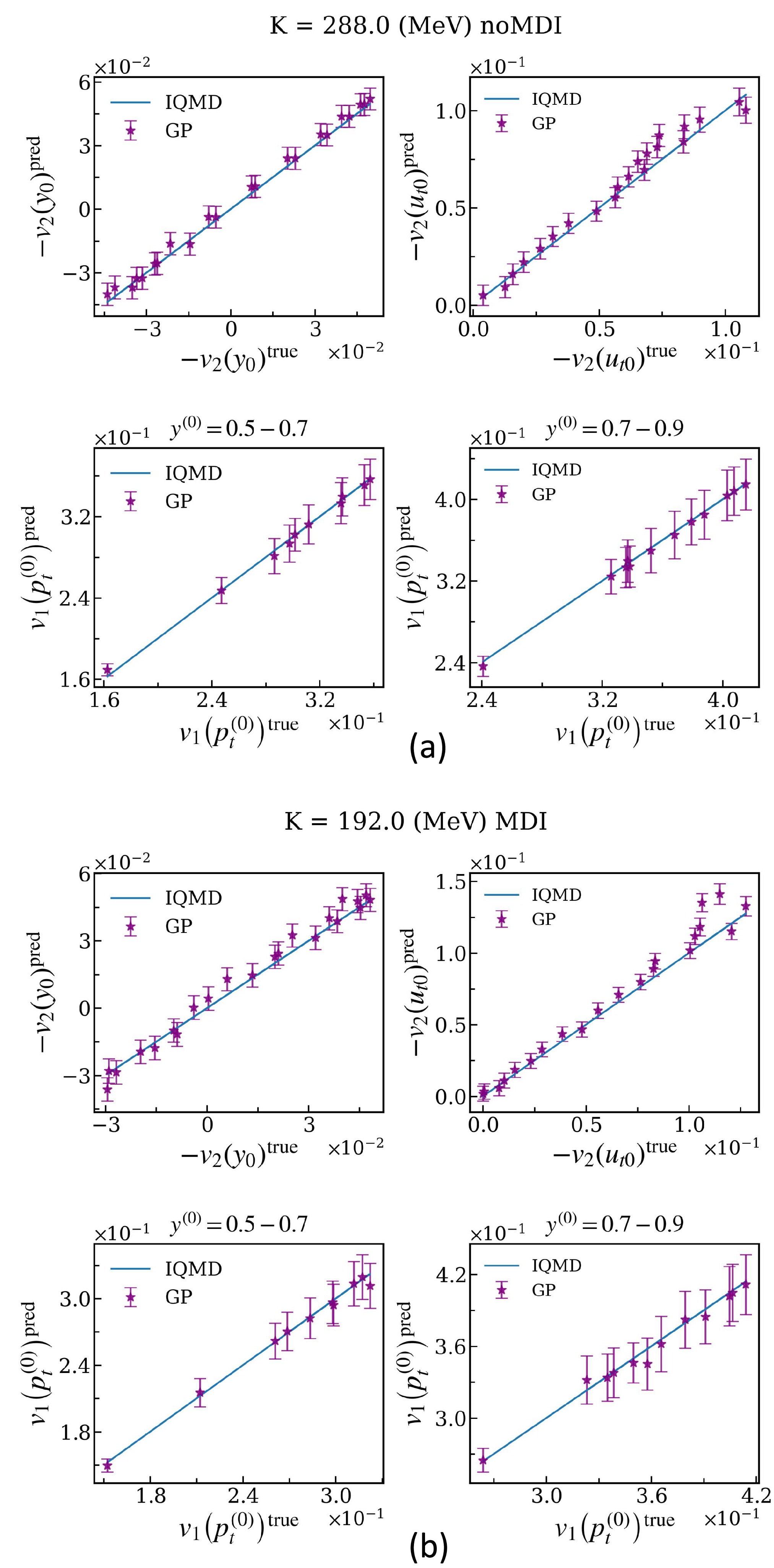
The incompressibility K of symmetric nuclear matter (SNM) is determined through a Bayesian analysis of collective flow data from Au + Au collisions at beam energies\begin{document}$E = 400 -1500$\end{document} ![]()
![]()
MeV/nucleon. This analysis utilizes a Gaussian process (GP) emulator applied to the isospin-dependent quantum molecular dynamics (IQMD) model for heavy-ion collisions, both with and without incorporating the momentum dependence of the single-nucleon potentials. Specifically, at the 68% confidence level, using rapidity and transverse velocity dependence of proton elliptic flow data with and without consideration of the momentum dependence, the inferred incompressibility values are \begin{document}$K=188.9^{+2.9}_{-4.5}$\end{document} ![]()
![]()
MeV and \begin{document}$256.1^{+8.2}_{-8.7}$\end{document} ![]()
![]()
MeV at \begin{document}$E = 400$\end{document} ![]()
![]()
MeV/nucleon, respectively. When the transverse momentum dependence of proton-like directed flow data is included, the inferred incompressibility values become \begin{document}$K=222.3^{+9.0}_{-9.9}$\end{document} ![]()
![]()
MeV and \begin{document}$K=285.5^{+6.7}_{-7.3}$\end{document} ![]()
![]()
MeV, respectively. Furthermore, we found that the value of K derived from observables of proton elliptic flow increases with beam energy. This indicates that the equation of state (EoS) of nuclear matter hardens at higher densities and temperatures in reactions with higher beam energies.
The incompressibility K of symmetric nuclear matter (SNM) is determined through a Bayesian analysis of collective flow data from Au + Au collisions at beam energies
2025, 49(12): 124106. doi: 10.1088/1674-1137/adfe53
Abstract:
An analytical formula with high accuracy is proposed for a systematic description of the capture cross sections at near-barrier energies from light to superheavy reaction systems. Based on the empirical barrier distribution method, three key input quantities are refined by introducing nuclear surface correction to the Coulomb parameter z for calculating the barrier height, incorporating the reaction Q-value and shell correction into the barrier distribution width calculations, and considering the deep inelastic scattering effects of superheavy systems on the barrier radius. With these refinements, the accuracy of not only the calculated barrier height but also the predicted capture cross sections is substantially improved. The average deviation (in logarithmic scale) between the predicted cross sections and the experimental data for 426 reaction systems with\begin{document}$ 35 < Z_1 Z_2 < 2600 $\end{document} ![]()
![]()
is sharply reduced from 3.485 to 0.113.
An analytical formula with high accuracy is proposed for a systematic description of the capture cross sections at near-barrier energies from light to superheavy reaction systems. Based on the empirical barrier distribution method, three key input quantities are refined by introducing nuclear surface correction to the Coulomb parameter z for calculating the barrier height, incorporating the reaction Q-value and shell correction into the barrier distribution width calculations, and considering the deep inelastic scattering effects of superheavy systems on the barrier radius. With these refinements, the accuracy of not only the calculated barrier height but also the predicted capture cross sections is substantially improved. The average deviation (in logarithmic scale) between the predicted cross sections and the experimental data for 426 reaction systems with
2025, 49(12): 124107. doi: 10.1088/1674-1137/adf49f
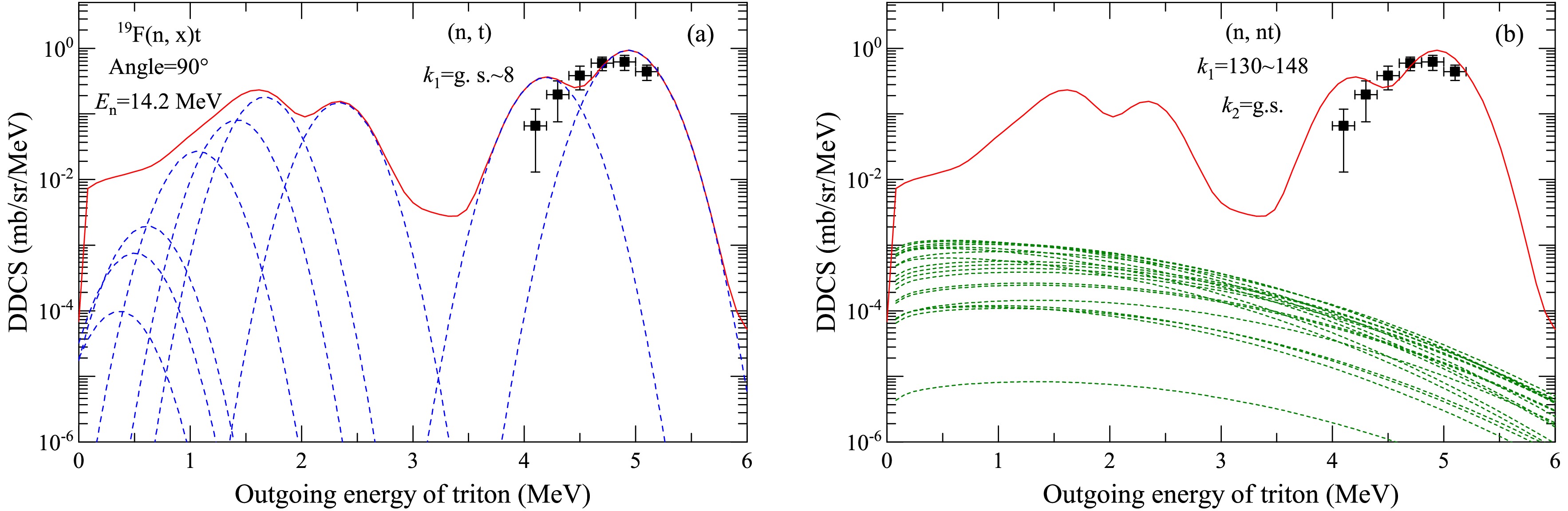
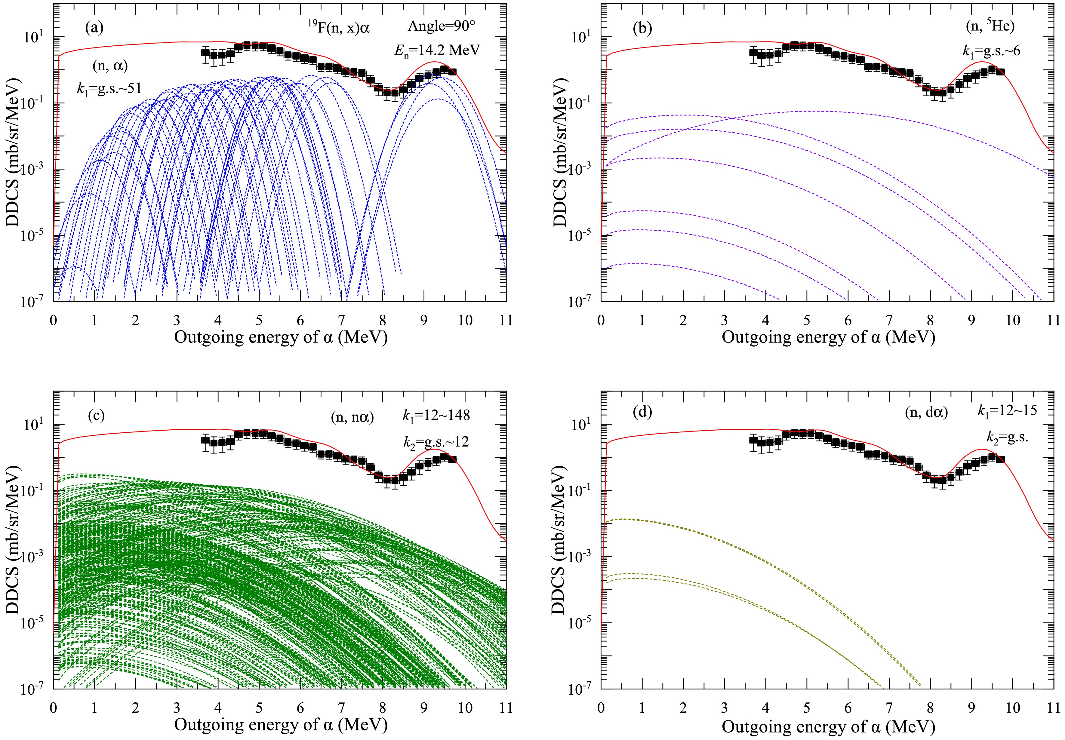
Abstract:
The double-differential cross sections (DDCSs) for the n+19F reaction are crucial for elucidating the mechanisms of nuclear reaction processes, advancing applications in nuclear engineering and technology, and supporting fundamental research in nuclear astrophysics. The quantitative description of the DDCS for emission products presents a persistent theoretical challenge, primarily due to the effects of energy levels being more intricate than those of 1p-shell nuclei. The pick-up mechanism of complex particles, as one of the important components of the statistical theory for light nuclear reactions (STLN), is improved to describe the DDCSs of outgoing charged particles, considering the effect of energy levels with energy, angular momentum, and parity conservations. A comprehensive analysis of all open reaction channels is performed for the n+19F reaction below 20 MeV. After ensuring the acquisition of the high-quality DDCS of the emitted neutrons, the DDCSs of outgoing charged particles (including\begin{document}$ p, d, t, \alpha $\end{document} ![]()
![]()
) are self-consistently obtained. The results of this study are not only in good agreement with recently measured experimental data at \begin{document}$ E_n $\end{document} ![]()
![]()
=14.2 MeV but also superior to the data recommended by current major nuclear databases. Thus, the LUNF code for the n+19F reaction is developed to obtain an ENDF-6 formatted DDCS file of the nucleon and light composite charged particles.
The double-differential cross sections (DDCSs) for the n+19F reaction are crucial for elucidating the mechanisms of nuclear reaction processes, advancing applications in nuclear engineering and technology, and supporting fundamental research in nuclear astrophysics. The quantitative description of the DDCS for emission products presents a persistent theoretical challenge, primarily due to the effects of energy levels being more intricate than those of 1p-shell nuclei. The pick-up mechanism of complex particles, as one of the important components of the statistical theory for light nuclear reactions (STLN), is improved to describe the DDCSs of outgoing charged particles, considering the effect of energy levels with energy, angular momentum, and parity conservations. A comprehensive analysis of all open reaction channels is performed for the n+19F reaction below 20 MeV. After ensuring the acquisition of the high-quality DDCS of the emitted neutrons, the DDCSs of outgoing charged particles (including
2025, 49(12): 124108. doi: 10.1088/1674-1137/adfc33
Abstract:
The radial oscillations of neutron stars are studied using equations of state derived from density-dependent relativistic mean-field (DDRMF) models, which effectively describe the ground-state properties of finite nuclei. A novel numerical approach, the finite volume method (FVM), is employed to solve the eigenvalue problem associated with oscillation frequencies. Compared with conventional methods such as the finite difference method and shooting method, the FVM avoids the numerical instability encountered at high frequencies with an equation of state that includes a discontinuous adiabatic index and offers greater computational efficiency. The oscillation frequencies of high-order modes exhibit a similar trend of change. The radial displacements and pressure perturbations are largely influenced by the equations of state of the crust region. The frequency of the first excited state exhibits a strong linear relationship with both the slope and skewness parameters of the symmetry energy. These findings suggest that the density dependence of the symmetry energy can be constrained through observations of neutron star radial oscillation frequencies.
The radial oscillations of neutron stars are studied using equations of state derived from density-dependent relativistic mean-field (DDRMF) models, which effectively describe the ground-state properties of finite nuclei. A novel numerical approach, the finite volume method (FVM), is employed to solve the eigenvalue problem associated with oscillation frequencies. Compared with conventional methods such as the finite difference method and shooting method, the FVM avoids the numerical instability encountered at high frequencies with an equation of state that includes a discontinuous adiabatic index and offers greater computational efficiency. The oscillation frequencies of high-order modes exhibit a similar trend of change. The radial displacements and pressure perturbations are largely influenced by the equations of state of the crust region. The frequency of the first excited state exhibits a strong linear relationship with both the slope and skewness parameters of the symmetry energy. These findings suggest that the density dependence of the symmetry energy can be constrained through observations of neutron star radial oscillation frequencies.
2025, 49(12): 124109. doi: 10.1088/1674-1137/adf1f6
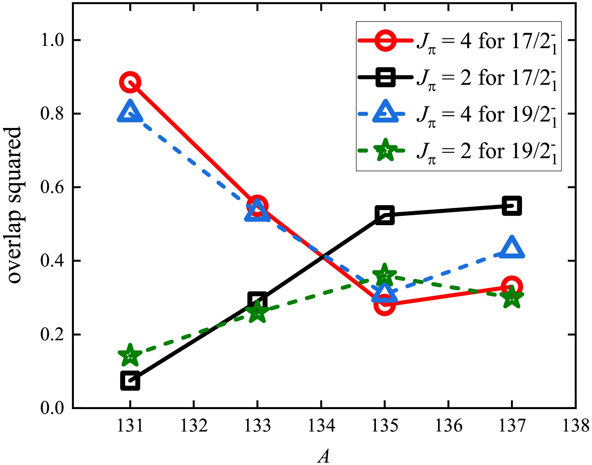
Abstract:
In this paper, we study low-lying states of odd-even\begin{document}$N = 79$\end{document} ![]()
![]()
isotones, including \begin{document}$^{129}{\rm{Sn}}$\end{document} ![]()
![]()
, \begin{document}$^{131}{\rm{Te}}$\end{document} ![]()
![]()
, \begin{document}$^{133}{\rm{Xe}}$\end{document} ![]()
![]()
, \begin{document}$^{135}{\rm{Ba}}$\end{document} ![]()
![]()
, and \begin{document}$^{137}{\rm{Ce}}$\end{document} ![]()
![]()
, within the nucleon-pair approximation (NPA) of the shell model. Low-lying energy levels of these nuclei with both positive and negative parities, as well as \begin{document}$B(E2)$\end{document} ![]()
![]()
transition rates and g factors of some low-lying states, are calculated. Most of them agree closely with experimental data. The wave functions of yrast \begin{document}$1/2^+_1$\end{document} ![]()
![]()
, \begin{document}$5/2^+_1$\end{document} ![]()
![]()
, \begin{document}$7/2^+_1$\end{document} ![]()
![]()
, \begin{document}$23/2^+_1$\end{document} ![]()
![]()
states and negative parity \begin{document}$11/2^-_1 \sim 23/2^-_1$\end{document} ![]()
![]()
and \begin{document}$27/2^-_2$\end{document} ![]()
![]()
states of these nuclei are discussed in detail. The NPA calculations show that many of these states have a simple structure in the nucleon-pair basis.
In this paper, we study low-lying states of odd-even
2025, 49(12): 124110. doi: 10.1088/1674-1137/adfc35
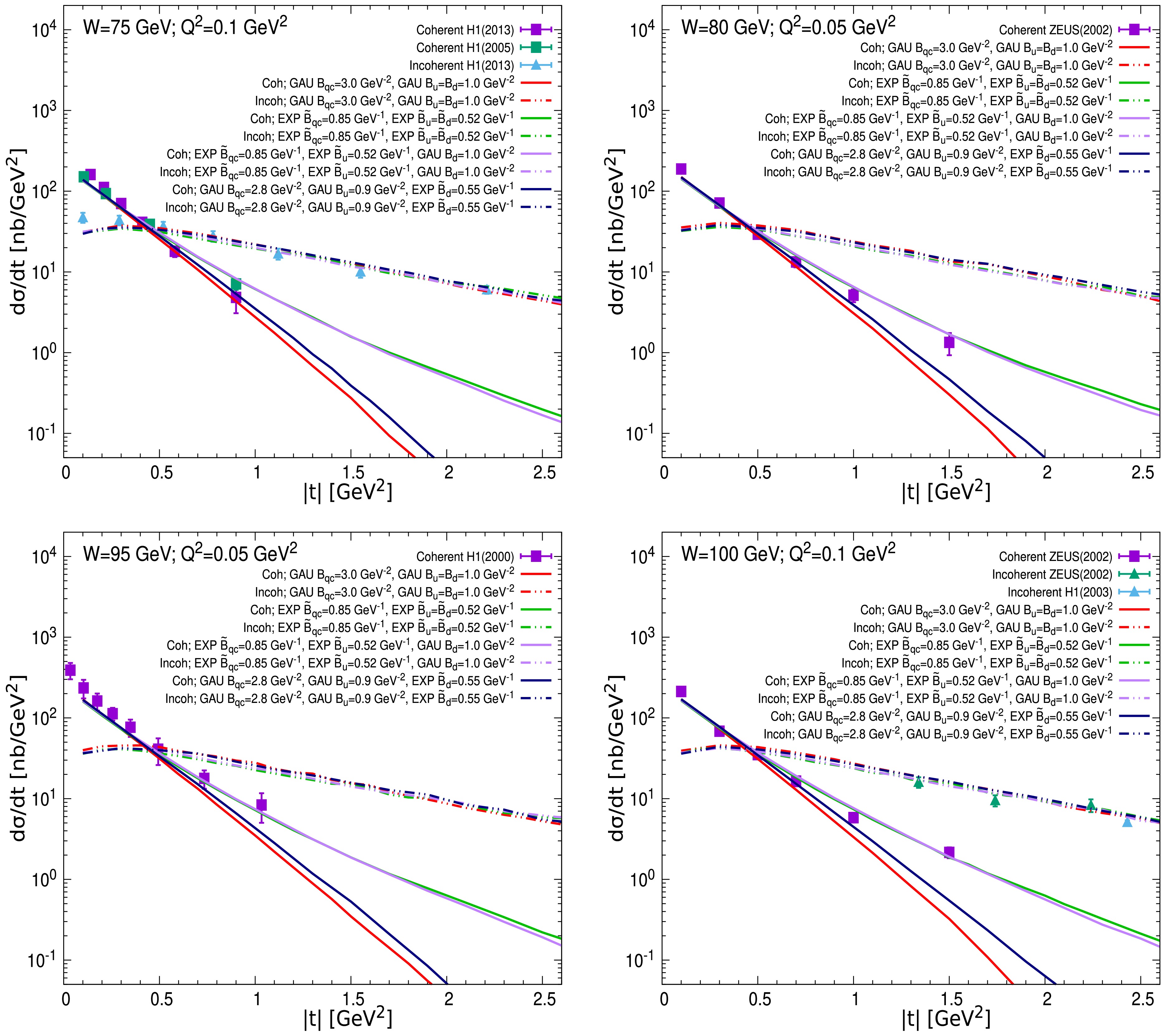
Abstract:
The differential cross-section of diffractive vector meson production in electron-proton deep inelastic scattering is considered one of the most promising observables to probe the spatial structure of the proton and QCD dynamics in the high-energy limit. In this work, we investigate the dependence of the differential cross-section of vector meson production on the position distribution of the constituent quarks within the hot spot model. We consider two types of distribution functions, Gaussian and exponential, and include them in the dipole-proton scattering amplitude, which is a key ingredient of the vector meson production cross-section. We calculate the cross-sections for the production of\begin{document}$J/\Psi$\end{document} ![]()
![]()
mesons as a function of the center of mass energy (W) and momentum transfer (\begin{document}$|t|$\end{document} ![]()
![]()
), respectively. At low \begin{document}$|t|$\end{document} ![]()
![]()
(\begin{document}$|t| <1.0~\mathrm{GeV}^2$\end{document} ![]()
![]()
), the coherent cross-sections calculated with both Gaussian and exponential position distributions of the constituent quarks provide similarly good descriptions of the \begin{document}$J/\Psi$\end{document} ![]()
![]()
production data at HERA. However, we find that at relatively large \begin{document}$|t|$\end{document} ![]()
![]()
(\begin{document}$|t|>1.0~\mathrm{GeV}^2$\end{document} ![]()
![]()
), the coherent cross-sections calculated with the Gaussian position distribution function cannot describe the HERA data, while the coherent cross-sections computed with the exponential position distribution function are in good agreement with the HERA data. This outcome indicates that the position of the constituent quarks in the proton may follow an exponential distribution, and the coherent process can serve as a probe to resolve the position distribution of the constituent quarks. Moreover, our calculations show that the description of the coherent cross-section of \begin{document}$J/\Psi$\end{document} ![]()
![]()
production remains robust when modeling the constituent quark positions with an exponential distribution, independent of the particular distribution function selected for the hot spot density profiles.
The differential cross-section of diffractive vector meson production in electron-proton deep inelastic scattering is considered one of the most promising observables to probe the spatial structure of the proton and QCD dynamics in the high-energy limit. In this work, we investigate the dependence of the differential cross-section of vector meson production on the position distribution of the constituent quarks within the hot spot model. We consider two types of distribution functions, Gaussian and exponential, and include them in the dipole-proton scattering amplitude, which is a key ingredient of the vector meson production cross-section. We calculate the cross-sections for the production of
2025, 49(12): 124111. doi: 10.1088/1674-1137/ae0430
Abstract:
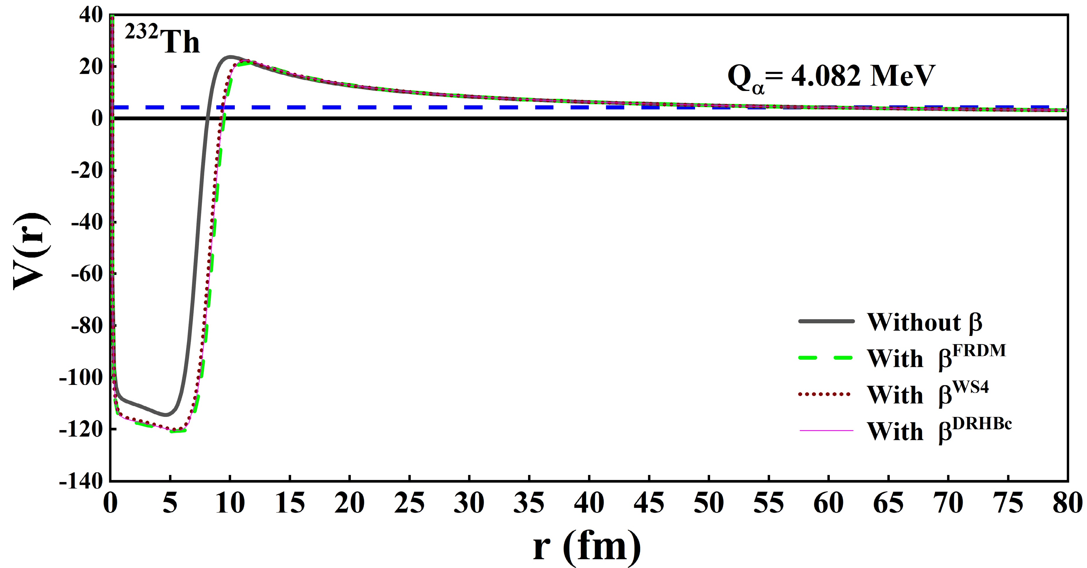
In this study, we systematically investigate the α-decay half-lives of 195 even-even nuclei using a deformed two-potential approach (TPA). The cosh potential with fixed diffuseness parameter is adopted as the nuclear potential, for which deformation parameters are taken from the FRDM, WS4, and DRHBc models. The root mean square deviation (RMSD) decreases from 0.515 to 0.385, 0.401, and 0.436, respectively, indicating that incorporating nuclear deformations enables the deformed TPA to accurately reproduce experimental α-decay half-lives. Furthermore, by fitting the diffuseness parameter across various mass regions, the RMSD is further reduced, from 0.385 to 0.330, 0.401 to 0.343, and 0.436 to 0.363. Additionally, the deformed TPA, combined with the fitted diffuseness parameter, is extended to predict the α-decay half-lives of even-even nuclei with Z = 118 and 120. The results suggest that N = 184 may be the next neutron magic number, following N = 126.
In this study, we systematically investigate the α-decay half-lives of 195 even-even nuclei using a deformed two-potential approach (TPA). The cosh potential with fixed diffuseness parameter is adopted as the nuclear potential, for which deformation parameters are taken from the FRDM, WS4, and DRHBc models. The root mean square deviation (RMSD) decreases from 0.515 to 0.385, 0.401, and 0.436, respectively, indicating that incorporating nuclear deformations enables the deformed TPA to accurately reproduce experimental α-decay half-lives. Furthermore, by fitting the diffuseness parameter across various mass regions, the RMSD is further reduced, from 0.385 to 0.330, 0.401 to 0.343, and 0.436 to 0.363. Additionally, the deformed TPA, combined with the fitted diffuseness parameter, is extended to predict the α-decay half-lives of even-even nuclei with Z = 118 and 120. The results suggest that N = 184 may be the next neutron magic number, following N = 126.
2025, 49(12): 125101. doi: 10.1088/1674-1137/adfa01
Abstract:
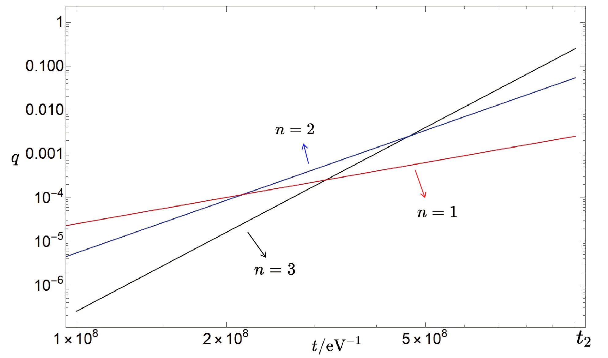
Lorentz symmetry is a cornerstone of modern physics, and testing its validity remains a critical endeavor. In this study, we analyze the photon time-of-flight and time-shift data from LHAASO observations of Gamma-Ray Burst GRB 221009A to search for signatures of Lorentz violation. We employ the DisCan (dispersion cancellation) method with various information entropies as cost functions, designating the results obtained with Shannon entropy as our representative outcome. This choice is attributed to the parameter-free statistical properties of Shannon entropy, which has demonstrated remarkable stability as we continually refine and enhance our methodology. In the absence of more detailed data and physical context, it provides more stable and reliable results. We constrain the energy scale associated with Lorentz invariance violation. Our results yield 95% confidence level lower limits of\begin{document}$ E_{\text{QG},1} > 5.4 \times 10^{19} \, \text{GeV} $\end{document} ![]()
![]()
(subluminal) and \begin{document}$ E_{\text{QG},1} > 2.7 \times 10^{19} \, \text{GeV} $\end{document} ![]()
![]()
(superluminal) for the linear case (n = 1), and \begin{document}$ E_{\text{QG},2} > 10.0 \times 10^{12} \, \text{GeV} $\end{document} ![]()
![]()
(subluminal) and \begin{document}$ E_{\text{QG},2} > 2.4 \times 10^{12} \, \text{GeV} $\end{document} ![]()
![]()
(superluminal) for the quadratic case (n = 2). Subsequently, we incorporate WCDA photons and the Knuth binning method to further optimize and complement our approach while also performing filtering using information entropies. Furthermore, we demonstrate that employing different information entropy measures as cost functions does not alter the order of magnitude of these constraints.
Lorentz symmetry is a cornerstone of modern physics, and testing its validity remains a critical endeavor. In this study, we analyze the photon time-of-flight and time-shift data from LHAASO observations of Gamma-Ray Burst GRB 221009A to search for signatures of Lorentz violation. We employ the DisCan (dispersion cancellation) method with various information entropies as cost functions, designating the results obtained with Shannon entropy as our representative outcome. This choice is attributed to the parameter-free statistical properties of Shannon entropy, which has demonstrated remarkable stability as we continually refine and enhance our methodology. In the absence of more detailed data and physical context, it provides more stable and reliable results. We constrain the energy scale associated with Lorentz invariance violation. Our results yield 95% confidence level lower limits of
2025, 49(12): 125102. doi: 10.1088/1674-1137/adf4a0
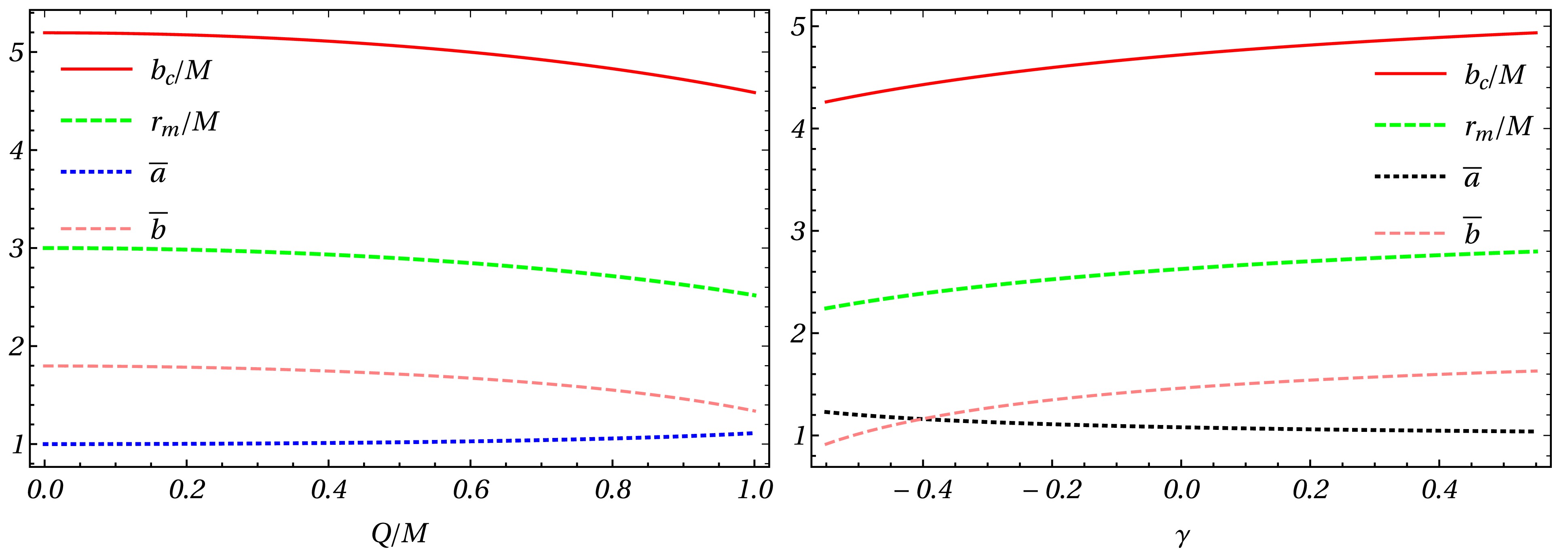
Abstract:
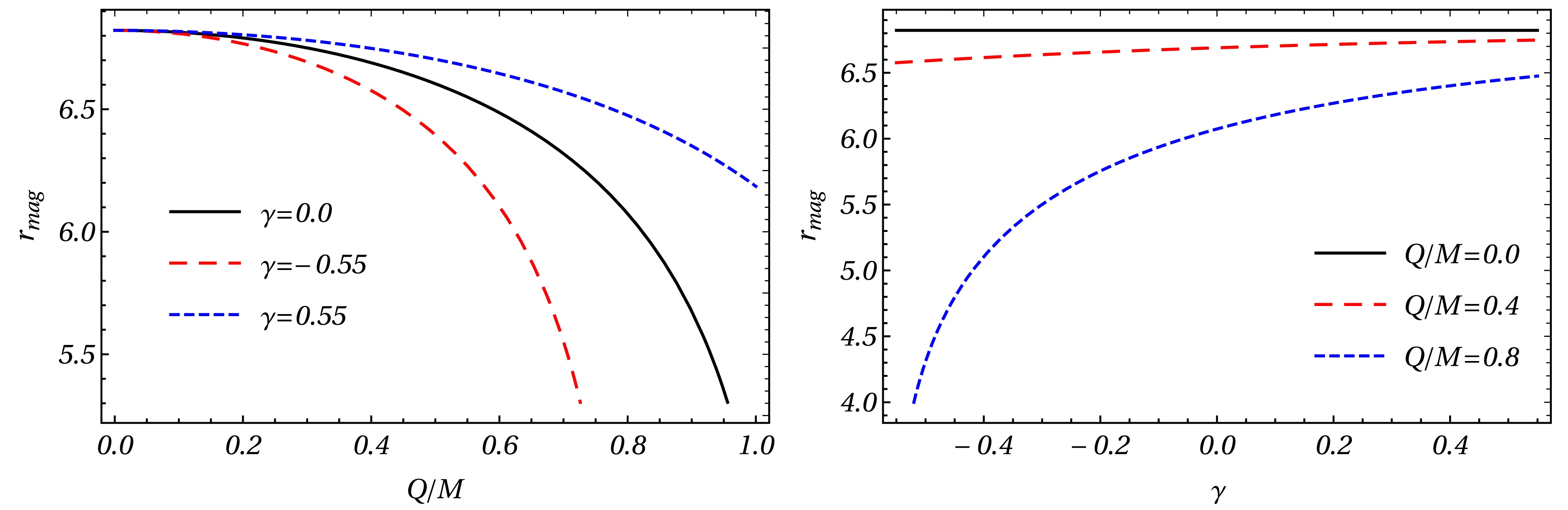
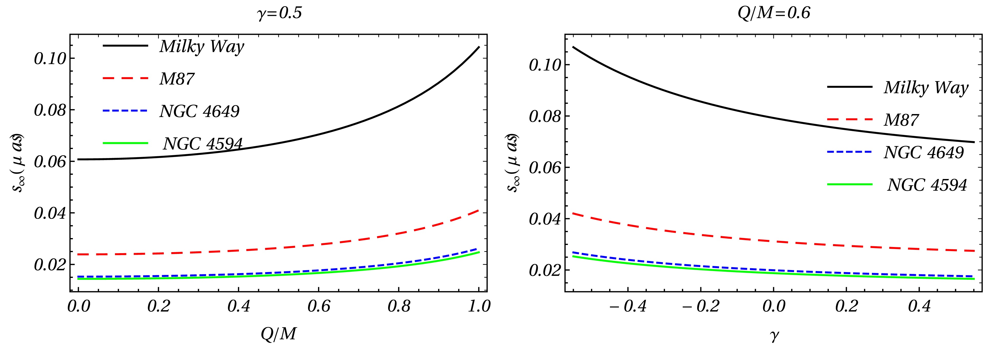
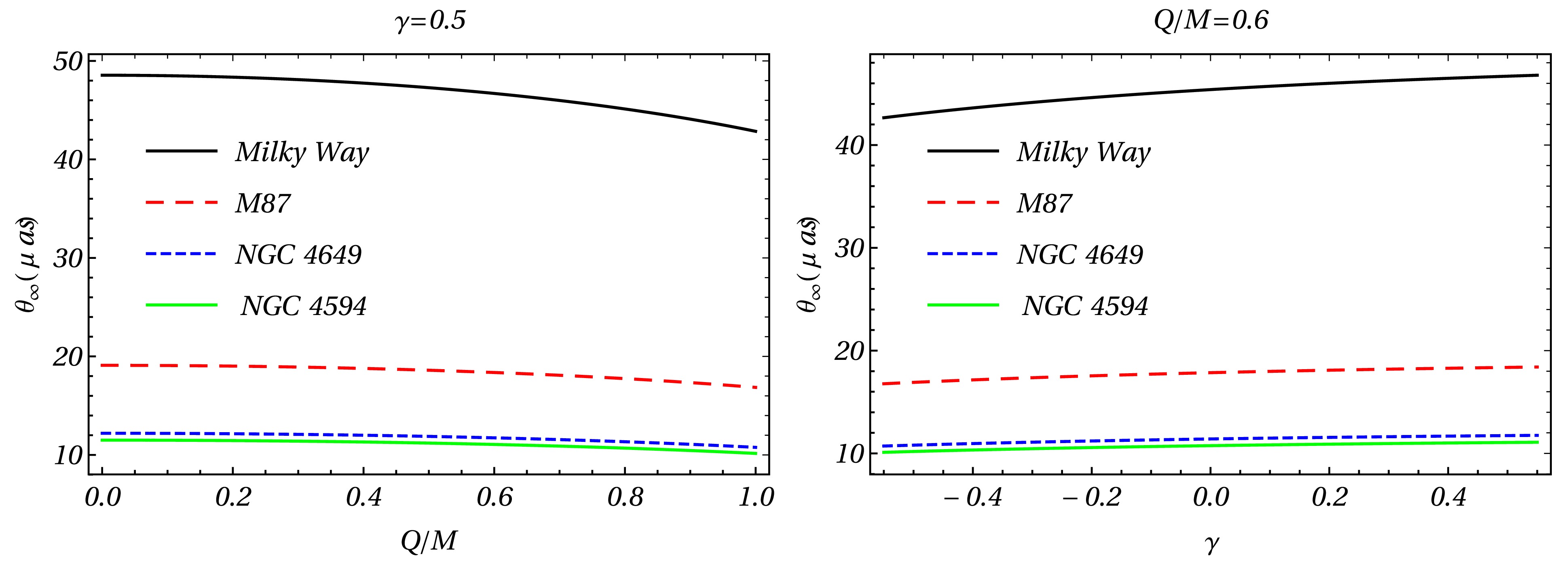
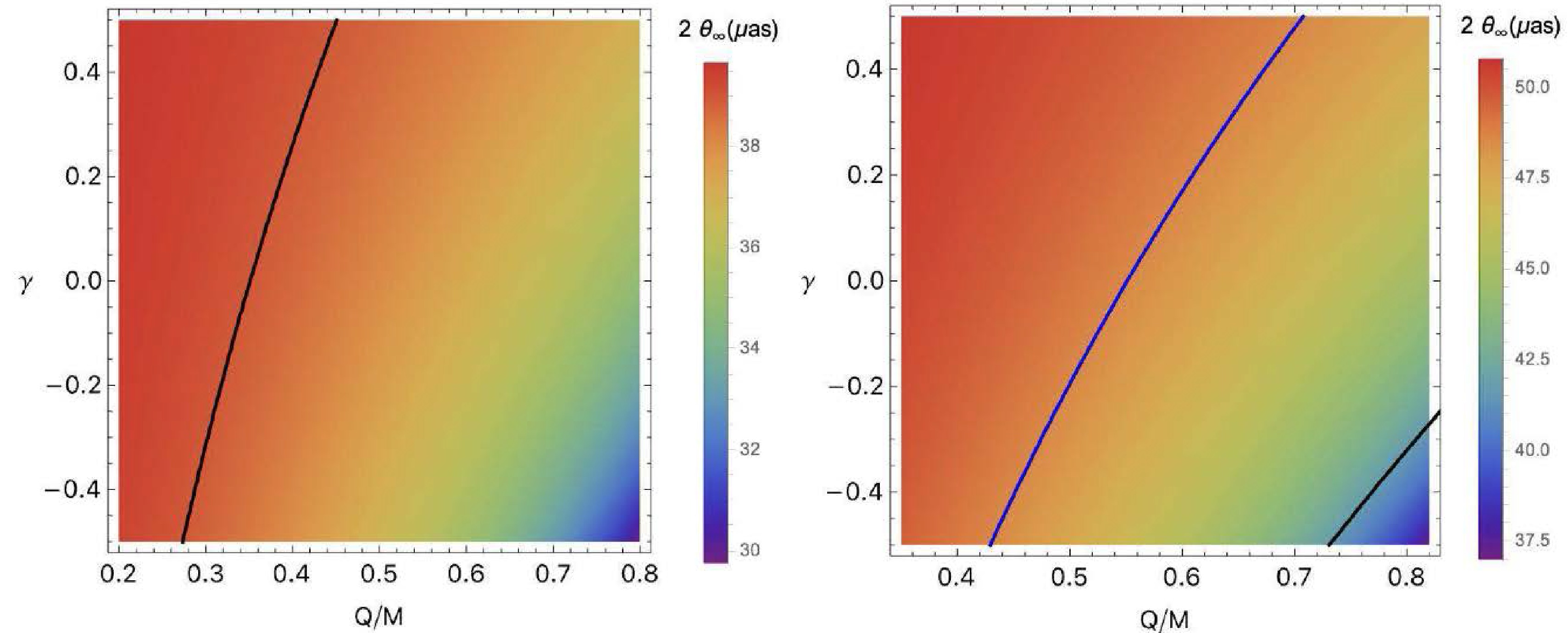
In this study, we investigate the properties of the Dyonic ModMax black hole solution using strong gravitational lensing. Additionally, we calculate the time delay between two relativistic images of a background object. First, we analyze expressions for the photon orbits in the spacetime of the Dyonic ModMax black hole. To obtain observational consequences, we provide expressions for the observable quantities, such as angular radius and magnifications. The numerous observations suggest that many nearby galaxies contain supermassive central black holes. In our model, such a supermassive black hole can be characterized by two additional parameters: γ and Q. Notably, the bending angle\begin{document}$ \alpha_D(b) $\end{document} ![]()
![]()
and the angular position \begin{document}$ \theta_\infty $\end{document} ![]()
![]()
decrease with increasing charge of the black hole Q, while the parameter γ displays opposite behavior to that of Q. By using observational data of supermassive black holes \begin{document}$ \mathrm{SgrA}^* $\end{document} ![]()
![]()
and \begin{document}$ \mathrm{M}87^* $\end{document} ![]()
![]()
, we obtain constraints for these parameters.
In this study, we investigate the properties of the Dyonic ModMax black hole solution using strong gravitational lensing. Additionally, we calculate the time delay between two relativistic images of a background object. First, we analyze expressions for the photon orbits in the spacetime of the Dyonic ModMax black hole. To obtain observational consequences, we provide expressions for the observable quantities, such as angular radius and magnifications. The numerous observations suggest that many nearby galaxies contain supermassive central black holes. In our model, such a supermassive black hole can be characterized by two additional parameters: γ and Q. Notably, the bending angle
2025, 49(12): 125103. doi: 10.1088/1674-1137/adf4a2
Abstract:
In this study, we investigate the shadow and observational image of the Kerr-like Loop Quantum Gravity (LQG) inspired black bounce with the help of the celestial light and thin disk sources by employing the backward ray-tracing method. The results indicate that both the LQG parameter α and rotation parameter a contribute to a reduction in the shadow size. However, the influence of a is predominant, whereas that of α is supplementary. For the accretion disk model, we extend its inner edge to the black hole's event horizon, and the motion of particles is different in the regions inside and outside the innermost stable circular orbit. We find that the correlation parameters (\begin{document}$a, \alpha$\end{document} ![]()
![]()
), along with the observer’s inclination angle, affect the image’s asymmetry and the distortion of the inner shadow. As the inclination increases, the direct and lensed images diverge, creating a structure resembling a hat. Moreover, we investigate the redshift distribution of the direct lensed images of the accretion disk under different parameters and observation angles. The results show that the redshift distribution and observed intensity are evidently related to the behavior of accretion flow. These results may provide a potential approach for limiting black hole parameters, detecting quantum gravity effects, and distinguishing the LQG black hole from other black hole models.
In this study, we investigate the shadow and observational image of the Kerr-like Loop Quantum Gravity (LQG) inspired black bounce with the help of the celestial light and thin disk sources by employing the backward ray-tracing method. The results indicate that both the LQG parameter α and rotation parameter a contribute to a reduction in the shadow size. However, the influence of a is predominant, whereas that of α is supplementary. For the accretion disk model, we extend its inner edge to the black hole's event horizon, and the motion of particles is different in the regions inside and outside the innermost stable circular orbit. We find that the correlation parameters (
2025, 49(12): 125104. doi: 10.1088/1674-1137/adf541
Abstract:
In this study, we establish the corrected first law of thermodynamics for dynamical regular black holes on both the event and apparent horizons. We found that the temperature of dynamical regular black holes derived from the traditional first law differs from that obtained through other approaches. This indicates that, similar to static cases, the first law of thermodynamics requires correction. We derived the corrected first law of thermodynamics from the Einstein field equations. Our analysis reveals that the corrected factor originates from the fact that the\begin{document}$T_v^v$\end{document} ![]()
![]()
component of the energy-momentum tensor depends on the black hole mass. This dependence implies that the mass of a regular black hole can no longer be directly identified as the internal energy, leading to corrections of the first law of thermodynamics.
In this study, we establish the corrected first law of thermodynamics for dynamical regular black holes on both the event and apparent horizons. We found that the temperature of dynamical regular black holes derived from the traditional first law differs from that obtained through other approaches. This indicates that, similar to static cases, the first law of thermodynamics requires correction. We derived the corrected first law of thermodynamics from the Einstein field equations. Our analysis reveals that the corrected factor originates from the fact that the
2025, 49(12): 125105. doi: 10.1088/1674-1137/adf542
Abstract:
High-precision regression of physical parameters from black hole images generated by General Relativistic Ray Tracing (GRRT) is essential for investigating spacetime curvature and advancing black hole astrophysics. However, owing to limitations in observational resolution, high observational costs, and imbalanced distributions of positive and negative samples, black hole images often suffer from data scarcity, sparse parameter spaces, and complex structural characteristics. These factors pose significant challenges to conventional regression methods based on simplified physical models. To overcome these challenges, this study introduces the Multiscale Adaptive Network (MANet), a novel regression framework grounded in deep learning. MANet integrates an Adaptive Channel Attention (ACA) module to selectively enhance features in physically informative regions. Meanwhile, a Multiscale Enhancement Feature Pyramid (MEFP) is employed to capture fine-grained spatial structures, such as photon rings and accretion disks, while alleviating information loss due to downsampling. Experimental evaluations on GRRT-simulated datasets demonstrate that MANet substantially improves parameter estimation accuracy and generalization capability in high-dimensional parameter spaces, outperforming existing baseline approaches. This framework presents a promising avenue for high-precision parameter regression in Event Horizon Telescope (EHT) data analysis and broader astrophysical imaging applications characterized by sparse and noisy data.
High-precision regression of physical parameters from black hole images generated by General Relativistic Ray Tracing (GRRT) is essential for investigating spacetime curvature and advancing black hole astrophysics. However, owing to limitations in observational resolution, high observational costs, and imbalanced distributions of positive and negative samples, black hole images often suffer from data scarcity, sparse parameter spaces, and complex structural characteristics. These factors pose significant challenges to conventional regression methods based on simplified physical models. To overcome these challenges, this study introduces the Multiscale Adaptive Network (MANet), a novel regression framework grounded in deep learning. MANet integrates an Adaptive Channel Attention (ACA) module to selectively enhance features in physically informative regions. Meanwhile, a Multiscale Enhancement Feature Pyramid (MEFP) is employed to capture fine-grained spatial structures, such as photon rings and accretion disks, while alleviating information loss due to downsampling. Experimental evaluations on GRRT-simulated datasets demonstrate that MANet substantially improves parameter estimation accuracy and generalization capability in high-dimensional parameter spaces, outperforming existing baseline approaches. This framework presents a promising avenue for high-precision parameter regression in Event Horizon Telescope (EHT) data analysis and broader astrophysical imaging applications characterized by sparse and noisy data.
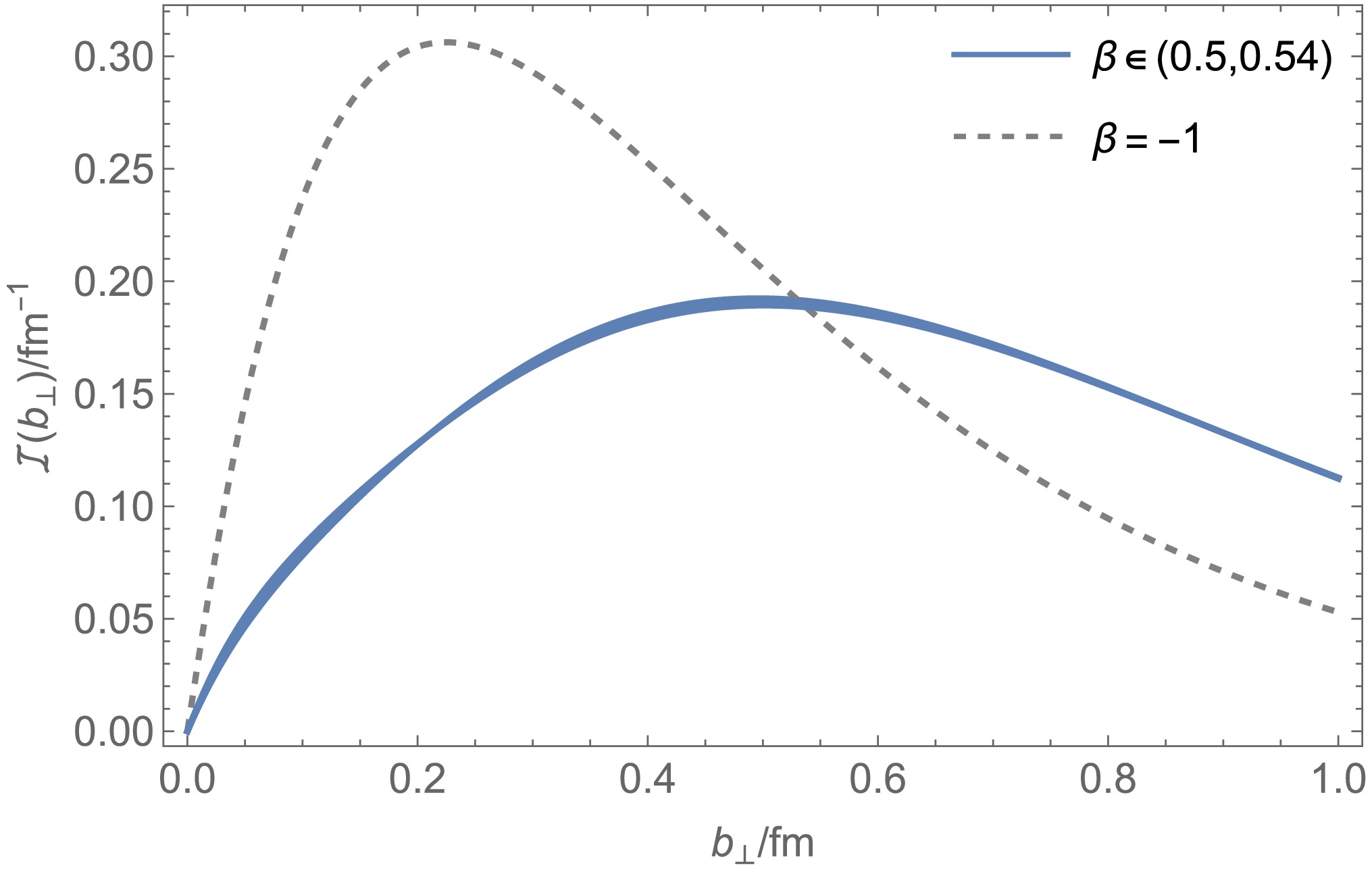
Existence of quark stars in gravity's rainbow: the significance of strongly interacting quark matter
2025, 49(12): 125106. doi: 10.1088/1674-1137/ae0726
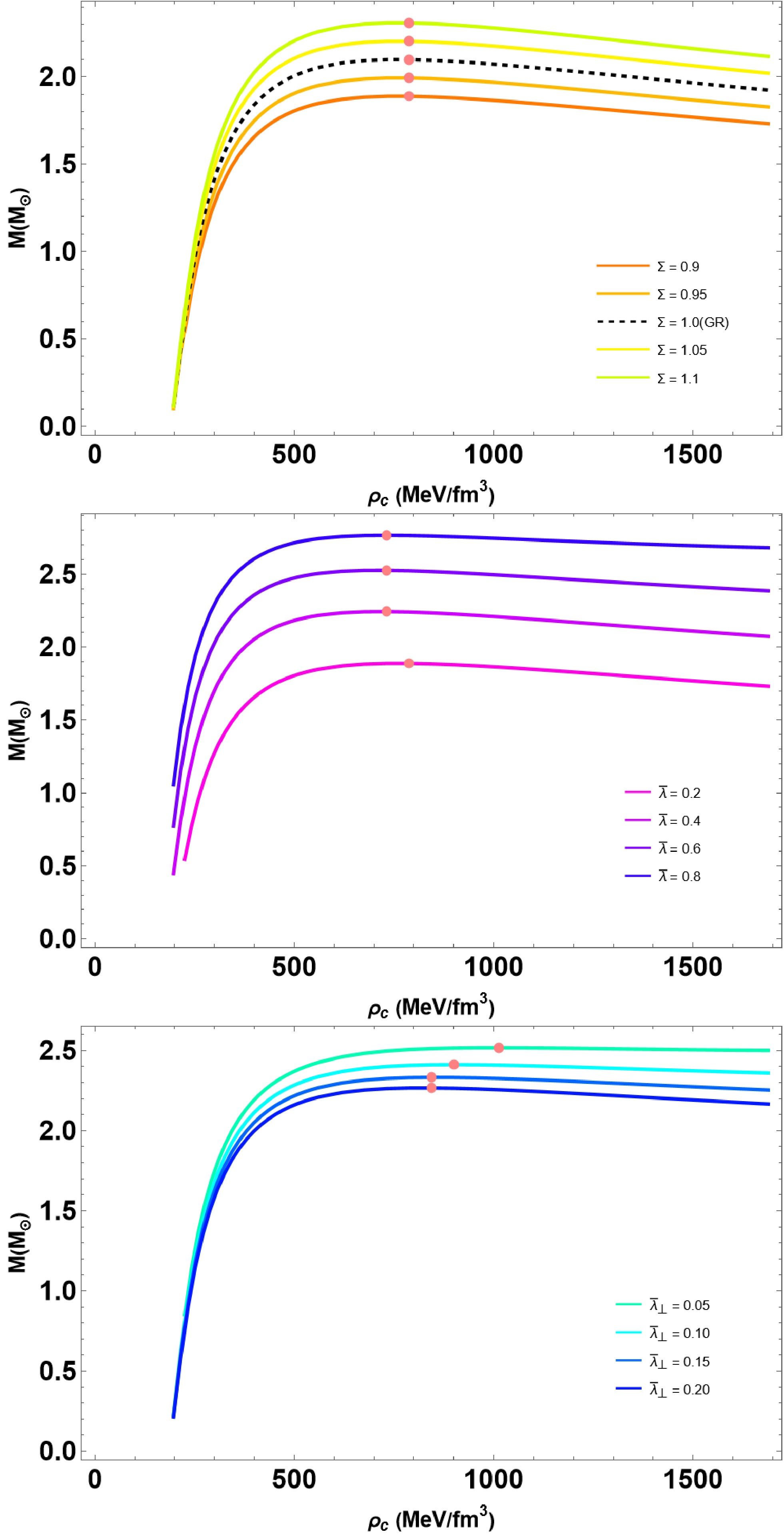
Abstract:
This study explores the internal composition and equation of state (EoS) of quark stars (QSs) characterized by pressure anisotropy, considering recent astrophysical findings within the framework of gravity's rainbow. By employing perturbative quantum chromodynamics corrections and the concept of color superconductivity, the EoS is formulated as a dimensionless function reliant on a single parameter, thereby offering an in-depth analysis of the effects of strong interactions. The study is further extended by rescaling the EoS and applying dimensionless variables, thus covering the range from non-interacting quark matter to extreme stiffness characterized by a parameter\begin{document}$\bar{\lambda}$\end{document} ![]()
![]()
. We also show that including the fluid anisotropy permits a stiffer EoS, facilitating the modeling of configurations that adequately meet observational constraints. We then use the supposed EoSs to numerically solve the modified Tolman-Oppenheimer-Volkoff equations and examine the effects of anisotropy and rainbow parameters on star mass, radius, and compactness. The study also explores the static stability, adiabatic index, and sound velocity profiles, thoroughly explaining QS behavior. Overall, this study offers valuable insights into the characteristics of QSs and their consistency with observational data, providing a comprehensive analysis of their EoS and internal structure.
This study explores the internal composition and equation of state (EoS) of quark stars (QSs) characterized by pressure anisotropy, considering recent astrophysical findings within the framework of gravity's rainbow. By employing perturbative quantum chromodynamics corrections and the concept of color superconductivity, the EoS is formulated as a dimensionless function reliant on a single parameter, thereby offering an in-depth analysis of the effects of strong interactions. The study is further extended by rescaling the EoS and applying dimensionless variables, thus covering the range from non-interacting quark matter to extreme stiffness characterized by a parameter
2025, 49(12): 125107. doi: 10.1088/1674-1137/adfa83
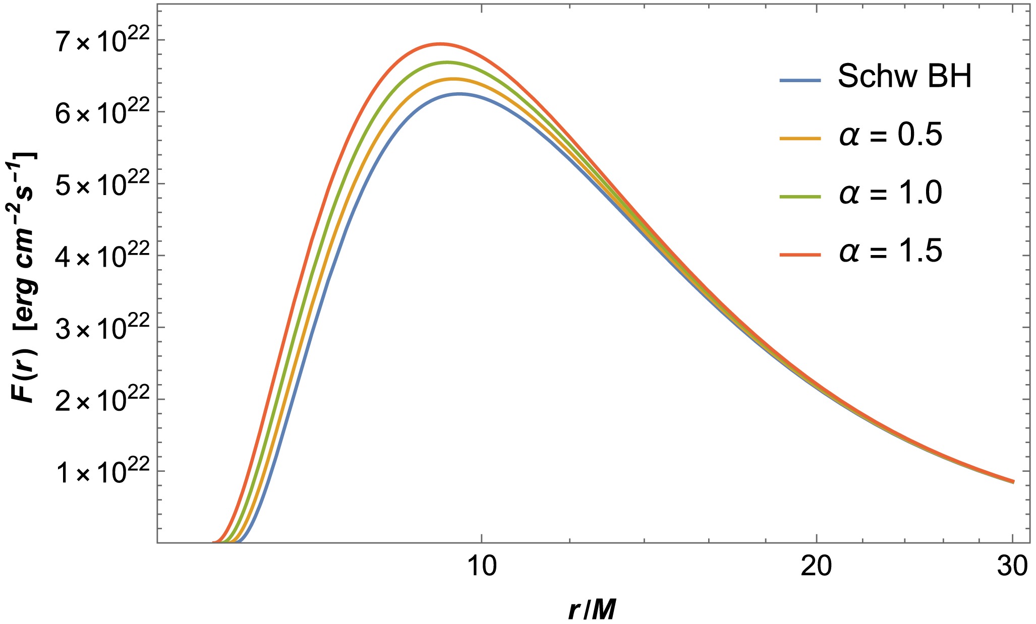
Abstract:
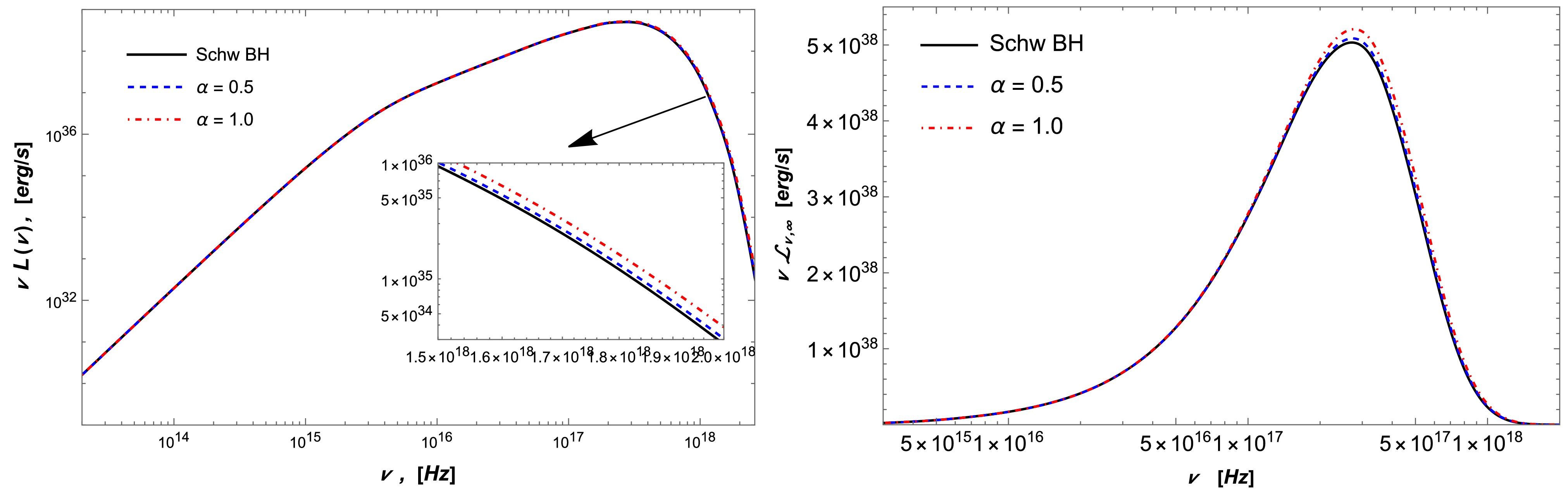
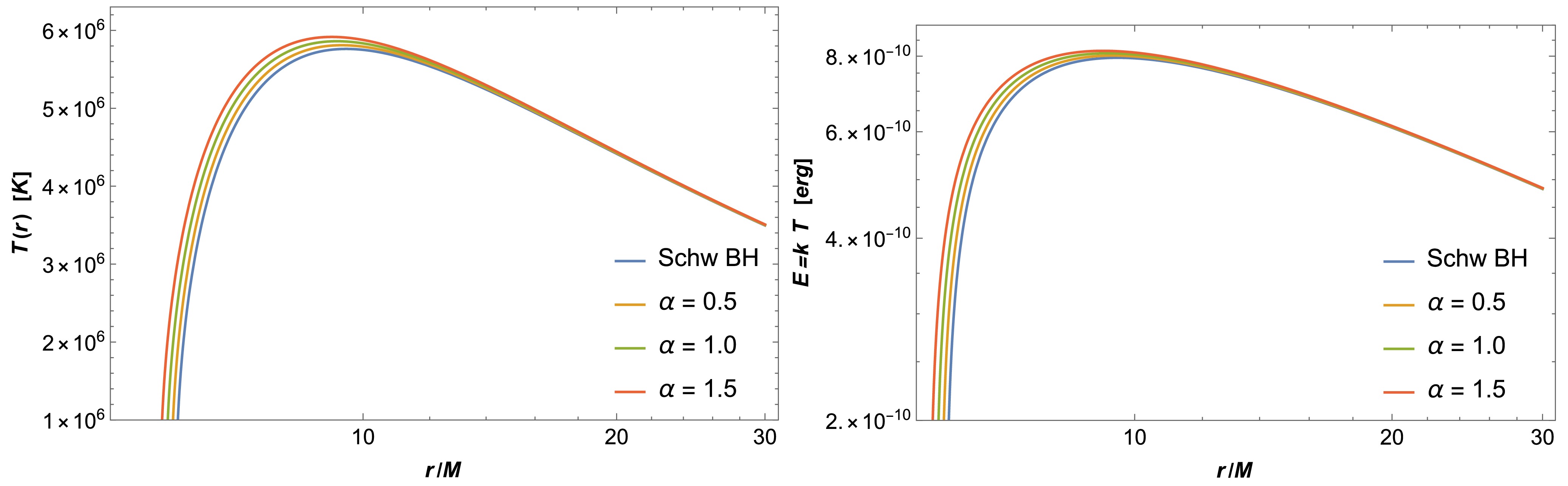
In this work, we study the radiation properties of the quantum-corrected black hole (BH). For simplicity, we consider test particles around the quantum-corrected BH. With this aim, we define the important quantities of test particles around the quantum-corrected BH: the effective potential, energy, angular momentum, and innermost stable circular orbit (ISCO). In addition, we explore the radiation properties of the accretion disk around the quantum-corrected BH considering the Novikov-Thorne model. We find that the values of the flux of the electromagnetic radiation and the temperature of the disk increase slightly with the increase of the quantum correction parameter α. To obtain more information, we plot the temperature profile using a color map. Finally, we consider the spectral luminosity of the accretion disk under the influence of the quantum correction parameter α.
In this work, we study the radiation properties of the quantum-corrected black hole (BH). For simplicity, we consider test particles around the quantum-corrected BH. With this aim, we define the important quantities of test particles around the quantum-corrected BH: the effective potential, energy, angular momentum, and innermost stable circular orbit (ISCO). In addition, we explore the radiation properties of the accretion disk around the quantum-corrected BH considering the Novikov-Thorne model. We find that the values of the flux of the electromagnetic radiation and the temperature of the disk increase slightly with the increase of the quantum correction parameter α. To obtain more information, we plot the temperature profile using a color map. Finally, we consider the spectral luminosity of the accretion disk under the influence of the quantum correction parameter α.
2025, 49(12): 125108. doi: 10.1088/1674-1137/adfa82
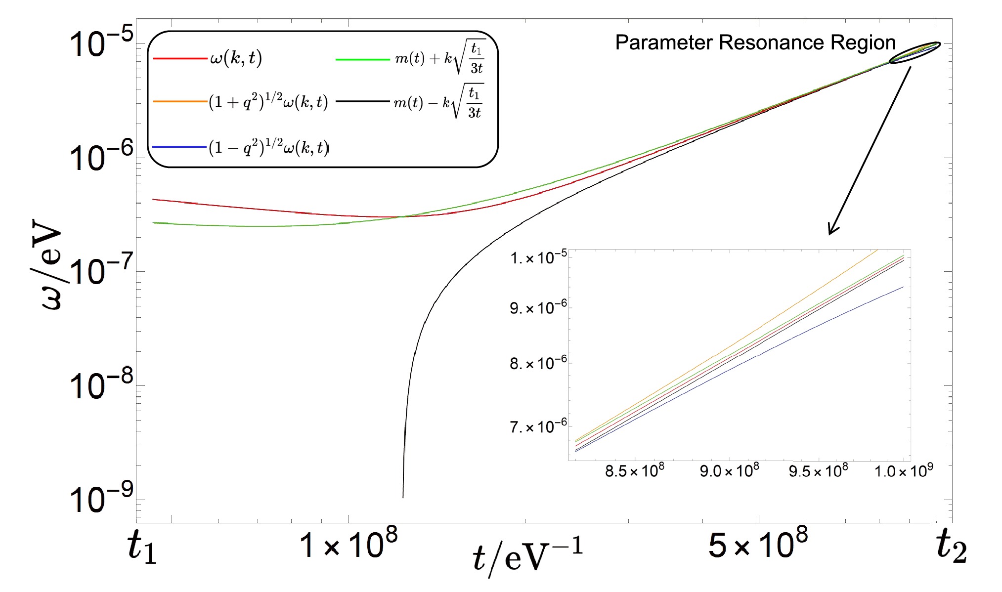
Abstract:
Axions and axion-like particles can be generated in the early universe through mechanisms such as misalignment production, thermal processes, and the decay of topological defects. In this study, we show that scalar perturbations in the early universe can produce a significant amount of these particles primarily through mass parametric resonance effects. Scalar perturbations induce temperature fluctuations during the particle mass transition era, e.g., during the QCD phase transition. These temperature fluctuations modulate the particle mass, transferring energy into the field through parametric mass resonance, a nonlinear process. This mechanism exhibits substantially unstable regions that could lead to explosive particle production. Notably, it does not generate additional isocurvature perturbations.
Axions and axion-like particles can be generated in the early universe through mechanisms such as misalignment production, thermal processes, and the decay of topological defects. In this study, we show that scalar perturbations in the early universe can produce a significant amount of these particles primarily through mass parametric resonance effects. Scalar perturbations induce temperature fluctuations during the particle mass transition era, e.g., during the QCD phase transition. These temperature fluctuations modulate the particle mass, transferring energy into the field through parametric mass resonance, a nonlinear process. This mechanism exhibits substantially unstable regions that could lead to explosive particle production. Notably, it does not generate additional isocurvature perturbations.
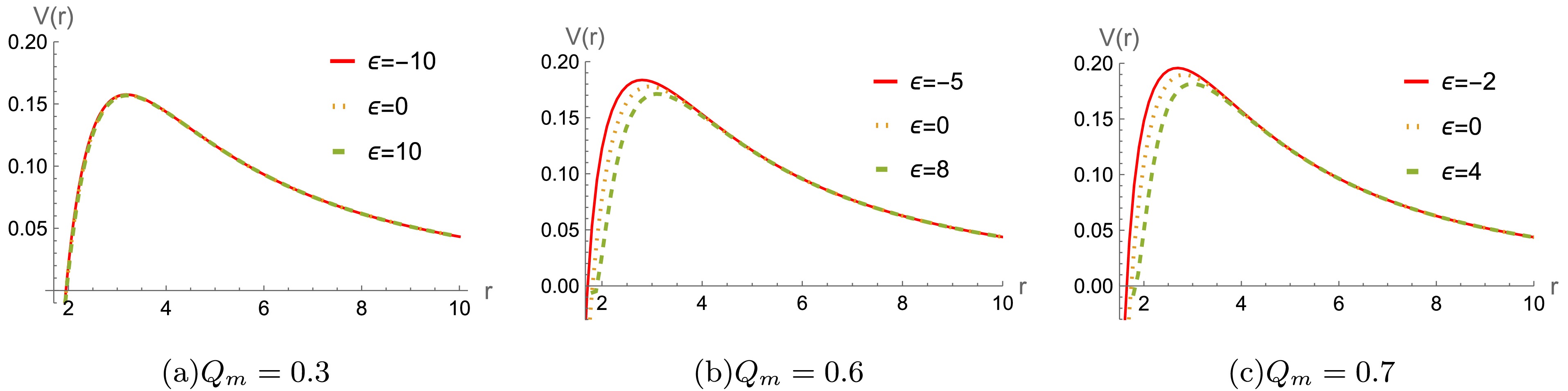
2025, 49(12): 125109. doi: 10.1088/1674-1137/adff01
Abstract:
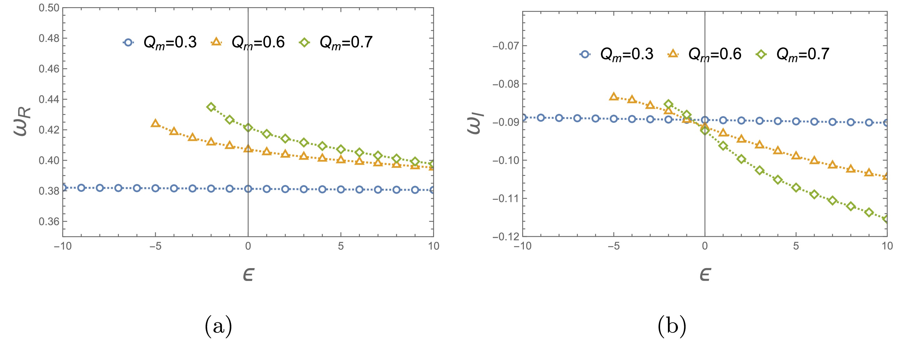
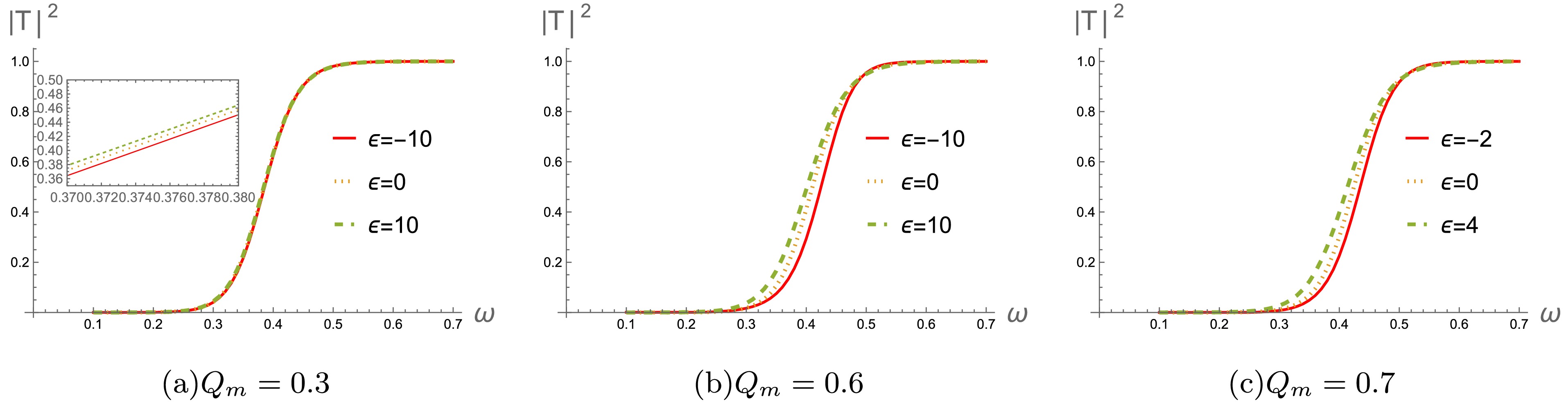
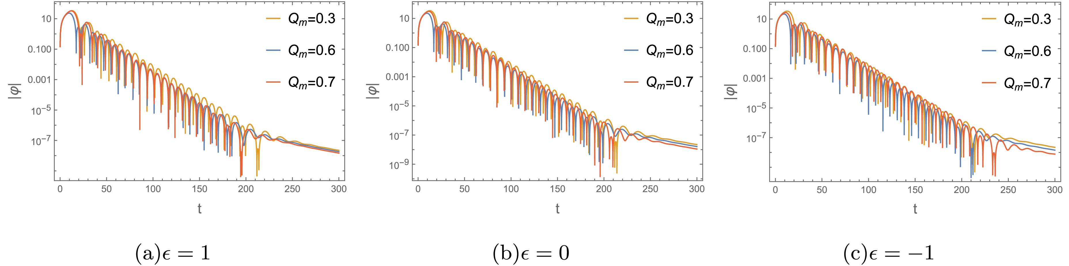
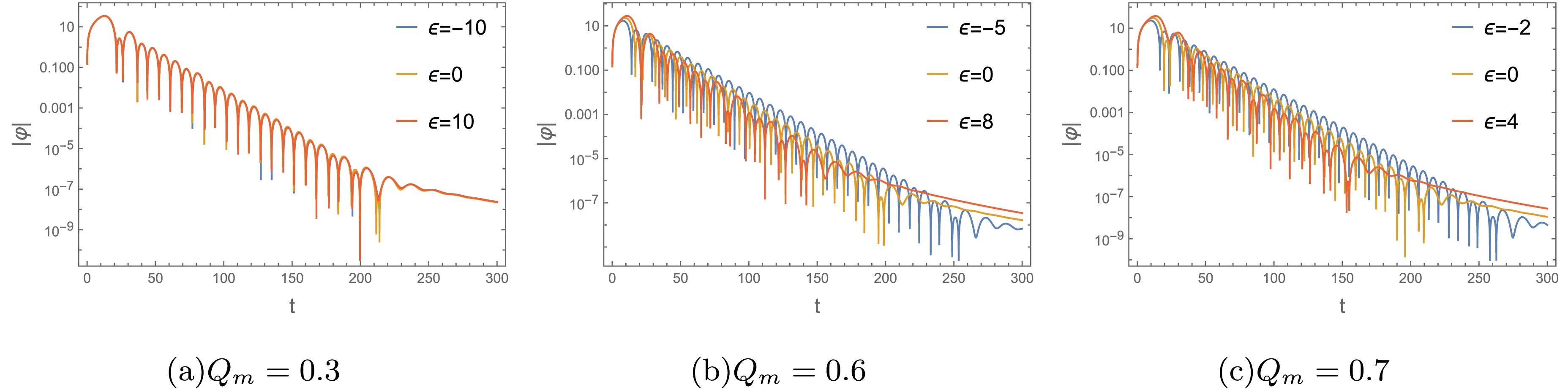
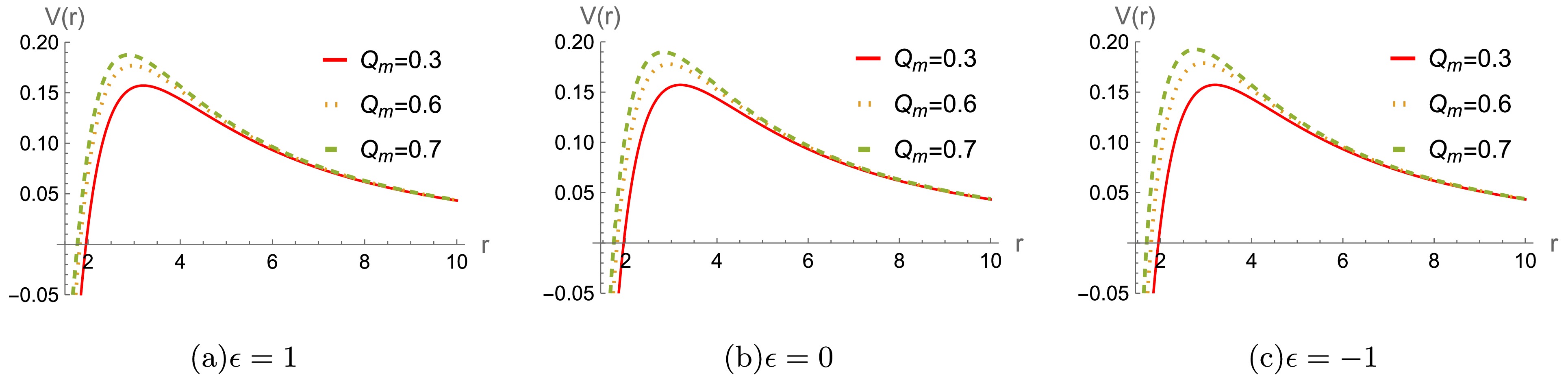
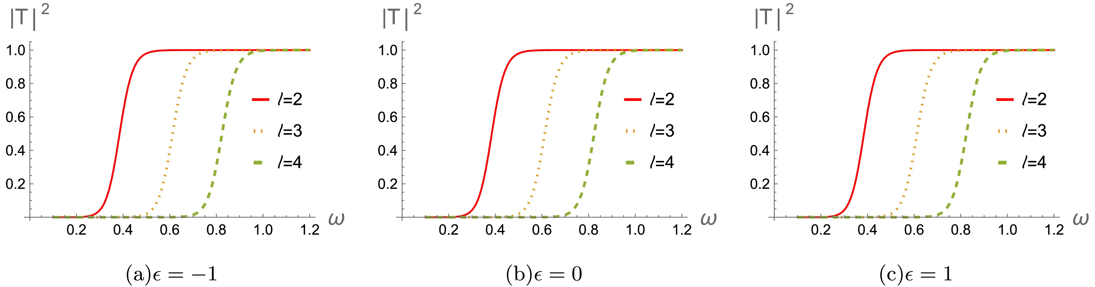
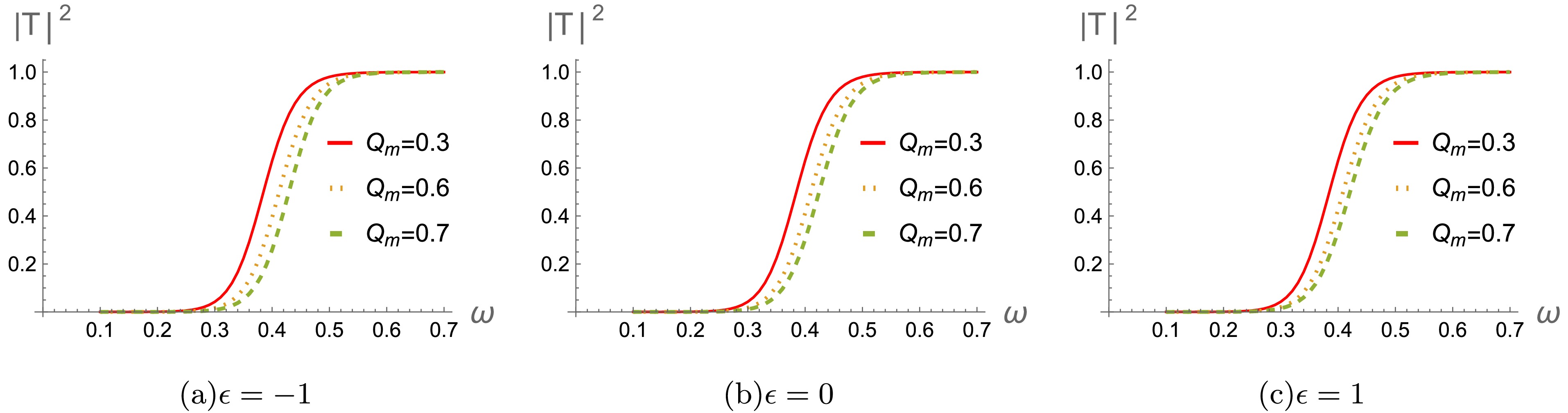
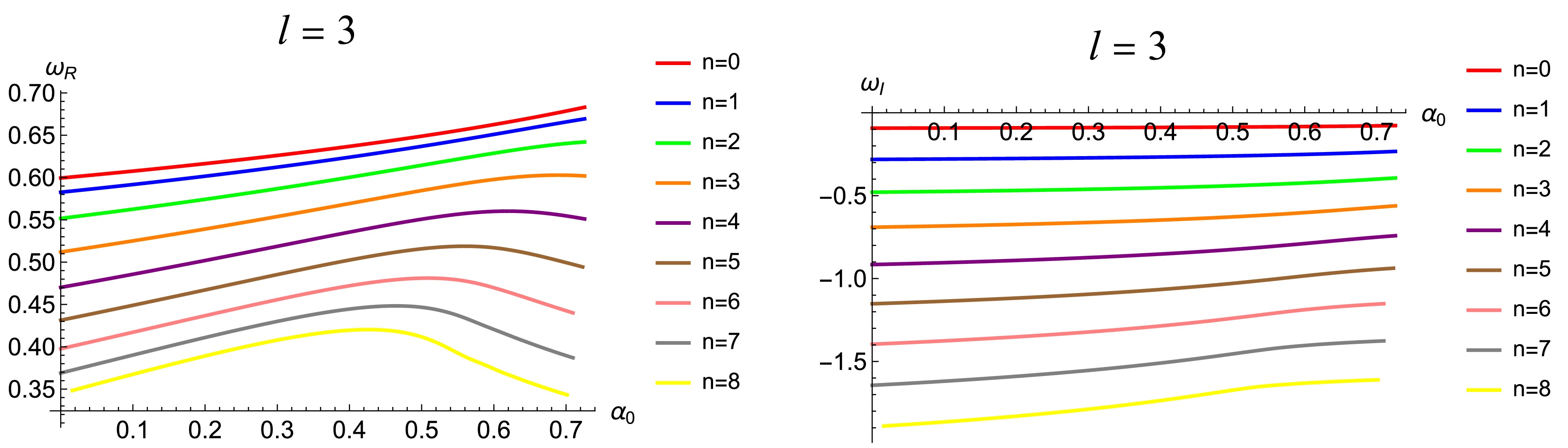
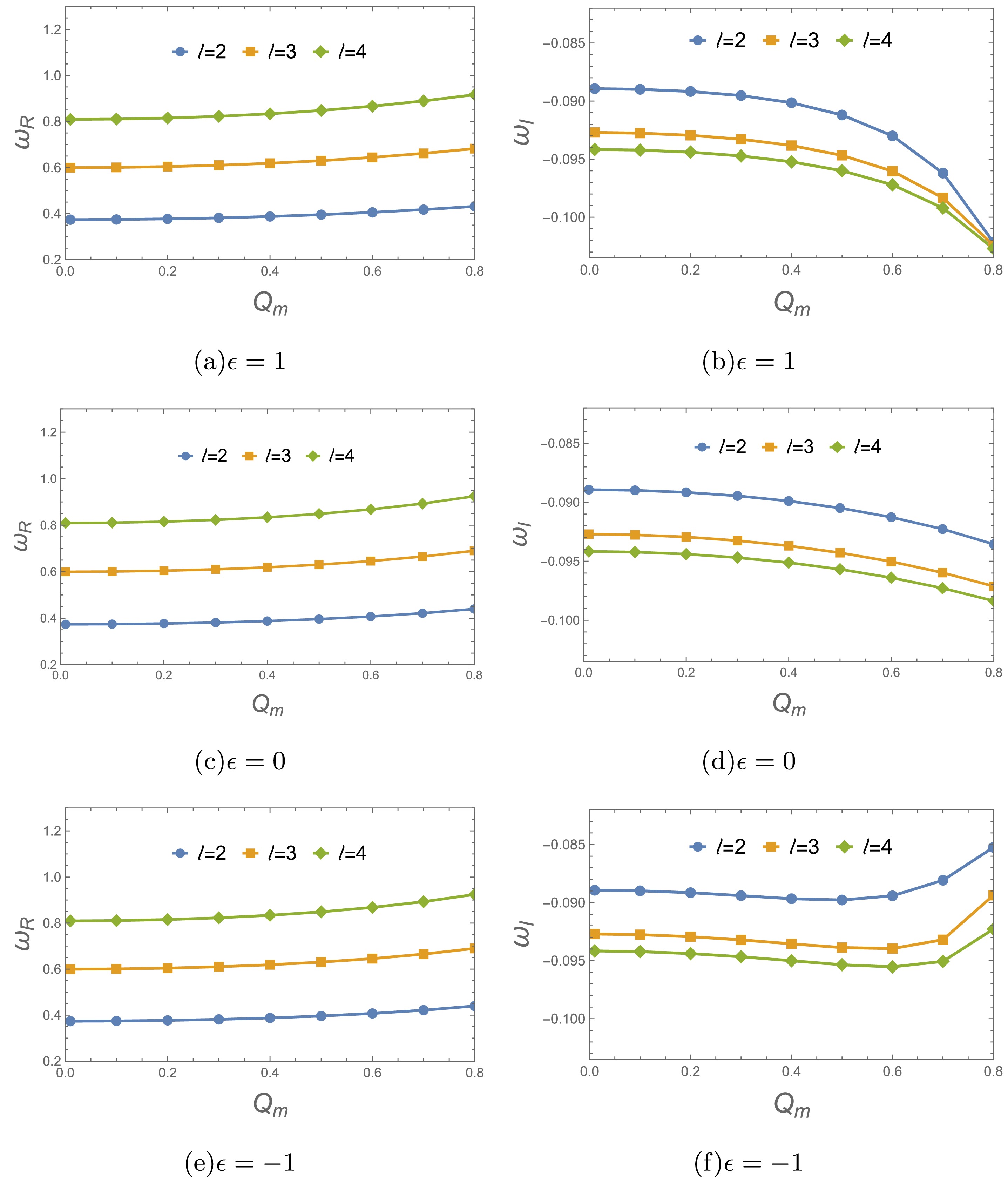
In this study, we consider axial perturbations on the magnetically charged string-inspired Euler-Heisenberg black hole. As axial metric perturbation decouples from axial electromagnetic perturbation, we mainly focus on axial gravitational perturbation. By using the Wentzel–Kramers–Brillouin (WKB) approximation and asymptotic iteration method (AIM), we perform a detailed analysis of the gravitational quasinormal frequencies by varying the characteristic parameters of gravitational perturbation and black holes. The results obtained through the AIM are consistent with those obtained using the WKB method, including the results extracted from the time-domain profiles. The greybody factor is calculated using the WKB method. The effects of\begin{document}$ Q_m $\end{document} ![]()
![]()
, ϵ, and multipole number l on the greybody factor are also studied.
In this study, we consider axial perturbations on the magnetically charged string-inspired Euler-Heisenberg black hole. As axial metric perturbation decouples from axial electromagnetic perturbation, we mainly focus on axial gravitational perturbation. By using the Wentzel–Kramers–Brillouin (WKB) approximation and asymptotic iteration method (AIM), we perform a detailed analysis of the gravitational quasinormal frequencies by varying the characteristic parameters of gravitational perturbation and black holes. The results obtained through the AIM are consistent with those obtained using the WKB method, including the results extracted from the time-domain profiles. The greybody factor is calculated using the WKB method. The effects of
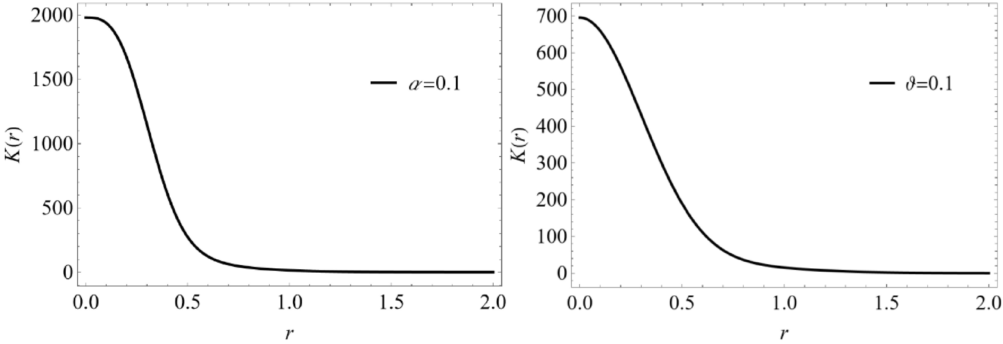
2025, 49(12): 125110. doi: 10.1088/1674-1137/adfa74
Abstract:
We investigate the quasi-normal modes (QNMs) under gravitational field perturbations and grey-body factors for a class of regular black holes with sub-Planckian curvature and Minkowski core. We compute the QNMs with the pseudospectral and WKB methods. The trajectory of the QNMs displays non-monotonic and spiral behavior with changes in the deviation parameter of the regular black hole. Subsequently, we compute the grey-body factors with the WKB method and compare them with the results obtained by the correspondence relation recently revealed in [R. A. Konoplya and A. Zhidenko, JCAP 09, 068 (2024)]. We find that the discrepancy exhibits minor errors, indicating that this relation is effective for computing the grey-body factors of such regular black holes.
We investigate the quasi-normal modes (QNMs) under gravitational field perturbations and grey-body factors for a class of regular black holes with sub-Planckian curvature and Minkowski core. We compute the QNMs with the pseudospectral and WKB methods. The trajectory of the QNMs displays non-monotonic and spiral behavior with changes in the deviation parameter of the regular black hole. Subsequently, we compute the grey-body factors with the WKB method and compare them with the results obtained by the correspondence relation recently revealed in [R. A. Konoplya and A. Zhidenko, JCAP 09, 068 (2024)]. We find that the discrepancy exhibits minor errors, indicating that this relation is effective for computing the grey-body factors of such regular black holes.
ISSN 1674-1137 CN 11-5641/O4
Original research articles, Ietters and reviews Covering theory and experiments in the fieids of
- Particle physics
- Nuclear physics
- Particle and nuclear astrophysics
- Cosmology
Author benefits
- A SCOAP3 participating journal - free Open Access publication for qualifying articles
- Average 24 days to first decision
- Fast-track publication for selected articles
- Subscriptions at over 3000 institutions worldwide
- Free English editing on all accepted articles
News
- CPC Announces 2025 Outstanding Reviewers
- Chinese Physics C Outstanding Reviewer Award 2023
- Impact factor of Chinese Physics C is 3.6 in 2022
- 2022 CPC Outstanding Reviewer Awards
- The 2023 Chinese New Year-Office closure
Cover Story
- Cover Story (Issue 1, 2026) A focused review of quintom cosmology: from quintom dark energy to quintom bounce
- Cover Story (Issue 11, 2025) The Earth-Magnet Assists DAMPE in Studying Cosmic Anti-Electrons
- Cover Story (Issue 9, 2025): Precise measurement of Ïc0 resonance parameters and branching fractions of Ïc0,c2âÏï¼Ïï¼/ K+K-
- Cover Story (Issue 8, 2025) A Novel Perspective on Spacetime Perturbations: Bridging Riemannian and Teleparallel Frameworks
- Cover Story (Issue 7, 2025) Evidence of the negative parity linear chain states in 16C










